A Simple Model of the Rise and Fall of Civilizations
Abstract
1. Introduction
2. Materials and Methods
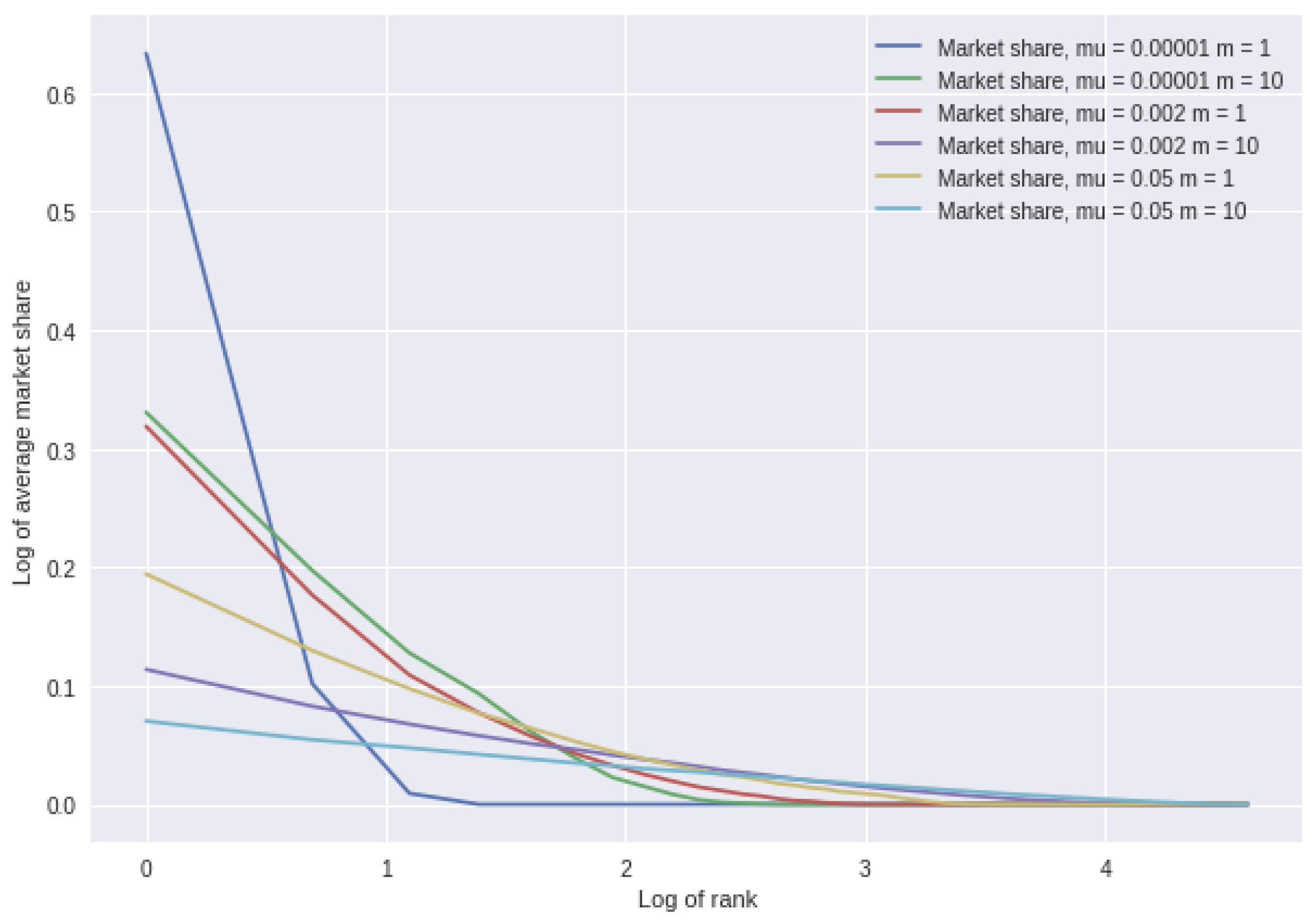
3. Results
4. Discussion and Conclusions
Supplementary Materials
Author Contributions
Funding
Data Availability Statement
Conflicts of Interest
References
- Fukuyama, F. The Origins of Political Order: From Prehuman Times to the French Revolution; Farrar, Straus and Giroux: New York, NY, USA, 2009. [Google Scholar]
- Morris, I. Foragers, Farmers, and Fossil Fuels: How Human Values Evolve; Princeton University Press: Princeton, NJ, USA, 2015. [Google Scholar]
- Henrich, J.; Broesch, J. On the nature of cultural transmission networks. Phil. Trans. R. Soc. B 2011, 366, 1139–1148. [Google Scholar] [CrossRef] [PubMed]
- Kohler, T.A.; Smith, M.E.; Bogaard, A.; Feinman, G.M.; Peterson, C.E.; Betzenhauser, A.; Pailes, M.; Stone, E.C.; Prentiss, A.M.; Dennehy, T.J.; et al. Greater post-Neolithic wealth disparities in Eurasia than in North America and Mesoamerica. Nature 2017, 551, 619–622. [Google Scholar] [CrossRef] [PubMed]
- Schneidel, W. The Great Leveler: Violence and the History of Inequality from the Stone Age to the Twenty-First Century; Princeton University Press: Princeton, NJ, USA, 2018. [Google Scholar]
- Turchin, P. Historical Dynamics: Why States Rise and Fall; Princeton University Press: Princeton, NJ, USA, 2003. [Google Scholar]
- Kenoyer, J.M. Ancient Cities of the Indus Valley Civilization; Oxford University Press: New York, NY, USA, 1998. [Google Scholar]
- Yoffee, N. Myths of the Archaic State: Evolution of the Earliest Cities, States, and Civilizations; Cambridge University Press: Cambridge, UK, 2005. [Google Scholar]
- Houle, C.; Ruck, D.J.; Bentley, R.A.; Gavrilets, S. Inequality between identity groups and social unrest. J. Roy. Soc. Interface 2022, 19, 20210725. [Google Scholar] [CrossRef] [PubMed]
- Shennan, S.; Downey, S.S.; Timpson, A.; Edinborough, K.; Colledge, S.; Kerig, T.; Manning, K.; Thomas, M.G. Regional population collapse followed initial agriculture booms in mid-Holocene Europe. Nat. Commun. 2013, 4, 2486. [Google Scholar] [CrossRef]
- Bentley, R.A.; Bickle, P.; Fibiger, L.; Nowell, G.M.; Dale, C.W.; Hedges, R.E.M.; Hamilton, J.; Wahl, J.; Francken, M.; Grupe, G.; et al. Community differentiation and kinship among Europe’s first farmers. Proc. Natl Acad. Sci. USA 2012, 109, 9326–9330. [Google Scholar] [CrossRef]
- Bentley, R.A. Prehistoric kinship. Ann. Rev. Anthropol. 2022, 51, 137–154. [Google Scholar] [CrossRef]
- Watkins, T. Southwest Asia: From mobile foraging to settled farming. In Human Past Essentials; Scarre, C., Stone, T., Eds.; Thames and Hudson: New York, NY, USA, 2021; pp. 110–137. [Google Scholar]
- Borgerhoff Mulder, M.; Bowles, S.; Hertz, T.; Bell, A.; Beise, J.; Clark, G.; Fazzio, I.; Gurven, M.; Hill, K.; Hooper, P.L.; et al. Intergenerational wealth transmission and the dynamics of inequality in small-scale societies. Science 2009, 326, 682–688. [Google Scholar] [CrossRef]
- Bowles, S.; Choi, J.-K. The Neolithic agricultural revolution and the origins of private property. J. Polit. Econ. 2019, 127, 2186–2228. [Google Scholar] [CrossRef]
- Leppard, T.P. Social complexity and social inequality in the prehistoric Mediterranean. Curr. Anthropol. 2019, 60, 283–308. [Google Scholar] [CrossRef]
- Ames, K. The archaeology of rank. In Handbook of Archaeological Theories; Bentley, R.A., Maschner, H.D.G., Chippendale, C., Eds.; AltaMira Press: Lanham, MD, USA, 2008; pp. 487–513. [Google Scholar]
- Brumfiel, E.M.; Earle, T.K. Specialization, Exchange, and Complex Societies; Cambridge University Press: Cambridge, UK, 1987. [Google Scholar]
- Stark, M.T. Comment on Thomas P. Leppard’s Social Complexity and Social Inequality in the Prehistoric Mediterranean. Curr. Anthropol. 2019, 60, 301–302. [Google Scholar]
- Manzanilla, E. Early urban societies: Challenges and perspectives. In Emergence and Change in Early Urban Societies; Manzanilla, E., Ed.; Springer: New York, NY, USA, 1997; pp. 3–39. [Google Scholar]
- Stein, G.J. Heterogeneity, power, and political economy. J. Archaeol. Res. 1998, 6, 1–44. [Google Scholar] [CrossRef]
- Wright, H.T. Recent research on the origin of the state. Ann. Rev. Anthropol. 1977, 6, 379–397. [Google Scholar] [CrossRef]
- Anderson, D.G. The Savannah River Chiefdoms; University of Alabama Press: Tuscaloosa, AL, USA, 1994. [Google Scholar]
- Gavrilets, S.; Anderson, D.G.; Turchin, P. Cycling in the complexity of early societies. Cliodynamics 2010, 1, 55–80. [Google Scholar]
- Bentley, R.A.; Maschner, H.D.G.; Chippendale, C. (Eds.) Marxism. In Handbook of Archaeological Theories; AltaMira Press: Lanham, MD, USA, 2008; pp. 73–93. [Google Scholar]
- Renfrew, C. Trajectory discontinuity and morphogenesis: The implications of catastrophe theory for archaeology. Am. Antiq. 1978, 43, 203–222. [Google Scholar] [CrossRef]
- Lawson, D.J.; Oak, N. Apparent strength conceals instability in a model for the collapse of historical states. PLoS ONE 2014, 9, e96523. [Google Scholar] [CrossRef] [PubMed]
- Kolodny, O.; Creanza, N.; Feldman, M.W. Evolution in leaps: The punctuated accumulation and loss of cultural innovations. Proc. Natl. Acad. Sci. USA 2015, 112, E6762–E6769. [Google Scholar] [CrossRef]
- Derex, M.; Mesoudi, A. Cumulative cultural evolution within evolving population structures. Trends Cog. Sci. 2020, 24, 654–667. [Google Scholar] [CrossRef]
- Dean, L.G.; Vale, G.L.; Laland, K.N.; Flynn, E.; Kendal, R.L. Human cumulative culture: A comparative perspective. Biol. Rev. Camb. Phil. Soc. 2014, 89, 284–301. [Google Scholar] [CrossRef]
- Henrich, J.; Boyd, R.; Derex, M.; Kline, M.A.; Mesoudi, A.; Muthukrishna, M.; Powell, A.T.; Shennan, S.J.; Thomas, M.G. Understanding cumulative cultural evolution. Proc. Natl. Acad. Sci. USA 2016, 113, E6724–E6725. [Google Scholar] [CrossRef]
- Yule, G.U. A mathematical theory of evolution, based on the conclusions of Dr. J. C. Willis, F.R.S. Phil. Trans. R. Soc. B 1924, 213, 21–87. [Google Scholar]
- Simon, H.A. On a class of skew distribution functions. Biometrika 1955, 42, 425–440. [Google Scholar] [CrossRef]
- Barabási, A.-L.; Albert, R. Emergence of scaling in random networks. Science 1999, 286, 509–512. [Google Scholar] [CrossRef] [PubMed]
- Ghoshal, G.; Barabási, A.L. Ranking stability and super-stable nodes in complex networks. Nat. Commun. 2011, 2, 394. [Google Scholar] [CrossRef] [PubMed]
- Bentley, R.A.; Lipo, C.P.; Hahn, M.W.; Herzog, H.A. Regular rates of popular culture change reflect random copying. Evol. Hum. Behav. 2007, 28, 151–158. [Google Scholar] [CrossRef]
- Bentley, R.A.; Ormerod, P.; Batty, M. Evolving social influence in large populations. Behav. Ecol. Sociobiol. 2011, 65, 537–546. [Google Scholar] [CrossRef]
- Gleeson, J.P.; Cellai, D.; Onnela, J.-P.; Porter, M.A.; Reed-Tsochas, F. A simple generative model of collective online behavior. Proc. Natl. Acad. Sci. USA 2014, 111, 10411–10415. [Google Scholar] [CrossRef] [PubMed]
- Canelas, C.; Gisselquist, R.M. Horizontal inequality and data challenges. Soc. Indic. Res. 2019, 143, 157–172. [Google Scholar] [CrossRef]
- Duffy, P.R. Site size hierarchy in middle-range societies. J. Anthropol. Arch. 2015, 37, 85–99. [Google Scholar] [CrossRef]
- Bentley, R.A.; Caiado, C.C.S.; Ormerod, P. Effects of memory on spatial heterogeneity in neutrally transmitted culture. Evol. Hum. Behav. 2014, 35, 257–263. [Google Scholar] [CrossRef][Green Version]
- Crema, E.; Kandler, A.; Shennan, S.J. Revealing patterns of cultural transmission from frequency data: Equilibrium and non-equilibrium assumptions. Sci. Rep. 2016, 6, 39122. [Google Scholar] [CrossRef]
- Salzman, P.C. Is inequality universal? Curr. Anthropol. 1999, 40, 31–61. [Google Scholar] [CrossRef]
- Schulting, R.J. Mortuary Variability and Status Differentiation on the Columbia-Fraser Plateau; SFU Archaeology Press: Burnaby, BC, Canada, 1995. [Google Scholar]
- Blanton, R.E.; Feinman, G.M.; Kowalewski, S.A.; Peregrine, P.N. A dual-processual theory for the evolution of Mesoamerican civilization. Curr. Anthropol. 1996, 37, 1–14. [Google Scholar] [CrossRef]
- Renfrew, C. Beyond a subsistence economy: The evolution of social organization in prehistoric Europe. In Reconstructing Complex Societies; Moore, C., Ed.; School of Oriental Research: Ann Arbor, MI, USA, 1974; pp. 69–95. [Google Scholar]
- Earle, T. Cultural anthropology and archaeology. In Handbook of Archaeological Theories; Bentley, R.A., Maschner, H.D.G., Chippendale, C., Eds.; AltaMira Press: Lanham, MD, USA, 2008; pp. 187–202. [Google Scholar]
- Brahm, F.; Poblete, J. The evolution of productive organizations. Nat. Hum. Behav. 2021, 5, 39–48. [Google Scholar] [CrossRef] [PubMed]
- Turchin, P.; Currie, T.E.; Turner, E.A.L.; Gavrilets, S. War, space, and the evolution of Old World complex societies. Proc. Natl. Acad. Sci. USA 2013, 110, 16384–16389. [Google Scholar] [CrossRef]
- Gutiérrez, A.; Gerrard, C.; Zhang, R.; Guangyao, W. The earliest Chinese ceramics in Europe? Antiquity 2021, 95, 1213–1230. [Google Scholar] [CrossRef]
- Ehrenreich, R.M.; Crumley, C.L.; Levy, J.E. (Eds.) Heterarchy and the Analysis of Complex Societies; American Anthropological Association: Arlington, VA, USA, 1995. [Google Scholar]
- Canelas, C.; Gisselquist, R.M. Horizontal inequality as an outcome. Oxford Dev. Stud. 2018, 46, 305–324. [Google Scholar] [CrossRef]
- Alesina, A.; Michalopoulos, S.; Papaioannou, E. Ethnic Inequality. J. Polit. Econ. 2016, 124, 428–488. [Google Scholar] [CrossRef]
- Doğan, G.; Glowacki, L.; Rusch, H. Spoils division rules shape aggression between natural groups. Nat. Hum. Behav. 2018, 2, 322–326. [Google Scholar] [CrossRef]
- Conningham, R. South Asia. In Human Past Essentials; Scarre, C., Stone, T., Eds.; Thames and Hudson: New York, NY, USA, 2021; pp. 164–181. [Google Scholar]
- deMenocal, P. Cultural responses to climate change during the Late Holocene. Science 2001, 292, 667–673. [Google Scholar] [CrossRef]
- Østby, G. Inequality and political violence: A review of the literature. Int. Area Stud. Rev. 2013, 16, 206–231. [Google Scholar]
- Cederman, L.-E.; Weidmann, N.B.; Gleditsch, K.S. Horizontal inequalities and ethnonationalist civil war: A global comparison. Am. Polit. Sci. Rev. 2011, 105, 478–495. [Google Scholar] [CrossRef]
- Acemoglu, D.; Robinson, J.A. Persistence of power, elites, and institutions. Am. Econ. Rev. 2008, 98, 267–293. [Google Scholar] [CrossRef]
- Acemoglu, D.; Egorov, G.; Sonin, K. Dynamics and stability of constitutions, coalitions, and clubs. Am. Econ. Rev. 2012, 102, 1446–1476. [Google Scholar] [CrossRef]
- Henrich, J.; Boyd, R. The evolution of conformist transmission and the emergence of between-group differences. Evol. Hum. Behav. 1998, 19, 215–241. [Google Scholar] [CrossRef]





| Parameter | Description | Analogical Examples |
|---|---|---|
| Invention rate | Novel inventions, organizations, or settlements | |
| m | Memory | Oral tradition, cultural memory, written records |
| Affinity | Trade networks, geographic distance, social distance | |
| N | Agents | Population size or number of organizations |
| Statistic | log (Median HHI) | log (Turnover) |
|---|---|---|
| Intercept | −3.281 | 0.022 |
| Standard error | 0.028 | 0.045 |
| Coeff. on (s.e.) | −0.471 (0.005) | 0.393 (0.008) |
| Standard error | 0.005 | 0.008 |
| Coeff. on (s.e.) | −0.406 (0.009) | −0.230 (0.015) |
| 0.979 | 0.922 | |
| Residual std. error | 0.093 | 0.148 |
| m | |||
|---|---|---|---|
| 1000 | −0.077 | −0.225 | 0.960 |
| 2000 | −0.253 | −0.354 | 0.974 |
| 3000 | −0.424 | −0.395 | 0.979 |
| 3500 | −0.455 | −0.405 | 0.980 |
| 4000 | −0.468 | −0.405 | 0.980 |
| 5000 | −0.471 | −0.407 | 0.979 |
| m | |||
|---|---|---|---|
| 1000 | 0.084 | 0.312 | 0.966 |
| 2000 | 0.233 | −0.324 | 0.968 |
| 3000 | 0.353 | −0.266 | 0.949 |
| 3500 | 0.378 | −0.245 | 0.934 |
| 4000 | 0.389 | −0.236 | 0.927 |
| 5000 | 0.392 | −0.231 | 0.923 |
| m | |||
|---|---|---|---|
| 1000 | −0.148 | −0.048 | 0.888 |
| 2000 | −0.225 | −0.132 | 0.918 |
| 3000 | −0.088 | −0.168 | 0.643 |
| 3500 | −0.029 | −0.050 | 0.402 |
| 4000 | −0.008 | −0.017 | 0.105 |
| 5000 | n.s. | n.s. | ∼0 |
| Estimate | Std. Error | t Value | Pr(>|t|) | |
|---|---|---|---|---|
| Intercept | 0.89 | 0.0022 | 397.3 | <0.0001 |
| −3.76 | 0.024 | −158.5 | <0.0001 | |
| m | −0.0202 | 0.0002 | −94.6 | <0.0001 |
| 0.00000215 | 0.00000003 | 74.0 | <0.0001 |
Disclaimer/Publisher’s Note: The statements, opinions and data contained in all publications are solely those of the individual author(s) and contributor(s) and not of MDPI and/or the editor(s). MDPI and/or the editor(s) disclaim responsibility for any injury to people or property resulting from any ideas, methods, instructions or products referred to in the content. |
© 2023 by the authors. Licensee MDPI, Basel, Switzerland. This article is an open access article distributed under the terms and conditions of the Creative Commons Attribution (CC BY) license (https://creativecommons.org/licenses/by/4.0/).
Share and Cite
Nyman, R.; Ormerod, P.; Bentley, R.A. A Simple Model of the Rise and Fall of Civilizations. Entropy 2023, 25, 1298. https://doi.org/10.3390/e25091298
Nyman R, Ormerod P, Bentley RA. A Simple Model of the Rise and Fall of Civilizations. Entropy. 2023; 25(9):1298. https://doi.org/10.3390/e25091298
Chicago/Turabian StyleNyman, Rickard, Paul Ormerod, and R. Alexander Bentley. 2023. "A Simple Model of the Rise and Fall of Civilizations" Entropy 25, no. 9: 1298. https://doi.org/10.3390/e25091298
APA StyleNyman, R., Ormerod, P., & Bentley, R. A. (2023). A Simple Model of the Rise and Fall of Civilizations. Entropy, 25(9), 1298. https://doi.org/10.3390/e25091298

