Quantum Simulation of the Shortcut to the Adiabatic Passage Using Nuclear Magnetic Resonance
Abstract
1. Introduction
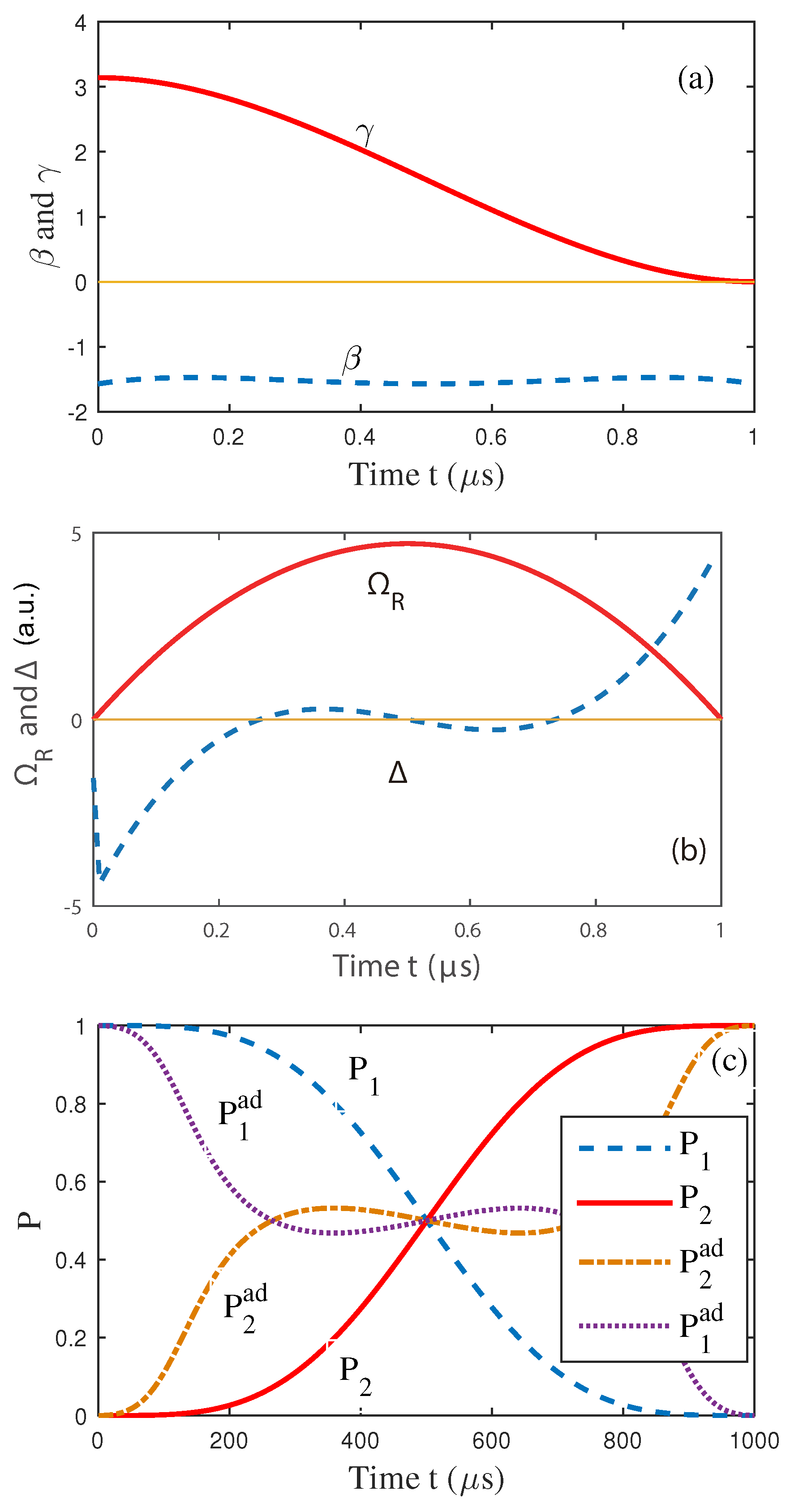
2. Basic Model of Quantum Shortcut Adiabatic Passage
3. The Quantum Simulation of Shortcut to the Adiabatic Passage Using Nuclear Magnetic Resonance
4. Summary
Author Contributions
Funding
Institutional Review Board Statement
Informed Consent Statement
Data Availability Statement
Conflicts of Interest
References
- Chen, X.; Ruschhaupt, A.; Schmidt, S.; del Campo, A.; Guery-Odelin, D.; Muga, J.G. Fast Optimal Frictionless Atom Cooling in Harmonic Traps: Shortcut to Adiabaticity. Phys. Rev. Lett. 2010, 104, 063002. [Google Scholar] [CrossRef] [PubMed]
- Lewis, H.R.; Riesenfeld, W.B. An exact quantum theory of the time-dependent harmonic oscillator and of a charged particle in a time-dependent electromagnetic field. J. Math. Phys. 1969, 10, 1458. [Google Scholar] [CrossRef]
- Campo, A. Shortcuts of Adiabaticity by counterdiabatic driving. Phys. Rev. Lett. 2013, 111, 100502. [Google Scholar] [CrossRef] [PubMed]
- Julia-Diaz, B.; Torrontegui, E.; Martorell, J.; Muga, J.G.; Polls, A. Fast generation of spin-squeezed states in bosonic Josephson junctions. Phys. Rev. A 2012, 86, 063623. [Google Scholar] [CrossRef]
- Ruschhaupt, A.; Chen, X.; Alonso, D.; Muga, J.G. Optimally robust shortcuts to population inversion in two-level quantum systems. New J. Phys. 2012, 14, 093040. [Google Scholar] [CrossRef]
- Berry, M.V. Transitionless quantum driving. J. Phys. A Math. Theory 2009, 42, 365303. [Google Scholar] [CrossRef]
- Masuda, S.; Nakamura, K. Fast-forward of adiabatic dynamics in quantum mechanics. Proc. R. Soc. A 2010, 466, 1135–1154. [Google Scholar] [CrossRef]
- Torrontegui, E.; Martinez-Garaot, S.; Modugno, M.; Chen, X.; Muga, J.G. Engineering fast and stable splitting of matter waves. Phys. Rev. A 2013, 7, 033630. [Google Scholar] [CrossRef]
- Ban, Y.; Chen, X.; Sherman, Y.; Muga, Y.G. Fast and robust spin manipulation in a quantum dot by electric fields. Phys. Rev. Lett. 2012, 109, 206602. [Google Scholar] [CrossRef]
- Chuang, I.L.; Vandersypen, L.M.; Zhou, X.; Leung, D.W.; Lloyd, S. Experimental realization of a quantum algorithm. Nature 1998, 393, 143–146. [Google Scholar] [CrossRef]
- Jones, J.A.; Mosca, M.; Hansen, R.H. Implementation of a quantum search algorithm on a quantum computer. Nature 1998, 393, 344–346. [Google Scholar] [CrossRef]
- Feng, G.; Xu, G.; Long, G. Experimental realization of nonadiabatic holonomic quantum computation. Phys. Rev. Lett. 2015, 110, 190501. [Google Scholar] [CrossRef]
- Pan, J.; Cao, Y.; Yao, X.; Li, Z.; Ju, C.; Chen, H.; Peng, X.; Kais, S.; Du, J. Experimental realization of quantum algorithm for solving linear systems of equations. Phys. Rev. 2014, 89, 022313. [Google Scholar] [CrossRef]
- Xin, T.; Huang, S.; Lu, S.; Li, K.; Luo, Z.; Yin, Z.; Li, J.; Lu, D.; Long, G.; Zeng, B. Nmrcloudq: A quantum cloud experience on a nuclear magnetic resonance quantum computer. Sci. Bull. 2018, 63, 17–23. [Google Scholar] [CrossRef]
- Zhang, J.; Souza, A.M.; Brandao, F.D.; Suter, D. Protected quantum computing: Interleaving gate operations with dynamical decoupling sequences. Phys. Rev. Lett. 2014, 112, 050502. [Google Scholar] [CrossRef]
- Vandersypen, L.M.; Chuang, I.L. NMR techniques for quantum control and computation. Rev. Mod. Phys. 2005, 76, 1037. [Google Scholar] [CrossRef]
- Jin, F.; Chen, H.; Rong, X.; Zhou, H.; Shi, M.; Zhang, Q.; Ju, C.; Cai, Y.; Luo, S.; Peng, X.; et al. Experimental simulation of the unruh effect on an NMR quantum simulator. Sci. China Phys. Mech. Astron. 2016, 59, 630302. [Google Scholar] [CrossRef]
- Li, H.; Gao, X.; Xin, T.; Yung, M.-H.; Long, G. Experimental study of Forrelation in nuclear spins. Sci. Bull. 2017, 62, 497–502. [Google Scholar] [CrossRef]
- Wen, J.; Qiu, X.; Kong, X.; Chen, X.; Yang, F.; Long, G. One-step method for preparing the experimental pure state in nuclear magnetic resonance. Sci. China Phys. Mech. Astron. 2020, 63, 230321. [Google Scholar] [CrossRef]
- Long, G.; Feng, G.; Sprenger, P. Overcoming synthesizer phase noise in quantum sensing. Quantum Eng. 2019, 1, e27. [Google Scholar] [CrossRef]
- Liang, Q.; Chen, T.; Bu, W.H.; Zhang, Y.H.; Yan, B. Laser cooling with adiabatic passage for type-II transitions. Front. Phys. 2021, 16, 32501. [Google Scholar] [CrossRef]
- Zheng, W.; Zhang, Y.; Dong, Y.; Xu, J.; Wang, Z.; Wang, X.; Li, Y.; Lan, D.; Zhao, J.; Li, S.; et al. Optimal control of stimulated Raman adiabatic passage in a superconducting qudit. NPJ Quantum Inf. 2022, 8, 9. [Google Scholar] [CrossRef]
- Li, D.; Zheng, W.; Chu, J.; Yang, X.; Song, S.; Han, Z.; Dong, Y.; Wang, Z.; Yu, X.; Lan, D.; et al. Coherent state transfer between superconducting qubits via stimulated Raman adiabatic passage. Appl. Phys. Lett. 2021, 118, 104003. [Google Scholar] [CrossRef]
- Chen, X.; Torrontegui, E.; Muga, J.G. Lewis-Riesenfeld invariants and transitionless quantum driving. Phys. Rev. A 2011, 83, 062116. [Google Scholar] [CrossRef]




Disclaimer/Publisher’s Note: The statements, opinions and data contained in all publications are solely those of the individual author(s) and contributor(s) and not of MDPI and/or the editor(s). MDPI and/or the editor(s) disclaim responsibility for any injury to people or property resulting from any ideas, methods, instructions or products referred to in the content. |
© 2023 by the authors. Licensee MDPI, Basel, Switzerland. This article is an open access article distributed under the terms and conditions of the Creative Commons Attribution (CC BY) license (https://creativecommons.org/licenses/by/4.0/).
Share and Cite
Liu, X.-C.; Kong, X.-Y. Quantum Simulation of the Shortcut to the Adiabatic Passage Using Nuclear Magnetic Resonance. Entropy 2023, 25, 1020. https://doi.org/10.3390/e25071020
Liu X-C, Kong X-Y. Quantum Simulation of the Shortcut to the Adiabatic Passage Using Nuclear Magnetic Resonance. Entropy. 2023; 25(7):1020. https://doi.org/10.3390/e25071020
Chicago/Turabian StyleLiu, Xin-Chang, and Xiang-Yu Kong. 2023. "Quantum Simulation of the Shortcut to the Adiabatic Passage Using Nuclear Magnetic Resonance" Entropy 25, no. 7: 1020. https://doi.org/10.3390/e25071020
APA StyleLiu, X.-C., & Kong, X.-Y. (2023). Quantum Simulation of the Shortcut to the Adiabatic Passage Using Nuclear Magnetic Resonance. Entropy, 25(7), 1020. https://doi.org/10.3390/e25071020
