First Detection and Tunneling Time of a Quantum Walk
Abstract
:1. Introduction
2. Theoretical Framework
2.1. Stroboscopic Protocol
2.2. Gaussian Wave Packet Quantum Walk
2.3. Quantum Walk with Tunneling
3. Numerical Results
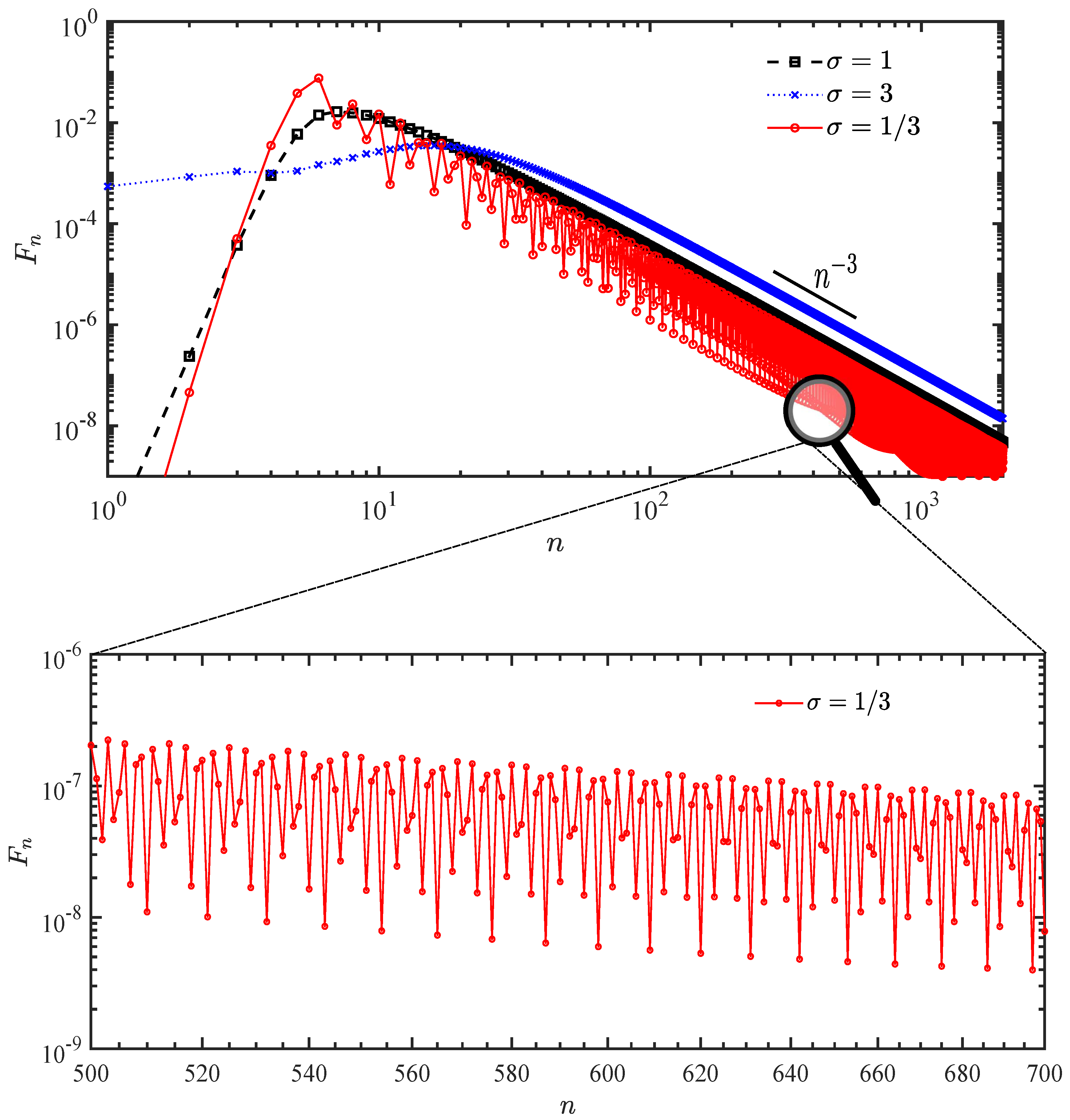
3.1. Gaussian Wave Packet Quantum Walk with
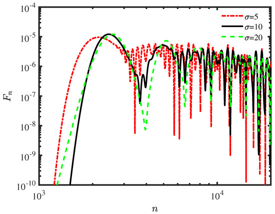
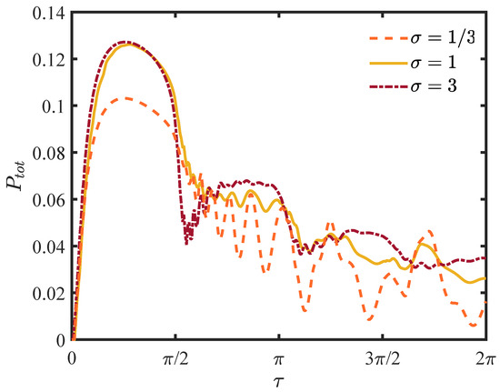
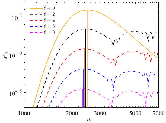
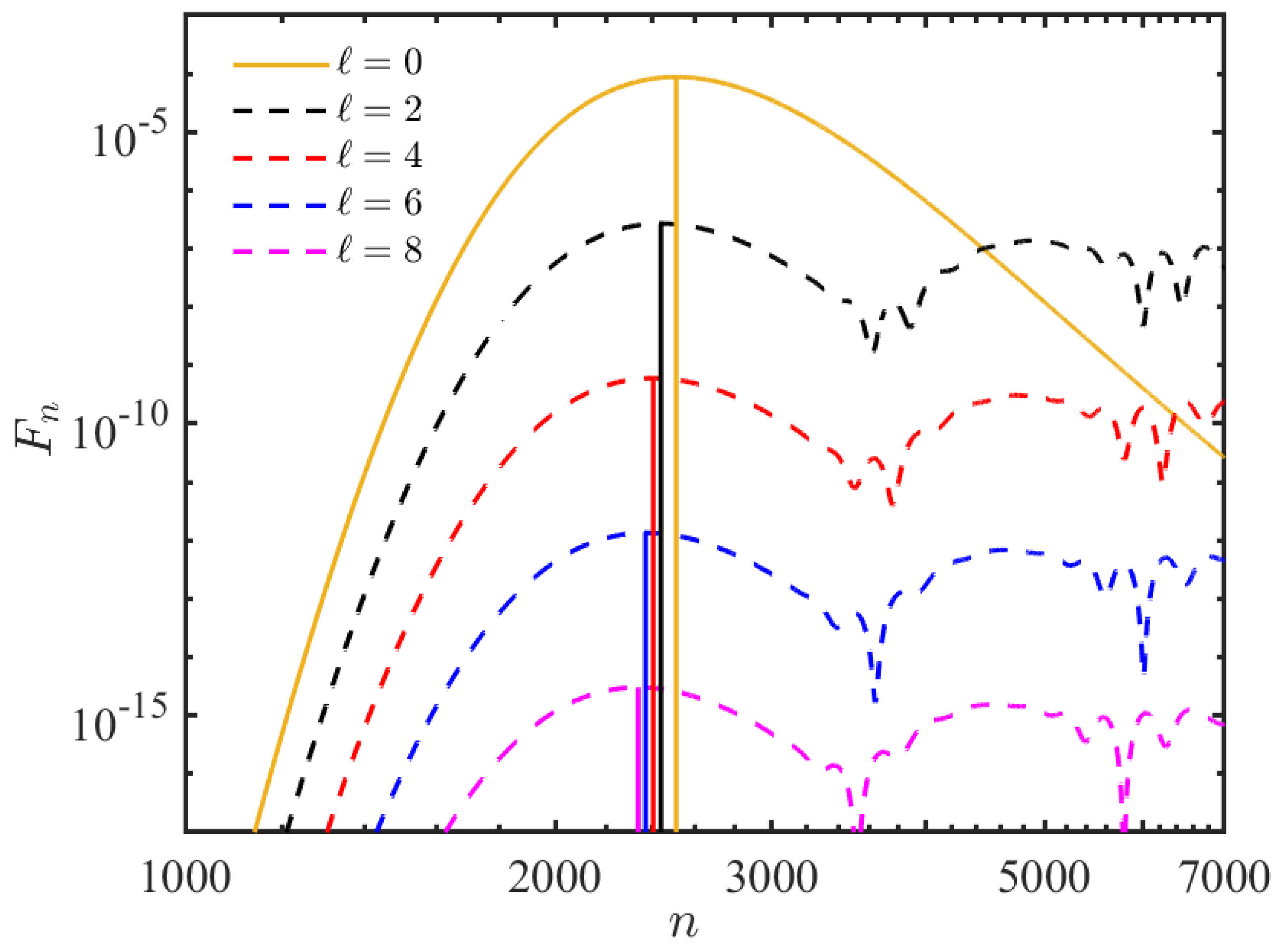
3.2. Quantum Walk with an Impurity
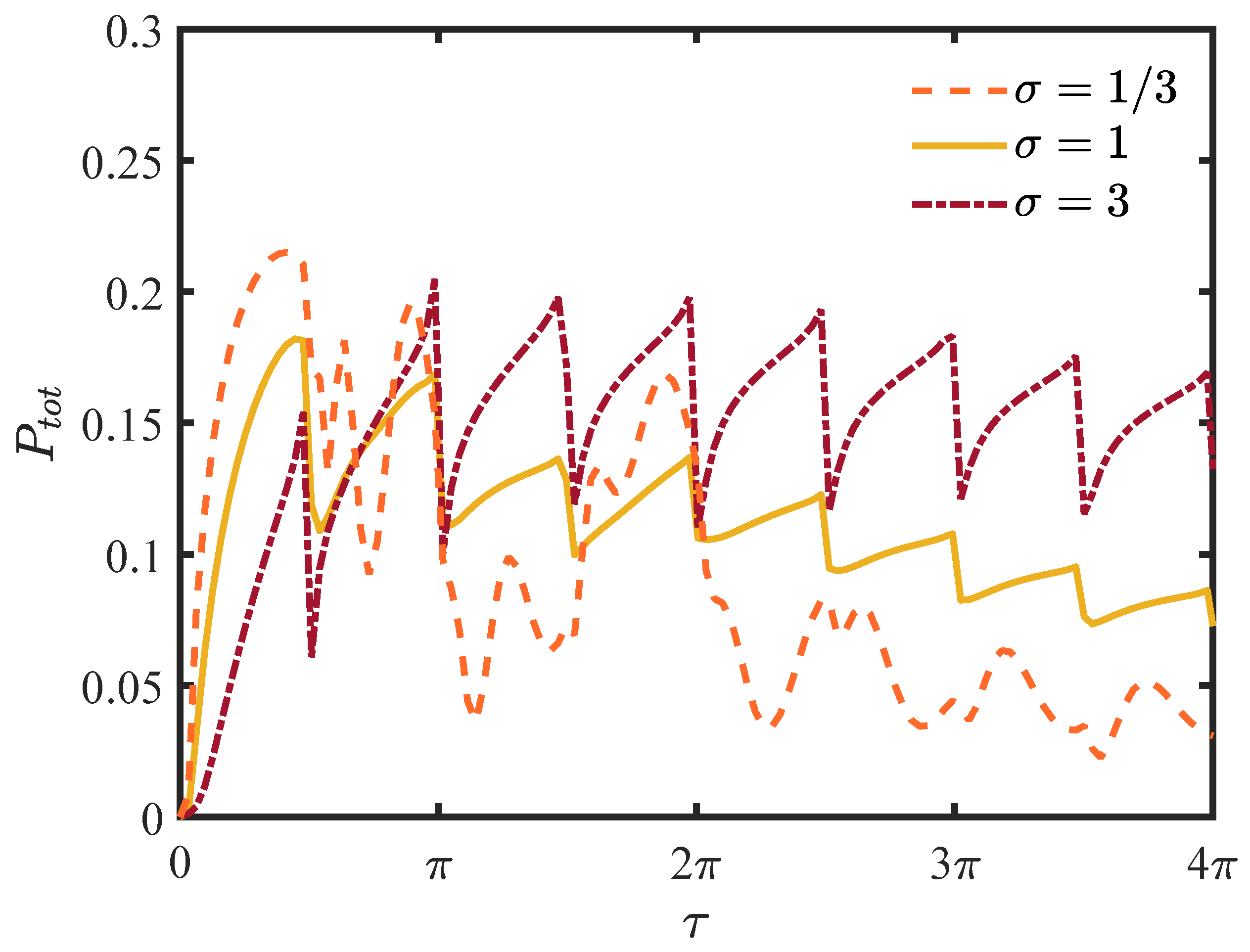
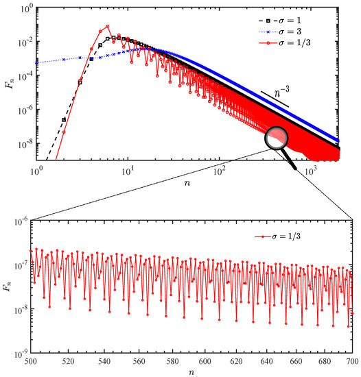
3.3. Tunneling Time on First Detection Probability
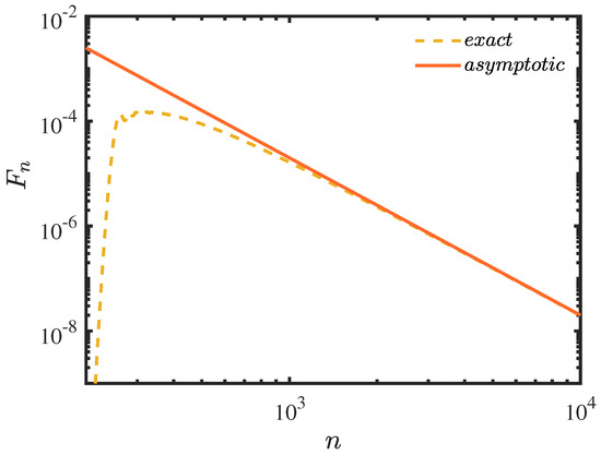
4. Asymptotic Results
5. Conclusions and Discussions
Author Contributions
Funding
Institutional Review Board Statement
Data Availability Statement
Acknowledgments
Conflicts of Interest
Abbreviations
| QW | Quantum Walk |
| CTQW | Continuous-Time Quantum Walk |
| DTQW | Discrete-Time Quantum Walk |
Appendix A
Appendix A.1
References
- Hughes, B.D. Random Walks and Random Environments; Oxford University Press: Oxford, UK, 1995. [Google Scholar]
- Shor, P.W. Polynomial-Time Algorithms for Prime Factorization and Discrete Logarithms on a Quantum Computer. SIAM J. Comput. 1997, 26, 1484–1509. [Google Scholar] [CrossRef]
- Grover, L.K. Quantum Mechanics Helps in Searching for a Needle in a Haystack. Phys. Rev. Lett. 1997, 79, 325–328. [Google Scholar] [CrossRef]
- Shenvi, N.; Kempe, J.; Whaley, K.B. Quantum random-walk search algorithm. Phys. Rev. A 2003, 67, 052307. [Google Scholar] [CrossRef]
- Herrman, R.; Humble, T.S. Continuous-time quantum walks on dynamic graphs. Phys. Rev. A 2019, 100, 012306. [Google Scholar] [CrossRef]
- Childs, A.M. Universal Computation by Quantum Walk. Phys. Rev. Lett. 2009, 102, 180501. [Google Scholar] [CrossRef]
- Mülken, O.; Blumen, A. Continuous-time quantum walks: Models for coherent transport on complex networks. Phys. Rep. 2011, 502, 37–87. [Google Scholar] [CrossRef]
- Weiss, G.H. Aspects and Applications of the Random Walk; North-Holland: Amsterdam, The Netherlands, 1994. [Google Scholar]
- Portugal, R. Quantum Walks and Search Algorithms; Springer: New York, NY, USA, 2013. [Google Scholar]
- Wang, J.; Manouchehri, K. Physical Implementation of Quantum Walks; Springer: Berlin/Heidelberg, Germany, 2014. [Google Scholar]
- Aharonov, Y.; Davidovich, L.; Zagury, N. Quantum random walks. Phys. Rev. A 1993, 48, 1687–1690. [Google Scholar] [CrossRef]
- Farhi, E.; Gutmann, S. Quantum computation and decision trees. Phys. Rev. A 1998, 58, 915–928. [Google Scholar] [CrossRef]
- Childs, A.M.; Farhi, E.; Gutmann, S. An Example of the Difference Between Quantum and Classical Random Walks. Quantum Inf. Process. 2002, 1, 35. [Google Scholar] [CrossRef]
- Childs, A.M.; Cleve, R.; Deotto, E.; Farhi, E.; Gutmann, S.; Spielman, D.A. Exponential Algorithmic Speedup by a Quantum Walk. In Proceedings of the 35th Annual ACM Symposium on Theory of Computing, San Diego, CA, USA, 9–11 June 2003; pp. 59–68. [Google Scholar] [CrossRef]
- Watrous, J. Quantum Simulations of Classical Random Walks and Undirected Graph Connectivity. J. Comput. Syst. Sci. 2001, 62, 376–391. [Google Scholar] [CrossRef]
- Brun, T.A.; Carteret, H.A.; Ambainis, A. Quantum to Classical Transition for Random Walks. Phys. Rev. Lett. 2003, 91, 130602. [Google Scholar] [CrossRef]
- Brun, T.A.; Carteret, H.A.; Ambainis, A. Quantum walks driven by many coins. Phys. Rev. A 2003, 67, 052317. [Google Scholar] [CrossRef]
- Strauch, F.W. Connecting the discrete- and continuous-time quantum walks. Phys. Rev. A 2006, 74, 030301. [Google Scholar] [CrossRef]
- Perets, H.B.; Lahini, Y.; Pozzi, F.; Sorel, M.; Morandotti, R.; Silberberg, Y. Realization of Quantum Walks with Negligible Decoherence in Waveguide Lattices. Phys. Rev. Lett. 2008, 100, 170506. [Google Scholar] [CrossRef] [PubMed]
- Ryan, C.A.; Laforest, M.; Boileau, J.C.; Laflamme, R. Experimental implementation of a discrete-time quantum random walk on an NMR quantum-information processor. Phys. Rev. A 2005, 72, 062317. [Google Scholar] [CrossRef]
- Karski, M.; Förster, L.; Choi, J.M.; Steffen, A.; Alt, W.; Meschede, D.; Widera, A. Quantum Walk in Position Space with Single Optically Trapped Atoms. Science 2009, 325, 174–177. [Google Scholar] [CrossRef]
- Redner, S. A Guide to First-Passage Processes; Cambridge University Press: Cambridge, UK, 2007. [Google Scholar]
- Varbanov, M.; Krovi, H.; Brun, T.A. Hitting time for the continuous quantum walk. Phys. Rev. A 2008, 78, 022324. [Google Scholar] [CrossRef]
- Dhar, S.; Dasgupta, S.; Dhar, A.; Sen, D. Detection of a quantum particle on a lattice under repeated projective measurements. Phys. Rev. A 2015, 91, 062115. [Google Scholar] [CrossRef]
- Krovi, H.; Brun, T.A. Hitting time for quantum walks on the hypercube. Phys. Rev. A 2006, 73, 032341. [Google Scholar] [CrossRef]
- Krovi, H.; Brun, T.A. Quantum walks with infinite hitting times. Phys. Rev. A 2006, 74, 042334. [Google Scholar] [CrossRef]
- Friedman, H.; Kessler, D.A.; Barkai, E. Quantum walks: The first detected passage time problem. Phys. Rev. E 2017, 95, 032141. [Google Scholar] [CrossRef] [PubMed]
- Pal, A.; Reuveni, S. First Passage under Restart. Phys. Rev. Lett. 2017, 118, 030603. [Google Scholar] [CrossRef] [PubMed]
- Grünbaum, F.A.; Velázquez, L.; Werner, A. Recurrence for Discrete Time Unitary Evolutions. Commun. Math. Phys. 2013, 320, 513–569. [Google Scholar] [CrossRef]
- Yin, R.; Ziegler, K.; Thiel, F.; Barkai, E. Large fluctuations of the first detected quantum return time. Phys. Rev. Res. 2019, 1, 033086. [Google Scholar] [CrossRef]
- Liu, Q.; Yin, R.; Ziegler, K.; Barkai, E. Quantum walks: The mean first detected transition time. Phys. Rev. Res. 2020, 2, 033113. [Google Scholar] [CrossRef]
- Thiel, F.; Barkai, E.; Kessler, D.A. First Detected Arrival of a Quantum Walker on an Infinite Line. Phys. Rev. Lett. 2018, 120, 040502. [Google Scholar] [CrossRef] [PubMed]
- Liu, Q.; Ziegler, K.; Kessler, D.A.; Barkai, E. Driving quantum systems with periodic conditional measurements. Phys. Rev. Res. 2022, 4, 023129. [Google Scholar] [CrossRef]
- Bénichou, O.; Voituriez, R. From first-passage times of random walks in confinement to geometry-controlled kinetics. Phys. Rep. 2014, 539, 225–284. [Google Scholar] [CrossRef]
- Cohen-Tannoudji, C.; Diu, B.; Faloë, F. Quantum Mechanics; Wiley: New York, NY, USA, 1997. [Google Scholar]
- Arfken, G.B.; Weber, H.J.; Harris, F.E. Mathematical Methods for Physicists; Academic Press: New York, NY, USA, 2013. [Google Scholar]
- Zheng, Y.; Brown, F.L.H. Single-Molecule Photon Counting Statistics via Generalized Optical Bloch Equations. Phys. Rev. Lett. 2003, 90, 238305. [Google Scholar] [CrossRef]
- Brown, F.L.H. Generating Function Methods in Single-Molecule Spectroscopy. Acc. Chem. Res. 2006, 39, 363–373. [Google Scholar] [CrossRef]
- Feynman, R.P.; Leighton, R.B.; Sands, M. The Feynman Lectures on Physics; Basic Books: New York, NY, USA, 1965. [Google Scholar]
- Cardano, F.; Massa, F.; Qassim, H.; Karimi, E.; Slussarenko, S.; Paparo, D.; de Lisio, C.; Sciarrino, F.; Santamato, E.; Boyd, R.W.; et al. Quantum walks and wavepacket dynamics on a lattice with twisted photons. Sci. Adv. 2015, 1, e1500087. [Google Scholar] [CrossRef] [PubMed]
- Economou, E.N. Green’s Functions in Quantum Physics; Springer: Berlin, Germany, 2005. [Google Scholar]
- Elliott, T.J.; Vedral, V. Quantum quasi-Zeno dynamics: Transitions mediated by frequent projective measurements near the Zeno regime. Phys. Rev. A 2016, 94, 012118. [Google Scholar] [CrossRef]
- Thiel, F.; Kessler, D.A. Non-Hermitian and Zeno limit of quantum systems under rapid measurements. Phys. Rev. A 2020, 102, 012218. [Google Scholar] [CrossRef]
- Davies, P.C.W. Quantum tunneling time. Am. J. Phys. 2005, 73, 23–27. [Google Scholar] [CrossRef]
- Kaname, M.; Leo, M.; Osamu, O.; Etsuo, S. Resonant-tunneling in discrete-time quantum walk. Quantum Stud. Math. Found. 2019, 6, 35–44. [Google Scholar] [CrossRef]
- Koster, G.F.; Slater, J.C. Wave Functions for Impurity Levels. Phys. Rev. 1954, 95, 1167–1176. [Google Scholar] [CrossRef]
- Landauer, R. Barrier traversal time. Nature 1989, 341, 567–568. [Google Scholar] [CrossRef]
- Hauge, E.H.; Støvneng, J.A. Tunneling times: A critical review. Rev. Mod. Phys. 1989, 61, 917–936. [Google Scholar] [CrossRef]
- Wigner, E.P. Lower Limit for the Energy Derivative of the Scattering Phase Shift. Phys. Rev. 1955, 98, 145–147. [Google Scholar] [CrossRef]
- Bohm, D. Quantum Theory; Prentice-Hall: New York, NY, USA, 1951. [Google Scholar]
- Hauge, E.H.; Falck, J.P.; Fjeldly, T.A. Transmission and reflection times for scattering of wave packets off tunneling barriers. Phys. Rev. B 1987, 36, 4203–4214. [Google Scholar] [CrossRef]
- Smith, F.T. Lifetime Matrix in Collision Theory. Phys. Rev. 1960, 118, 349–356. [Google Scholar] [CrossRef]
- Büttiker, M. Larmor precession and the traversal time for tunneling. Phys. Rev. B 1983, 27, 6178–6188. [Google Scholar] [CrossRef]
- Baz’, A.I. Life Time of Intermediate States. Yad. Fiz. 1966, 5, 229. [Google Scholar]
- Schrödinger, E. Zur Theorie Der Fall-und Steigversuche an Teilchen Mit Brownscher Bewegung. Physik. Z. 1915, 16, 289. [Google Scholar]
- Mathematica; Wolfram Research, Inc.: Champaign, IL, USA, 2019.








Disclaimer/Publisher’s Note: The statements, opinions and data contained in all publications are solely those of the individual author(s) and contributor(s) and not of MDPI and/or the editor(s). MDPI and/or the editor(s) disclaim responsibility for any injury to people or property resulting from any ideas, methods, instructions or products referred to in the content. |
© 2023 by the authors. Licensee MDPI, Basel, Switzerland. This article is an open access article distributed under the terms and conditions of the Creative Commons Attribution (CC BY) license (https://creativecommons.org/licenses/by/4.0/).
Share and Cite
Ni, Z.; Zheng, Y. First Detection and Tunneling Time of a Quantum Walk. Entropy 2023, 25, 1231. https://doi.org/10.3390/e25081231
Ni Z, Zheng Y. First Detection and Tunneling Time of a Quantum Walk. Entropy. 2023; 25(8):1231. https://doi.org/10.3390/e25081231
Chicago/Turabian StyleNi, Zhenbo, and Yujun Zheng. 2023. "First Detection and Tunneling Time of a Quantum Walk" Entropy 25, no. 8: 1231. https://doi.org/10.3390/e25081231
APA StyleNi, Z., & Zheng, Y. (2023). First Detection and Tunneling Time of a Quantum Walk. Entropy, 25(8), 1231. https://doi.org/10.3390/e25081231
