TMD Design by an Entropy Index for Seismic Control of Tall Shear-Bending Buildings
Abstract
1. Introduction
2. Methods
2.1. Shear-Bending Lumped Mass Model
2.2. HSV-Based Entropy Index
2.2.1. The Entropy Based on Hankel Singular Values (HSVs)
2.2.2. Vibration Reduction Evaluation of TMDs
3. Building Information
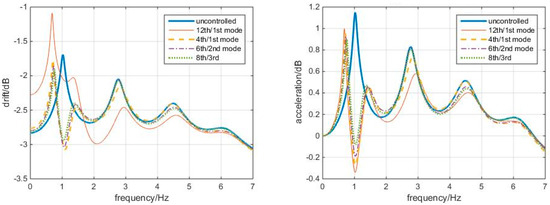
4. HSV Indices of the Structure with and without TMD
4.1. Entropy Index Ratios
- (1)
- Transfer Equation (10) into a modal form, and then calculate grammians and .
- (2)
- Calculate by Equation (13), and then the index of the uncontrolled building (without TMD) by Equation (18), including inter-story drifts and acceleration .
- (3)
- Calculate of the controlled building with TMD tuning to the first three modes and placing on stories 4–12 in turn, to get a 3 × 12 matrix, as the flow chart is shown in Figure 4.
- (4)
- (5)
- Figure out the TMD location case with maximum index reduction for each tuning.
4.2. Validation by Responses to White Noise Excitation
4.3. Comparison with the Shear Structure Model
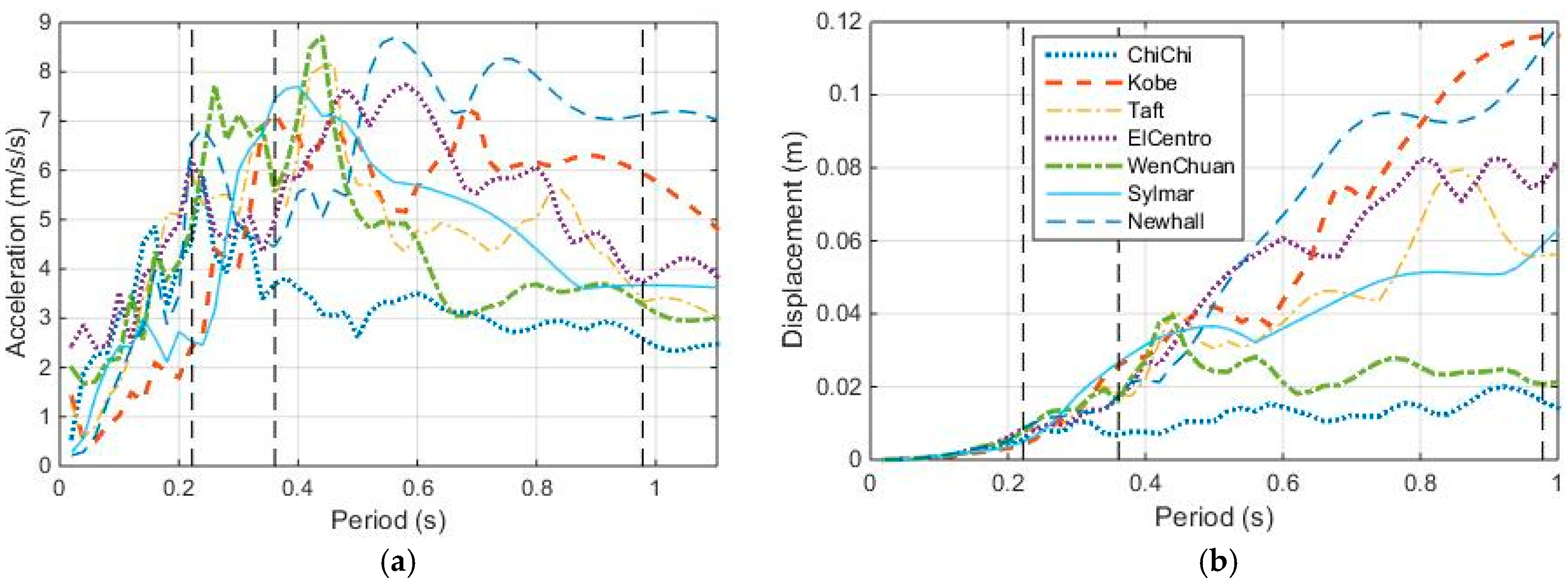
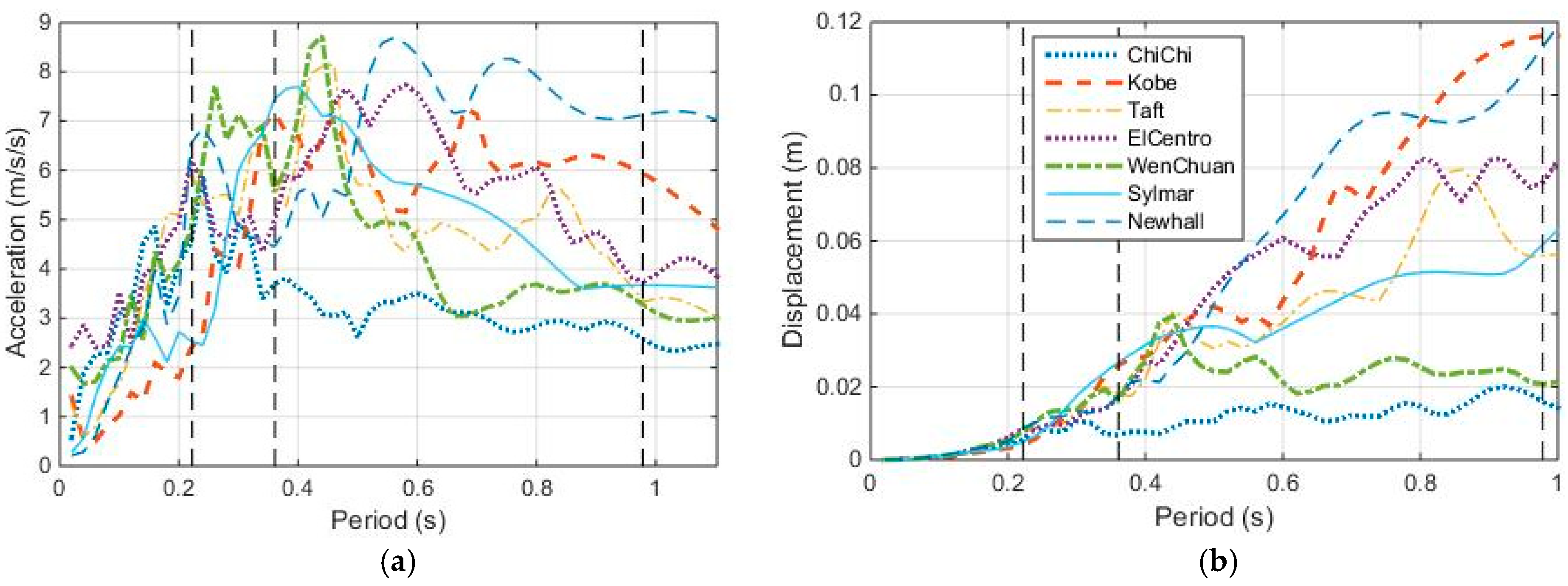
5. Earthquake Responses of TMD Controlled Shear-Bending Structure
6. Conclusions
Author Contributions
Funding
Institutional Review Board Statement
Data Availability Statement
Acknowledgments
Conflicts of Interest
References
- Elias, S.; Matsagar, V. Seismic response control of steel benchmark building with a tuned mass damper. Asian J. Civ. Eng. 2020, 21, 267–280. [Google Scholar] [CrossRef]
- Wu, J.N. Seismic Performance, Design and Placement of Multiple Tuned Mass Dampers in Building Applications. Ph.D. Thesis, University of Missouri, Columbia, MO, USA, 2000. [Google Scholar]
- Daniel, Y.; Lavan, O. Allocation and sizing of multiple tuned mass dampers for seismic control of irregular structures. In Seismic Behaviour and Design of Irregular and Complex Civil Structures; Springer: Berlin/Heidelberg, Germany, 2013; pp. 323–338. [Google Scholar]
- Rahmani, H.R.; Könke, C.; Bojórquez, E. Seismic control of tall buildings using distributed multiple tuned mass dampers. Adv. Civ. Eng. 2019, 2019, 6480384. [Google Scholar] [CrossRef]
- Suresh, L.; Mini, K.M. Effect of Multiple tuned mass dampers for vibration control in high-rise buildings. Pract. Period. Struct. Des. Constr. 2019, 24, 04019031. [Google Scholar] [CrossRef]
- Chey, M.H.; Kim, S.I.; Mun, H.J. Structural control strategy of using optimum tuned mass damper system for reinforced concrete framed structure. J. Eng. Appl. Sci. 2017, 12, 7038–7045. [Google Scholar]
- Sun, G.-J.; Li, A.-Q. Analysis of mode participation factor and modal contribution of structures. J. Disaster Prev. Mitig. Eng. 2009, 29, 485–490. (In Chinese) [Google Scholar]
- Kaneko, K. Optimal design method of tuned mass damper effective in reducing overall bending vibration in steel buildings with inter story dampers. J. Struct. Constr. Eng. (Trans. AIJ) 2017, 82, 1003–1012. [Google Scholar] [CrossRef][Green Version]
- Ping, X.; Akira, N. Optimum design of tuned mass damper story system integrated into bending-shear type building based on H∞, H2, and stability maximum criteria. Struct. Control. Health Monit. 2015, 22, 918–938. [Google Scholar]
- Wada, A.; Iwata, M.; Shimizu, K.; Abe, S.; Kawai, H. Damage Control-Based Design of Buildings, 1st ed.; China Construction Industry Press: Beijing, China, 2014; pp. 93–122. [Google Scholar]
- Pei, X.-Z.; Zhang, Y.-X. Accuracy research on structural bending model of frame-shear wall structure. Earthq. Resist. Eng. Retrofit. 2013, 35, 1–8. (In Chinese) [Google Scholar]
- Kang, S.; Shin, S. Determination of optimal accelerometer locations for bridges using frequency-domain Hankel matrix. J. Korea Inst. Struct. Maint. Insp. 2016, 20, 27–34. [Google Scholar]
- Bigoni, C.; Zhang, Z.-Y.; Hesthaven, J.S. Systematic sensor placement for structural anomaly detection in the absence of damaged states. Comput. Methods Appl. Mech. Eng. 2020, 371, 113315. [Google Scholar] [CrossRef]
- Fu, J.; Zhang, H.; Sun, Y. Model reduction by minimizing information loss based on cross-Grammian matrix. J. Zhejiang Univ. (Eng. Sci.) 2009, 43, 817–826. (In Chinese) [Google Scholar]
- Fu, J.; Zhong, C.; Ding, Y. Approach to model reduction based on Hilbert-Schmidt norm and cross-Gramian. Inf. Control. 2010, 39, 402–407. (In Chinese) [Google Scholar]
- Gawronski, W.K. Dynamics and Control of Structures: A Modal Approach; Springer: New York, NY, USA, 1998. [Google Scholar]
- Fernando, K.V.; Nich, O.H. On the structure of balanced and other principal representations of SISO systems. IEEE Trans. Autom. Control 1983, 28, 228–231. [Google Scholar] [CrossRef]
















| Stories | 1 | 2 | 3 | 4 | 5 | 6 | 7 | 8 | 9 | 10 | 11 | 12 |
|---|---|---|---|---|---|---|---|---|---|---|---|---|
| frame k0 (108) | 14.3 | 17.2 | 16.9 | 16.1 | 14.9 | 14.1 | 13.7 | 12.6 | 11.3 | 9.85 | 8.15 | 5.20 |
| wall ks (108) | 65.3 | 35.5 | 23.5 | 17.3 | 13.5 | 10.8 | 8.65 | 6.89 | 5.34 | 3.90 | 2.51 | 1.14 |
| wall kb (108) | 5260 | 2250 | 1420 | 967 | 701 | 500 | 353 | 241 | 155 | 90.6 | 43.8 | 13.7 |
| ϕ (N.m2,deduced) | 46.7 | 57.7 | 55.0 | 50.8 | 47.1 | 41.9 | 36.8 | 31.4 | 25.9 | 20.5 | 15.2 | 1.78 |
| ChiChi | Kobe | Taft | ElCentro | WenChuan | Sylmar | Newhall | Effective No. | |
|---|---|---|---|---|---|---|---|---|
| 12th/1st mode | 0.6645 | 0.8769 | 0.9950 | 0.9815 | 0.9605 | 1.5264 | 0.9392 | 6 |
| 4th/1st mode | 0.7316 | 0.9413 | 0.9686 | 1.1364 | 0.8817 | 1.0769 | 1.0461 | 4 |
| 6th/2nd mode | 1.0118 | 1.1155 | 1.0090 | 1.2117 | 0.9698 | 1.1998 | 1.2233 | 1 |
| 8th/3rd mode | 0.9830 | 0.9506 | 0.9972 | 1.2009 | 1.1845 | 1.3705 | 1.2800 | 3 |
| ChiChi | Kobe | Taft | ElCentro | WenChuan | Sylmar | Newhall | |
|---|---|---|---|---|---|---|---|
| 12th/1st mode | 0.9634 | 0.6987 | 0.6279 | 0.6182 | 0.7860 | 0.7610 | 0.5077 |
| 4th/1st mode | 0.9542 | 0.7499 | 0.8208 | 0.9863 | 0.8302 | 0.8628 | 0.8835 |
| 6th/2nd mode | 0.7559 | 0.9880 | 0.6631 | 0.8371 | 0.7158 | 0.7703 | 0.9781 |
| 8th/3rd mode | 0.6275 | 0.6341 | 0.7082 | 0.8230 | 0.9749 | 0.9061 | 1.0288 |
Disclaimer/Publisher’s Note: The statements, opinions and data contained in all publications are solely those of the individual author(s) and contributor(s) and not of MDPI and/or the editor(s). MDPI and/or the editor(s) disclaim responsibility for any injury to people or property resulting from any ideas, methods, instructions or products referred to in the content. |
© 2023 by the authors. Licensee MDPI, Basel, Switzerland. This article is an open access article distributed under the terms and conditions of the Creative Commons Attribution (CC BY) license (https://creativecommons.org/licenses/by/4.0/).
Share and Cite
Wang, Y.; Qu, Z. TMD Design by an Entropy Index for Seismic Control of Tall Shear-Bending Buildings. Entropy 2023, 25, 1110. https://doi.org/10.3390/e25081110
Wang Y, Qu Z. TMD Design by an Entropy Index for Seismic Control of Tall Shear-Bending Buildings. Entropy. 2023; 25(8):1110. https://doi.org/10.3390/e25081110
Chicago/Turabian StyleWang, Yumei, and Zhe Qu. 2023. "TMD Design by an Entropy Index for Seismic Control of Tall Shear-Bending Buildings" Entropy 25, no. 8: 1110. https://doi.org/10.3390/e25081110
APA StyleWang, Y., & Qu, Z. (2023). TMD Design by an Entropy Index for Seismic Control of Tall Shear-Bending Buildings. Entropy, 25(8), 1110. https://doi.org/10.3390/e25081110

