Next Article in Journal
An Intrinsic Characterization of Shannon’s and Rényi’s Entropy
Next Article in Special Issue
Joint User Association, Power Allocation and Beamforming for NOMA-Based Integrated Satellite–Terrestrial Networks
Previous Article in Journal
Cascades Towards Noise-Induced Transitions on Networks Revealed Using Information Flows
Previous Article in Special Issue
On the Capacity of the Peak-Limited and Band-Limited Channel
 
 
Font Type:
Arial Georgia Verdana
Font Size:
Aa Aa Aa
Line Spacing:
Column Width:
Background:
Article

Performance Analysis of Troposphere Scattering Communication Channel with Chirp-BOK Modulation

1
Xi’an Key Laboratory of Wireless Optical Communication and Network Research, School of Automation and Information Engineering, Xi’an University of Technology, Xi’an 710048, China
2
China Academy of Space Technology (Xi’an), Xi’an 710100, China
*
Author to whom correspondence should be addressed.
Entropy 2024, 26(12), 1052; https://doi.org/10.3390/e26121052
Submission received: 5 September 2024 / Revised: 29 November 2024 / Accepted: 2 December 2024 / Published: 4 December 2024

Abstract

By utilizing chirp-BOK (binary orthogonal keying) modulation into a troposphere scattering communication system, a lower demodulation threshold can be achieved with excellent linear frequency modulation properties in a strong noise and weak signal environment. Firstly, the bit error rate (BER) formula of chirp-BOK modulation over a Rayleigh fading channel was derived theoretically. Then, the BER performance with different chirp-BOK parameters were numerically calculated. In order to investigate the performance of chirp-BOK over deeping fading troposphere scattering link, a seven-path equal-delay Rayleigh fading model was employed. Finally, the system BER performance was simulated under different tap delay and time–bandwidth product parameters. The results demonstrate that when BER reaches 10 4 , the optimal configuration of the system achieves a gains approximately from 1.7 dB to 10 dB compared to non-optimized configuration under different Path-Gain-Vector with varying tap delays.

1. Introduction

Troposphere scattering communication is a form of wireless link that utilizes atmospheric inhomogeneity to scatter or reflect ultra-short and short waves, which makes over-the-horizon (OTH) communication possible [1]. This method has become an essential component of the military communication technique due to its characters, such as long transmission range, low susceptibility to channel medium damage and good anti-jamming capabilities. However, a major drawback is the large signal attenuation and deep fading during the troposcatter channel, resulting in adverse multipath interference on the system performance.
Chirp spread spectrum (CSS) technology is an optional scheme in the IEEE802.15.4a physical layer standard [2]. It is a non-single-frequency wave modulation technique that uses chirp signals with different frequencies to carry information. These signals have good cross-correlation characteristics and are less sensitive to environmental noise. Additionally, chirp signals can have an effect of energy compression after matched filtering, which leads to a good performance against multipath fading and Doppler shift even at very low transmit power levels.
Winklery firstly applied CSS technology to the field of wireless communications by using chirp up-sweep and down-sweep signals to transmit binary data [3], i.e., binary orthogonal keying (BOK) modulation. Lee et al. applied the chirp-BOK scheme to transmit information in the ultrasonic-frequency band and achieved reliable long-distance transmission in severely frequency-selective fading channels [4]. Currently, CSS communication has been widely studied within two categories: modulating baseband information into the parameters of the chirp signal itself [3,5,6,7], or directly utilizing the chirp signal as a carrier for digital modulation [8,9]. Refs. [10,11] introduced the modulation and demodulation process of chirp signal, but they lacked the description of rigorous mathematical signal processing. Ref. [7] presented the mathematical formulas for modulation and demodulation process of frequency shift chirp modulation (FSCM), providing a theoretical derivation of optimal receiver with low complexity based on FFT. Ref. [12] analyzed the technical characteristics and performance of FSCM demodulation under the residual frequency offset. Ref. [13] proposed a fractional chirp rate grounded on CSS (FCR-CSS) as a physical layer-inspired approach to enhance the capacity of CSS modulation based on IoT networks. Ref. [14] developed a novel OFDM-chirp modulation scheme with a low peak-to-average power ratio (PAPR). An analysis method was introduced to evaluate the corresponding symbol error rate (SER) under carrier frequency offset (CFO) in a Rayleigh fading channel. Ref. [15] designed a non-coherent distributed transmission (NCDT) CSS system for low-power communication. Ref. [16] proposed a two-dimensional modulation method chirp-MFCSK for the LoRa system. Ref. [17] raised phase shift keying based on a CSS (PSK-CSS) multiple-access system with a single chirp rate. On the ground of the analysis results under multiple access interference, the PSK-CSS system can support synchronous and asynchronous transmissions simultaneously by multiplying different random phases to the data symbols of different users.
Owing to the special demands and characteristics of the tropospheric scattering communication system, the channel modeling and the adaptive reliable transmission technique have always been a research hotshot. Ref. [18] provide a reference for the theoretical characteristics of communication channels. Ref. [19] presented the troposcatter propagation principles along with several mathematical models, demonstrating integrated theoretical analysis with experimental measurements. Ref. [20] tested the fading characteristics of scattered signals and established a signal model with radar parameters, finally proposing a suitable beamforming and detection algorithm. In ref. [21], equalization techniques were incorporated into a scattering communication system to mitigate inter code interference and achieved high-speed transmission. Ref. [22] investigated the impact of atmospheric conditions on signal transmission and provided insights into uncertainty estimation, serving as a reference for an alternative statistical channel model for bit error rate (BER) analysis. Ref. [23] proposed an innovative anti-fading method for tropospheric scattering communication based on frequency hopping, which also explored synchronization technologies to improve the system performance.
In this paper, by utilizing a chirp modulation scheme into a troposphere scattering communication system, the mathematic formulation of a chirp-BOK signal was introduced to describe the characteristics of the signal passing through troposcatter channels. Then, the averaged BER formula was theoretically deduced over a Rayleigh flat fading channel and frequency-selective fading channel, respectively. In order to investigate the suitable chirp-BOK parameters to deal with different fading parameters, a seven-path fading channel model was established with tap delays and multipath gains. Finally, the BER performance of the chirp-BOK system was simulated and analyzed, with the results showing that an adaptive optimal chirp configuration could offer some significant performance gains.
The main contributions of this work are twofold. Firstly, the theoretical averaged BER formula of chirp-BOK modulation over a troposcatter fading channel was deduced and shown, and it was consistent with the corresponding simulation results over the established seven-path fading model. Secondly, for a troposcatter communication environment with a Doppler shift, multipath gain vectors and delays, optimal parameter configurations for chirp-BOK modulation were achieved to obtain some significant performance gains.

2. System Model with Chirp-BOK Modulation

The schematic diagram of tropospheric scatter propagation is shown in Figure 1, with the transmitter and receiver far apart. In Figure 1, the “scatterers” in the troposphere can form a scattering effect on electromagnetic waves in the microwave band, thereby realizing OTH communication. The transmitter sends the signal toward the troposphere without being blocked by terrestrial obstacles. Although most of the transmitted signal passes out of the troposphere, the remainder scatters at the troposphere, which we call “common volume”. In order to set up a tropospheric scatter communication link, an antenna facing a horizontal line should be placed with an elevation angle as low as possible to minimize the path length. As shown in Figure 1, a common volume is formed at the intersection of the antenna beam widths, which can scatter the radio waves to the receiver.

2.1. Chirp Signal Model

Within a symbolic period, a chirp signal can be expressed as
s t = a t e j 2 π f 0 t + π μ t 2 , 0 t T b ,
where a ( t ) represents the chirp signal envelope, which is usually a rectangular pulse; f 0 is the initial frequency; μ is the chirp rate, which denotes the instantaneous frequency change rate of the chirp signal; T b denotes the duration of the chirp signal; and B = μ T b is used to represent the chirp signal bandwidth. When μ > 0 or μ < 0 , the frequency of the chirp signal increases or decreases linearly during the sweep time, which is called the up-chirp signal or down-chirp signal.
A matched filter is a linear filter in which the ratio of signal power to noise power at the output is maximized, and receivers use matched filters to detect received signals. The optimal matched filter for an up-chirp signal is a down-chirp filter, and vice versa. Taking the up-chirp signal as an example, the output waveform of the signal after the matched filter is
y 1 t = B T b · sin π B T b 1 t T b π B T b · cos 2 π f 0 t ,
and the output waveform of the signal after the unmatched filter is
y 2 ( t ) = 1 B T b exp j π μ t 2 2 C X + j S X ,
where X = π 2 B T b μ t 2 , C ( · ) , and S ( · ) are the standard Fresnel cosine and sine integrals, respectively, and are given by
C ( x ) = 0 x c o s ( π 2 t 2 ) d t , S ( x ) = 0 x s i n ( π 2 t 2 ) d t .
As shown in Equation (2), the output of the matched filter has similar characteristics to the sinc function, which can convert the input chirp signal with low peak power into an output signal with high peak power and concentrated energy in a very short period of time. The feature is beneficial for detecting chirp signals. Finally, the information bit can be restored by sampling and judging the output of the matched filter.

2.2. Troposcatter Channel Model

The main characteristics of tropospheric scattering propagation encompass transmission loss and fading. Transmission loss is influenced by various factors, such as the distance between the transmitter and receiver, the geographical location, and the scattering properties of scatterers. There are some classical methods for estimating scattering transmission losses, mainly the NBS-101 model and ITU-R model.
NBS-101 is a widely used calculation method to estimate transmission losses in tropospheric scatter communication links. The NBS-101 prediction method considers the impact of nonlinear variations in the atmospheric refraction index when utilizing the equivalent earth radius. It appropriately adjusts this factor during the calculation process to align with actual link conditions, resulting in a prediction of scattering transmission loss that is more consistent with measured values. However, this method involves complex calculations and requires consultation of numerous charts, making its engineering application relatively challenging.
The ITU-R P.617 model proposes the data and propagation prediction techniques required for the design of a radio relay system beyond the horizon, as well as a transmission loss prediction model for troposcatter signals. Many changes have been made since the P.617 recommendation was first proposed in 1992. From P.617-1 in 1992 to P.617-3 in 2013, this model was mainly used to predict the performance of a radio relay system from 50% to 99.999% of the time percentage. As it was updated to P.617-4 in 2017 and P.617-5 in 2019, the model was improved to predict performance for a time percentage of 0.001% to 99.999%. This pattern can be expressed as follows [24]:
L = F + 22 log f + 35 log θ + 17 log d + L c Y p ,
In Equation (5), L denotes the median of transmission loss (dB), F is weather factor (dB), f stands for frequency (MHz), θ is the scatter angle (mrad), d is the circuitry length (km), L c is the surface medium coupling loss (dB), and Y p is the conversion factor that does not exceed the estimated p time percentage.
The calculation process of the ITU-R617 prediction method is relatively simple, and most of the unknowns can be obtained through the corresponding calculation formula, accurately calculating the transmission loss of tropospheric scattering communication, which is more in line with the practical applications in China.
Using the tranmission loss, as computed in Equation (5), the receiver signal-to-noise ratio (SNR) γ can be expressed as [25]
γ = 10 log 10 P t L L F N F 10 log 10 K T 1 B ,
where P t is the transmitter power, L F is the transmitter and receiver feeder losses, N F is the receiver noise figure, K is Boltzman’s constant, T 1 is the noise temperature in Kelvin, and B is the transmission bandwidth.
Fading is a typical characteristic of tropospheric scattering signals, which can be classified into fast fading and slow fading according to the duration of the fading period [26]. Slow fading reflects the attenuation caused by changes in the average value of a received level over a medium range of hundreds of wavelengths, primarily associated with climate conditions. Statistical findings indicate that the slow fading signal power obeys a log-normal distribution. Fast fading comprises frequency-selective fading and time-selective fading, which reflects the fast amplitude changes over a short period of time. The statistical experimental results show that fast fading always follows the Rayleigh distribution [27]. The received SNR γ will be used to analyze and simulate modulation performance over a troposcatter fading channel.
The troposcatter channel is commonly referred to as Wide-Sense Stationary Uncorrelated Scattering (WSSUS), which follows Rayleigh distributions [28]. It is a linear time-varying (LTV) system that can be characterized as a continuous time–impulse response c ˜ ( τ , t ) [29]. Assuming that the bandwidth of the low-pass input of the channel is limited to the order of r / 2 , and under the band-pass condition, it is equal to B = r , where r represents the symbol rate. Therefore, the low-pass input signal is sampled at a minimum sampling rate of r points per second, with a sampling interval represented by T = 1 / r , i.e., tap delay.
With transmit signal x ˜ t input, the output y ˜ t of the troposcatter multipath channel with the tap delay line model (TDL) can be described as
y ˜ t = T n = 0 N 1 x ˜ t n T c ˜ n T , t = n = 0 N 1 x ˜ t n T g ˜ n t ,
where g ˜ n t = T c ˜ n T , t , N denotes the number of taps in the TDL model, i.e., the number of multipaths in the scattering channel.
For the Rayleigh fading channel, g ˜ n t is the tap gain, which is a complex Gaussian process with a zero mean [30]. Under the WSSUS assumption, the gain of each tap is uncorrelated, their power spectral density is determined by the Doppler spectrum, and the magnitude of the Doppler shift reflects the rate at which the tap coefficient changes.
In consideration of the aforementioned characteristics of the scattering channel, and its multipath structure that is always consistent with the Rayleigh distribution, an equal-delay multipath Rayleigh fading model is employed for the simulation of non-anomalous propagation within the scattering channel. In this paper, the seven-path Rayleigh fading channel model with equal delay is adopted for the purposes of simulation analysis.

2.3. Chirp-BOK System Model

Chirp-BOK uses a quasi-orthogonal chirp signal with up- and down-frequency to carry different information bits. The up-chirp signal represents the bit “1”, and the down-chirp signal represents the bit “0”. After passing through the communication channel, the receiver uses a down-chirp and up-chirp matched filter to detect and judge for demodulation. The schematic diagram of the chirp-BOK modulation system is shown in Figure 2 and Algorithms 1 and 2.
Algorithm 1: Chirp-BOK modulation algorithm.
Entropy 26 01052 i001
Algorithm 2: Chirp-BOK demodulation algorithm.
Entropy 26 01052 i002

3. Theoretical Analysis for Bit Error Rate

3.1. Rayleigh Flat Fading

The average bit error rate (BER) ( p ¯ e ) of chirp-BOK modulation over a flat fading channel can be calculated by the instantaneous BER integrated over an AWGN channel p e ( γ ) with a signal-to-noise ratio (SNR) γ as follows:
p ¯ e = 0 p e ( γ ) f γ ( γ ) d γ ,
where p e ( γ ) is given by [31]
P e ( γ ) = Q E b N 0 1 ρ i j = 1 2 e r f c 1 2 γ .
where E b is symbol energy and N 0 is noise power spectral density. The Gaussian Q-function is defined by Q x = 1 2 π x e t 2 / 2 d t , and ρ i j is the normalized cross-correlation coefficient between the up/down-chirp signals, as follows:
ρ i j = 1 B T b ( C ( π 2 B T b ) ) 2 + ( S ( π 2 B T b ) ) 2 .
For Rayleigh fading, the probability density function (PDF) of the received SNR γ and the cumulative distribution function (CDF) of the received SNR γ can be described, respectively, as
f γ ( γ ) = 1 γ ¯ e x p ( γ γ ¯ ) ,
F γ ( γ ) = 1 e x p ( γ γ ¯ ) ,
where γ = | h | 2 E b ( 1 ρ i j ) N 0 is the instantaneous SNR per bit, h is the fading coefficient with the Rayleigh distribution, and γ ¯ = | h ¯ | 2 E b ( 1 ρ i j ) N 0 is the average SNR per bit. Additionally, since Equation (9) is a complementary error function, its original function cannot be easily expressed by a simple elementary function, so the integral by parts method is used to calculate Equation (8). Thus, Equation (8) can be deduced by
p ¯ e = 0 p e ( γ ) F γ d γ ,
where
p e ( γ ) = 1 8 π ( γ ) 1 2 e x p ( 1 2 γ ) .
By substituting Equations (12) and (14) into Equation (13), we can get
p ¯ e = 1 2 1 γ ¯ 2 + γ ¯
Hence, the average BER of the chirp-BOK modulation over the Rayleigh flat fading channel can be written in a closed form as
p ¯ e = 1 2 1 h ¯ 2 E b 1 ρ i j / N 0 2 + h ¯ 2 E b 1 ρ i j / N 0 .

3.2. Frequency-Selective Fading

The impulse response of baseband signals on frequency-selective channels can be expressed as
h t = l = 1 L α l e j θ l δ t τ l ,
where l is the channel index, L is the number of resolvable paths, δ · is the delta function, and α l l = 1 L , θ l l = 1 L , τ l l = 1 L are the random channel amplitudes, phases and delays, respectively. The received signal can be expressed as
y t = h t s t + n t + i I S I t = l = 1 L α l e j θ l x t τ l + n t + i I S I t ,
where n t denotes Additive White Gaussian Noise (AWGN) and i I S I t is the inter symbol interference (ISI) component. Assuming that the fading amplitude is a random variable with a mean-square value Ω = α 2 ¯ . The instantaneous SNR per bit of the Lth channel is given as γ l = Ω l E b 1 ρ i j / N 0 and the average SNR per bit of the Lth channel can be expressed as γ ¯ l = Ω ¯ l E b 1 ρ i j / N 0 .
The mean-square value Ω l is related to power delay profile of the channel, which is considered as an exponentially decaying power delay profile (PDP).
Ω l = Ω 1 e l 1 δ , δ 0 , l = 1 , 2 , , L ,
where Ω 1 is the average fading power of the first path, and the parameter δ is the power decay factor. The variance of the ISI component is [32] σ I S I 2 = Ω T 1 Ω 1 E b / 2 P g , where Ω T = l = 1 L e l 1 δ is the normalized total average fading power, and p g is the processing gain. Therefore, the equivalent interference plus noise power spectral density can be written as
N e 2 = Ω T 1 2 P g Ω 1 E b + N 0 2
The average signal-to-interference plus noise ratio is
γ ¯ e = 2 γ ¯ 1 + Ω T 1 2 P g 1 .
Following the same procedure as in Section 3, the average BER over frequency-selective Rayleigh fading in a closed form is obtained as
p ¯ e = 1 2 1 γ ¯ e 1 + γ ¯ e .

4. Simulation and Discussion

In the subsequent simulation, the setting parameters of the multipath Rayleigh fading channel are shown in Table 1.
Equation (14) states the average BER output from the troposcatter channel with chirp-BOK modulation in the absence of ISI (i.e., Rayleigh flat fading), which can be expressed as P e = 1 2 1 γ ¯ 2 + γ ¯ , where γ ¯ denotes the average SNR. A comparison between the simulation result and theoretical result is shown in Figure 3; the simulation results were verified through numerous simulations, revealing that when the parameter D is set to 6, there is a high degree of consistency with the theoretical results.
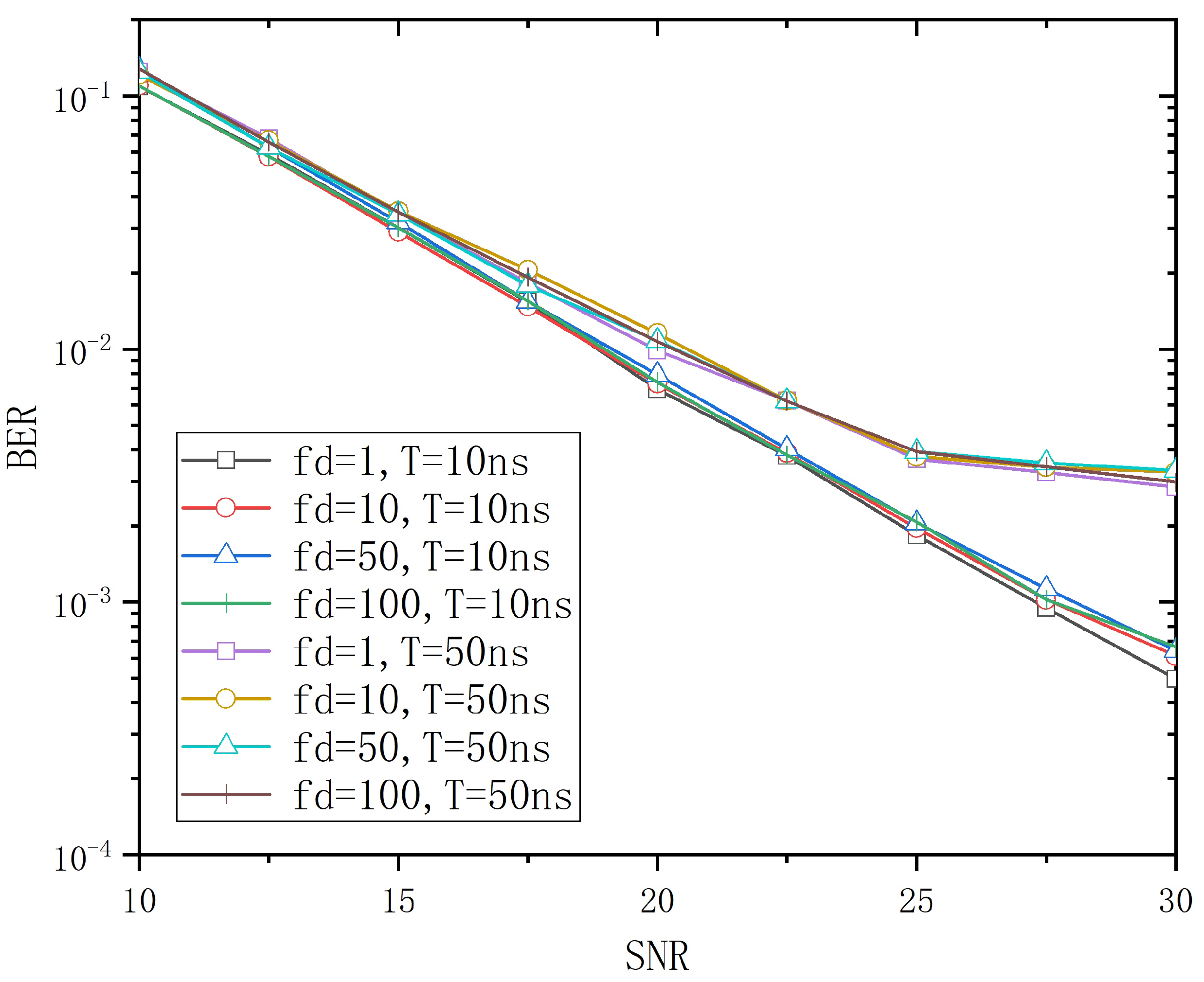
When tap delay T is equal to 10 ns and 50 ns , respectively, with Path-Gain-Vector1, the influence of different Doppler shifts f d on the system BER performance is shown in Figure 4. As shown in Figure 4, the BER curves are basically consistent in the range of f d 1 Hz , 100 Hz , and the influence of f d on the BER is relatively small. The subsequent simulation and analysis are based on the assumption that f d = 10 Hz .
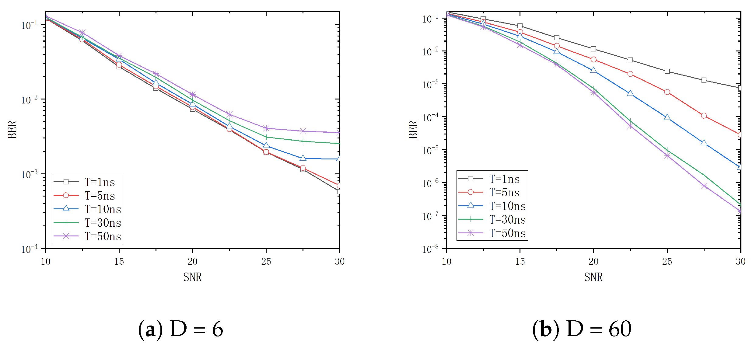
The effect of varying tap delay vector T on BER performance of the system with D equal to 6 and 60 is illustrated in Figure 5a and Figure 5b, respectively.
As illustrated in Figure 5a, under the premise of a small D, the BER curve exhibits a flattening trend as the value of T increases. When T = 1 ns and T = ns , the two BER curves are essentially identical, indicating that the ISI in the system is small in the presence of a relatively short time interval. This can be regarded as frequency flat fading. As the value of T increases to 10 ns , 30 ns , and 50 ns , the BER performance of the system declines continuously. This is due to the fact that as T increases, the ISI phenomenon in the channel becomes more pronounced, resulting in a transition from a frequency flat fading channel to a frequency-selective fading channel.
Figure 5b shows that the BER performance improves with an increase in T. This is due to the fact that a larger time–bandwidth product results in a more rectangular spectral characteristic of the chirp signal, rendering it more resistant to frequency-selective fading. Consequently, the system is more effectively capable of suppressing frequency-selective fading caused by different paths when T continuously increases, thus enhancing the reception quality and BER performance.
The system BER performance for tap delays T of 5 ns , 10 ns , 30 ns , and 50 ns is analyzed in Figure 6, Figure 7, Figure 8 and Figure 9 when D is 8, 20, 40, 60, and 120, respectively. From these figures, it can be observed that the system performance attains its optimal level when D is 20, 40, 60, and 120, respectively, with Path-Gain-Vector1. Similarly, the system performance is optimal when D is 20 and 40 with Path-Gain-Vector2.
Table 2 and Table 3 show the threshold values of the SNR for different channel delay vectors and different D when the BER is 10 4 with Path-Gain-Vector1 and Path-Gain-Vector2, respectively.
Assume that target bit error rate is 10 4 and the reference D = 8 is used as a basis for the gain calculation. In Path-Gain-Vector1, the optimal selection to achieve the target BER is 1.7 dB less than the SNR required for D = 8 when the tap delay T is 5 ns . Similarly, the optimal selections to achieve the target BER are 5 dB , 9.5 dB and 10.0 dB less than D = 8 when the tap delay T is 10 ns , 30 ns and 50 ns , respectively. In Path-Gain-Vector2, the optimal configuration to reach the target BER is 1.7 dB less than the SNR required for D = 8 when the tap delay T is 5 ns . Similarly, the optimal configurations to reach the target BER are 3.9 dB , 7.7 dB , and 9.8 dB less than D = 8 when the tap delay T is 10 ns , 30 ns and 50 ns , respectively.
Figure 10 is a BER performance comparison between chirp-BOK, BPSK, QPSK and 16-QAM modulation schemes. During the chirp-BOK process of simulation, the BER trends were found to be consistent under four different channel conditions. Therefore, only two cases are listed here, T = 30 ns and various path gains, with results showing that chirp-BOK outperforms BPSK, 16-QAM and QPSK in troposcatter deep fading channel conditions. Although chirp-BOK modulation can have higher sensitivity, the spectral efficiency is relatively low. To settle this problem, the chirp signal spread method can be used with a typical digital modulation scheme and Orthogonal Frequency Division Multiplexing (OFDM) technique.

5. Conclusions

In this paper, we presented a BER performance analysis and parameter optimization of chirp-BOK modulation over a troposcatter channel, theoretically and numerically. Firstly, the averaged BER performance of chirp-BOK modulation over a Rayleigh flat fading channel was derived theoretically. Then, a seven-path equal-delay Rayleigh fading channel model was established to simulate the chirp-BOK modulation BER performance under various conditions. Furthermore, the impact of the time–bandwidth product and channel tap delay was optimized and analyzed with different chirp-BOK parameters. These results demonstrate that when the path gain remains constant and the tap delay increases, the value of D needs to be increased in order to achieve optimal performance. It is worth noting that an increase in the primary path gain will not necessarily result in an improvement in BER performance, when the same time–bandwidth product and tap delay conditions are considered. As observed in Part 4, when optimized with appropriate parameters, chirp-BOK modulation can exhibit a significantly lower BER compared to other modulation techniques under deep fading channel conditions. On the one hand, in a future study, an actual chirp signal experiment should be tested to characterize chirp-BOK modulation parameters. On the other hand, further enhancement may focus on the combination of chirp modulation with some advanced error correction codes to achieve higher data transmission reliability.

Author Contributions

Conceptualization, J.S. and Z.L.; software, J.S.; validation, Z.L., Y.L. and T.X.; writing—original draft preparation, J.S., Z.L. and T.X.; writing—review and editing, J.S., Z.L. and Y.L.; visualization, J.S.; supervision, J.S. and T.X. All authors have read and agreed to the published version of the manuscript.

Funding

This research was supported by the National Natural Science Foundation of China (62371390).

Institutional Review Board Statement

Not applicable.

Data Availability Statement

Data are contained within this article.

Conflicts of Interest

Author Tianjiao Xie is employed by the company China Academy of Space Technology. The remaining authors declare that the research was conducted in the absence of any commercial or financial relationships that could be construed as a potential conflict of interest.

Abbreviations

The following abbreviations are used in this manuscript:
CSSChirp spread spectrum
BOKBinary orthogonal keying
ISIInter-symbol interference
BERBit error rate
SNRSignal-to-noise power ratio
PDFProbability density function
CDFCumulative distribution function

References

  1. Li, C.; Chen, X.; Liu, X. Cognitive Tropospheric Scatter Communication. IEEE. Trans. Vehic. Technol. 2017, 67, 1482–1491. [Google Scholar] [CrossRef]
  2. IEEE. Std. 802.15.4a-2007; IEEE Standard for Information Technology—Local and Metropolitan Area Networks—Specific Requirements—Part 15.4: Wireless Medium Access Control (MAC) and Physical Layer (PHY) Specifications for Low-Rate Wireless Personal Area Networks (WPANs): Amendment 1: Add Alternate PHYs. IEEE: Piscataway, NJ, USA, 2007; pp. 1–210. [CrossRef]
  3. Winkler, M. Chirp signals for communications. In Proceedings of the 1962 IEEE Western Electronic Show and Convention Conference (WESCON), Los Angeles, CA, USA, 21–24 August 1962; pp. 14–17. [Google Scholar]
  4. Lee, H.; Kim, T.H.; Choi, J.W. Chirp signal-based aerial acoustic communication for smart devices. In Proceedings of the 2015 IEEE Conference on Computer Communications(INFOCOM), Hong Kong, China, 26 April–1 May 2015; pp. 2407–2415. [Google Scholar] [CrossRef]
  5. Zhao, Q.M.; Zhang, Q.Y.; Zhang, N.T. Multiple chirp-rate modulation based on fractional fourier transform. In Proceedings of the 2010 First International Conference on Pervasive Computing, Signal Processing and Applications (PCSPA), Harbin, China, 17–19 September 2010; pp. 688–691. [Google Scholar] [CrossRef]
  6. Kaihan, Z.; Keyu, C.; Fei, Y.; Jinwang, Y. Chirp FSK based on FRFT for underwater acoustic communication. In Proceedings of the 2017 7th IEEE International Conference on Electronics Information and Emergency Communication (ICEIEC), Macau, China, 21–23 July 2017; pp. 49–52. [Google Scholar] [CrossRef]
  7. Vangelista, L. Frequency shift chirp modulation: The LoRa modulation. IEEE. SPL 2017, 24, 1818–1821. [Google Scholar] [CrossRef]
  8. Yuyang, J. Performance Study of LFM-Based Shared Signal for Radar and Communications. Master’s Thesis, Huazhong University of Science and Technology, Wuhan, China, 2019. (In Chinese). [Google Scholar] [CrossRef]
  9. Jianxun, H. Research on Radar Communication Signal Integration and Beamforming. Master’s Thesis, Harbin Engineering University, Harbin, China, 2020. (In Chinese). [Google Scholar] [CrossRef]
  10. Reynders, B.; Meert, W.; Pollin, S. Range and coexistence analysis of long range unlicensed communication. In Proceedings of the International Conference on Telecommunications(ICT), Thessaloniki, Greece, 16–18 May 2016; pp. 1–6. [Google Scholar] [CrossRef]
  11. Reynders, B.; Pollin, S. Chirp spread spectrum as a modulation technique for long range communication. In Proceedings of the 2016 Symposium on Communications and Vehicular Technologies (SCVT), Mons, Belgium, 22–22 November 2016; pp. 1–5. [Google Scholar] [CrossRef]
  12. Tang, X.; Li, H.; Zhang, Y.; Zhao, X. Performance Analysis of LoRa Modulation with Residual Frequency Offset. In Proceedings of the 2018 IEEE 4th International Conference on Computer and Communications (ICCC), Chengdu, China, 7–10 December 2018; pp. 835–839. [Google Scholar] [CrossRef]
  13. Jia, W.; Wang, W.Q.; Cheng, J.; Hau, Y.; Kang, Z. Low PAPR OFDM-Chirp Modulation Signaling Scheme. In Proceedings of the 2021 IEEE International Geoscience and Remote Sensing Symposium IGARSS, Brussels, Belgium, 11–16 July 2021; pp. 7963–7966. [Google Scholar] [CrossRef]
  14. Jia, Z.; Zheng, W.; Yuan, F. A Two-Dimensional Chirp-MFCSK Modulation Method for Underwater LoRa System. IEEE. Intern. Thin. J. 2022, 9, 24388–24397. [Google Scholar] [CrossRef]
  15. Zhao, Z. The Multiple Access PSK-Chirp System and the Demodulation Based on FrFT. In Proceedings of the 2022 IEEE 22nd International Conference on Communication Technology (ICCT), Nanjing, China, 11–14 November 2022; pp. 77–83. [Google Scholar] [CrossRef]
  16. Zhang, R.; Zhang, S.; Wang, X.; Zhu, Y. Fractional Chirp Rate Based Non-Orthogonal Transmission for Chirp Spread Spectrum Modulation. In Proceedings of the 2023 International Conference on Intelligent Communication and Networking (ICN), Changzhou, China, 10–12 November 2023; pp. 111–115. [Google Scholar] [CrossRef]
  17. Gupta, A.; Agarwal, S.; Chakravarty, S. Non-Coherent Distributed Transmission with Chirp Spread Spectrum Modulation. In Proceedings of the 2024 IEEE International Conference on Communications Workshops (ICC Workshops), Denver, CO, USA, 9–13 June 2024; pp. 51–56. [Google Scholar] [CrossRef]
  18. Bacioccola, A.; Cicconetti, C.; Eklund, C.; Lenzini, L.; Li, Z.; Mingozzi, E. IEEE 802.16: History, status and future trends. Comput. Commun. 2010, 33, 113–123. [Google Scholar] [CrossRef]
  19. Xuemei, S.; Xudong, Z. Research on tropospheric scattering for radar signal beyond line-of-sight transmission. Modern Radar 2011, 33, 9–12. [Google Scholar] [CrossRef]
  20. Mengnan, W. Research on Beyond-Line-of-Sight Wideband Array Signal Beamforming Technology. Master’s Thesis, National University of Defense Technology, Changsha, China, 2013. (In Chinese). [Google Scholar]
  21. Garg, A.; Das, S.S. Design of troposcatter broadband link based on SCFDE. In Proceedings of the 2017 IEEE International Conference on Advanced Networks and Telecommunications System(ANTS), Bhubaneswar, India, 17–20 December 2017. [Google Scholar] [CrossRef]
  22. Biscarini, M.; De Sanctis, K.; Di Fabio, S.; Montopoli, M.; Milani, L.; Marzano, F.S. Assessment and Uncertainty Estimation of Weather-Forecast Driven Data Transfer for Space Exploration at Ka- and X-Band. IEEE. Trans. Antenn. Propag. 2019, 67, 3308–3322. [Google Scholar] [CrossRef]
  23. Binsong, S.; Jiancun, Q.; Wencheng, R. A new scattering communication method based on frequency hopping and simulation research. J. Jilin Univ. 2020, 50, 1870–1875. [Google Scholar] [CrossRef]
  24. ITU-R Recommendation P.617-5, Propagation Prediction Techniques and Data Required for the Design of Trans-Horizon Radio-Relay Systems. 2019. Available online: https://1f8a81b9b0707b63-19211.webchannel-proxy.scarabresearch.com/rec/R-REC-P.617/en (accessed on 4 September 2024).
  25. Annavajjala, R.; Zagami, J. Design and Performance Evaluation of High-Capacity Mobile Troposcatter Links Under Mobility, Frequency Selectivity, and Antenna Pointing Errors. In Proceedings of the 2018 IEEE Military Communications Conference (MILCOM), Los Angeles, CA, USA, 29–31 October 2018. [Google Scholar] [CrossRef]
  26. Liu, Y.; Wang, Z.; Dong, H.; Liu, H. Anti-disturbance filter design for a class of stochastic systems with fading channels. Sci. China Inf. Sci. 2020, 63, 327–329. [Google Scholar] [CrossRef]
  27. Minggao, Z. Troposphere Scatter Propagation; Publishing House of Electronics Industry: Beijing, China, 2004; ISBN 9787121003820. [Google Scholar]
  28. Tranter, W.; Shanmugan, K.; Rappaport, T.; Kosbar, K. Principles of Communication Systems Simulation with Wireless Applications; Prentice Hall: London, UK, 2003; ISBN 0134947908. [Google Scholar]
  29. Hashemi, H. The indoor radio propagation channel. Proc. IEEE 1993, 81, 943–968. [Google Scholar] [CrossRef]
  30. Kailath, T. Channel characterization: Time-variant dispersive channels. Lect. Commun. Syst. Theor. 1961, 95–123. [Google Scholar]
  31. Alsharef, M.; Rao, R.K. M-ary chirp modulation for coherent and non-coherent data transmission. In Proceedings of the 2015 IEEE 28th Canadian Conference on Electrical and Computer Engineering (CCECE), Halifax, NS, Canada, 3–6 May 2015; pp. 213–219. [Google Scholar] [CrossRef]
  32. Eng, T.; Milstein, L.B. Coherent DS-CDMA perfomance in Nakagami multipath fading. IEEE Trans. Commun. 1995, 43, 1134–1143. [Google Scholar] [CrossRef]
Figure 1. Troposcatter propagation path.
Figure 1. Troposcatter propagation path.
Entropy 26 01052 g001
Figure 2. Scattering communication system based on chirp-BOK modulation.
Figure 2. Scattering communication system based on chirp-BOK modulation.
Entropy 26 01052 g002
Figure 3. Comparison of theoretical and simulated values.
Figure 3. Comparison of theoretical and simulated values.
Entropy 26 01052 g003
Figure 4. The BER curve of different f d in T = 10 ns and T = 50 ns .
Figure 4. The BER curve of different f d in T = 10 ns and T = 50 ns .
Entropy 26 01052 g004
Figure 5. The BER curve of different T.
Figure 5. The BER curve of different T.
Entropy 26 01052 g005
Figure 6. The BER curve of different D in T = 5 ns .
Figure 6. The BER curve of different D in T = 5 ns .
Entropy 26 01052 g006
Figure 7. The BER curve of different D in T = 10 ns .
Figure 7. The BER curve of different D in T = 10 ns .
Entropy 26 01052 g007
Figure 8. The BER curve of different D in T = 30 ns .
Figure 8. The BER curve of different D in T = 30 ns .
Entropy 26 01052 g008
Figure 9. The BER curve of different D in T = 50 ns .
Figure 9. The BER curve of different D in T = 50 ns .
Entropy 26 01052 g009
Figure 10. The BER curve of different modulation schemes in T = 30 ns .
Figure 10. The BER curve of different modulation schemes in T = 30 ns .
Entropy 26 01052 g010
Table 1. Parameters for simulation.
Table 1. Parameters for simulation.
ParameterValue
Maximum Doppler Shift f d 1 Hz , 100 Hz
Delay-Vector 0 1 2 3 4 5 6 × T ( ns )
Path-Gain-Vector1 10 30 2 5 8 10 ( dB )
Path-Gain-Vector2 10 30 2 5 8 10 ( dB )
Time–Bandwidth Product D = B T b
Table 2. SNR d B for Path-Gain-Vector1 when the BER is 10 4 .
Table 2. SNR d B for Path-Gain-Vector1 when the BER is 10 4 .
Path-Gain-Vector1 T = 5 ns T = 10 ns T = 30 ns T = 50 ns
D = 8 27.227.531.932.5
D = 20 25.524.023.525.0
D = 40 26.822.522.822.7
D = 60 28.225.022.422.5
D = 120 28.825.825.021.4
Table 3. SNR d B for Path-Gain-Vector2 when the BER is 10 4 .
Table 3. SNR d B for Path-Gain-Vector2 when the BER is 10 4 .
Path-Gain-Vector2 T = 5 ns T = 10 ns T = 30 ns T = 50 ns
D = 8 28.728.730.432.7
D = 20 26.024.822.723.4
D = 40 27.526.925.122.9
D = 60 29.127.426.325.4
D = 120 32.627.727.425.6
Disclaimer/Publisher’s Note: The statements, opinions and data contained in all publications are solely those of the individual author(s) and contributor(s) and not of MDPI and/or the editor(s). MDPI and/or the editor(s) disclaim responsibility for any injury to people or property resulting from any ideas, methods, instructions or products referred to in the content.

Share and Cite

MDPI and ACS Style

Shao, J.; Liu, Z.; Liu, Y.; Xie, T. Performance Analysis of Troposphere Scattering Communication Channel with Chirp-BOK Modulation. Entropy 2024, 26, 1052. https://doi.org/10.3390/e26121052

AMA Style

Shao J, Liu Z, Liu Y, Xie T. Performance Analysis of Troposphere Scattering Communication Channel with Chirp-BOK Modulation. Entropy. 2024; 26(12):1052. https://doi.org/10.3390/e26121052

Chicago/Turabian Style

Shao, Junhu, Zaiping Liu, Yishuo Liu, and Tianjiao Xie. 2024. "Performance Analysis of Troposphere Scattering Communication Channel with Chirp-BOK Modulation" Entropy 26, no. 12: 1052. https://doi.org/10.3390/e26121052

APA Style

Shao, J., Liu, Z., Liu, Y., & Xie, T. (2024). Performance Analysis of Troposphere Scattering Communication Channel with Chirp-BOK Modulation. Entropy, 26(12), 1052. https://doi.org/10.3390/e26121052

Note that from the first issue of 2016, this journal uses article numbers instead of page numbers. See further details here.

Article Metrics

Back to TopTop