Exploring the Role of Indirect Coupling in Complex Networks: The Emergence of Chaos and Entropy in Fractional Discrete Nodes
Abstract
1. Introduction
2. Preliminaries
3. Fractional Order Network with Indirect Coupling
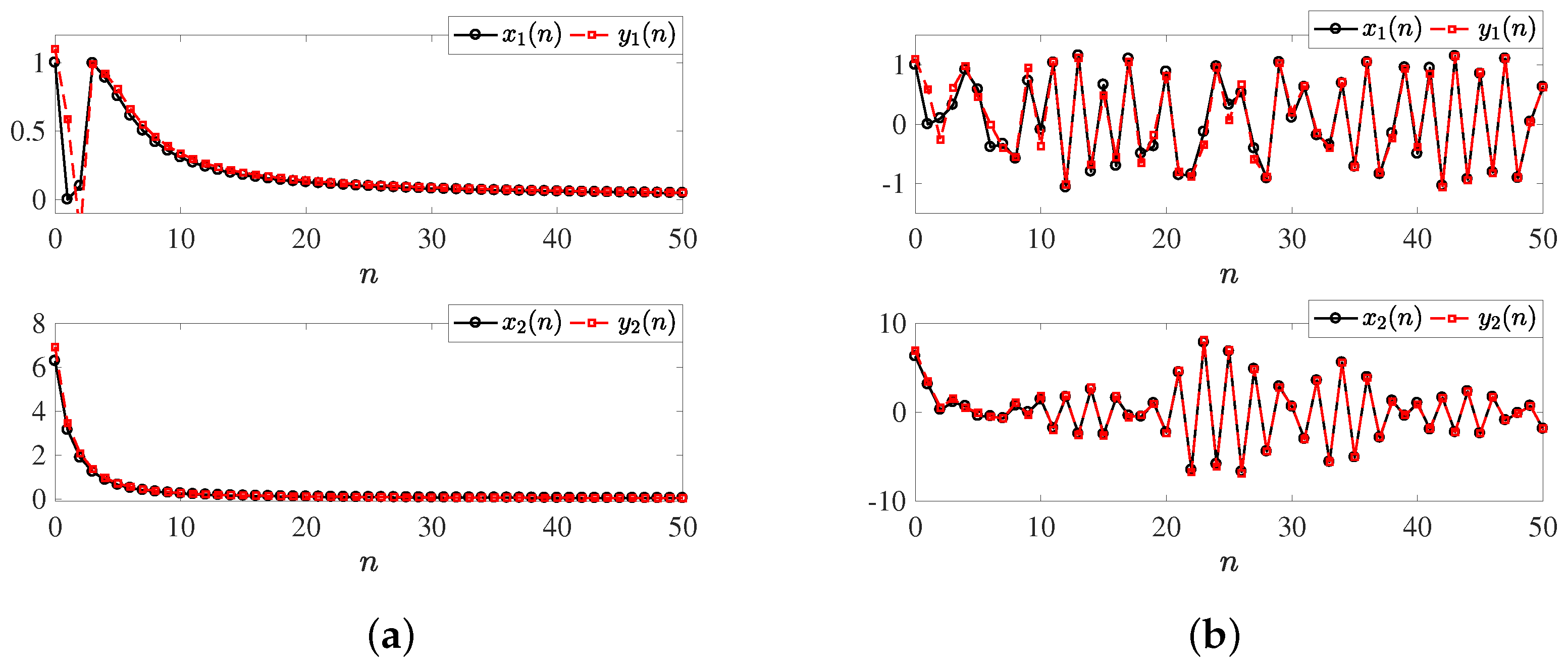
4. Dynamic Analysis of the Fractional Order Network with Indirect Coupling
Bifurcation Diagrams and Maximal Lyapunov Exponent
5. Complexity Analysis via Spectral Entropy
6. FPGA Implementation of Complex Network with Two Fractional Order Chaotic Nodes
7. Conclusions
Author Contributions
Funding
Institutional Review Board Statement
Acknowledgments
Conflicts of Interest
References
- Agieva, M.; Korolev, A.; Ougolnitsky, G. Modeling and simulation of impact and control in social networks with application to marketing. Mathematics 2020, 8, 1529. [Google Scholar] [CrossRef]
- Zareie, A.; Sakellariou, R. Centrality measures in fuzzy social networks. Inf. Syst. 2023, 114, 102179. [Google Scholar] [CrossRef]
- Guze, S. Graph theory approach to the vulnerability of transportation networks. Algorithms 2019, 12, 270. [Google Scholar] [CrossRef]
- Müller, F. Link and edge weight prediction in air transport networks—An RNN approach. Phys. A Stat. Mech. Its Appl. 2023, 613, 128490. [Google Scholar] [CrossRef]
- Zambrano-Serrano, E.; Munoz-Pacheco, J.M.; Anzo-Hernández, A.; Félix-Beltrán, O.G.; Guevara-Flores, D.K. Synchronization of a cluster of β-cells based on a small-world network and its electronic experimental verification. Eur. Phys. J. Spec. Top. 2022, 231, 1035–1047. [Google Scholar] [CrossRef]
- Cha, J.; Lee, I. Single-cell network biology for resolving cellular heterogeneity in human diseases. Exp. Mol. Med. 2020, 52, 1798–1808. [Google Scholar] [CrossRef]
- Milić, M.; Milojković, J.; Jeremić, M. Optimal Neural Network Model for Short-Term Prediction of Confirmed Cases in the COVID-19 Pandemic. Mathematics 2022, 10, 3804. [Google Scholar] [CrossRef]
- Arellano-Delgado, A.; López-Gutiérrez, R.; Méndez-Ramírez, R.; Cardoza-Avendaño, L.; Cruz-Hernández, C. Dynamic coupling in small-world outer synchronization of chaotic networks. Phys. D Nonlinear Phenom. 2021, 423, 132928. [Google Scholar] [CrossRef]
- Ramirez, J.P.; Arellano-Delgado, A.; Nijmeijer, H. Enhancing master-slave synchronization: The effect of using a dynamic coupling. Phys. Rev. E 2018, 98, 012208. [Google Scholar] [CrossRef]
- de Jonge, W.; Ramirez, J.P.; Nijmeijer, H. Dynamic coupling enhances network synchronization. IFAC-PapersOnLine 2019, 52, 610–615. [Google Scholar] [CrossRef]
- Leonel Rocha, J.; Carvalho, S. Complete dynamical networks: Synchronization, information transmission and topological order. Discontinuity Nonlinearity Complex. 2023, 12, 99–109. [Google Scholar] [CrossRef]
- Rocha, J.L.; Carvalho, S. Information theory, synchronization and topological order in complete dynamical networks of discontinuous maps. Math. Comput. Simul. 2021, 182, 340–352. [Google Scholar] [CrossRef]
- Caneco, A.; Rocha, J.L.; Grácio, C. Topological entropy in the synchronization of piecewise linear and monotone maps: Coupled duffing oscillators. Int. J. Bifurc. Chaos 2009, 19, 3855–3868. [Google Scholar] [CrossRef]
- Zambrano-Serrano, E.; Anzo-Hernández, A. A novel antimonotic hyperjerk system: Analysis, synchronization and circuit design. Phys. D Nonlinear Phenom. 2021, 424, 132927. [Google Scholar] [CrossRef]
- Buscarino, A.; Fortuna, L.; Patanè, L. Master-slave synchronization of hyperchaotic systems through a linear dynamic coupling. Phys. Rev. E 2019, 100, 032215. [Google Scholar] [CrossRef]
- Arellano-Delgado, A.; Méndez-Ramírez, R.D.; López-Gutiérrez, R.M.; Murillo-Escobar, M.A.; Cruz-Hernández, C. Enhancing the emergence of hyperchaos using an indirect coupling and its verification based on digital implementation. Nonlinear Dyn. 2023, 111, 9591–9605. [Google Scholar] [CrossRef]
- Zambrano-Serrano, E.; Posadas-Castillo, C.; Platas-Garza, M. Coexistence of Chaotic Attractors in a Four-Dimensional Memristor-Based Chaotic Nonlocal System: Analysis and FPGA Implementation. In Applications of Fractional Calculus to Modeling in Dynamics and Chaos; Chapman and Hall: Boca Raton, FL, USA; CRC: Boca Raton, FL, USA, 2022; pp. 217–246. [Google Scholar]
- Yao, X.; Liu, Y.; Zhang, Z.; Wan, W. Synchronization rather than finite-time synchronization results of fractional-order multi-weighted complex networks. IEEE Trans. Neural Netw. Learn. Syst. 2021, 33, 7052–7063. [Google Scholar] [CrossRef] [PubMed]
- Clemente-López, D.; Munoz-Pacheco, J.M.; Rangel-Magdaleno, J.D.J. A Review of the Digital Implementation of Continuous-Time Fractional-Order Chaotic Systems Using FPGAs and Embedded Hardware. Arch. Comput. Methods Eng. 2023, 30, 951–983. [Google Scholar] [CrossRef]
- Zambrano-Serrano, E.; Munoz-Pacheco, J.M.; Serrano, F.E.; Sánchez-Gaspariano, L.A.; Volos, C. Experimental verification of the multi-scroll chaotic attractors synchronization in PWL arbitrary-order systems using direct coupling and passivity-based control. Integration 2021, 81, 56–70. [Google Scholar] [CrossRef]
- Singh, P.P.; Borah, M.; Datta, A.; Jafari, S.; Roy, B.K. Integer cum fractional ordered active-adaptive synchronization to control vasospasm in chaotic blood vessels to reduce risk of COVID-19 infections. Int. J. Comput. Math. 2023, 100, 1–15. [Google Scholar] [CrossRef]
- Yan, B.; Parastesh, F.; He, S.; Rajagopal, K.; Jafari, S.; Perc, M. Interlayer and intralayer synchronization in multiplex fractional-order neuronal networks. Fractals 2022, 30, 2240194-592. [Google Scholar] [CrossRef]
- Echenausía-Monroy, J.L.; Rodríguez-Martíne, C.; Ontañón-García, L.; Alvarez, J.; Pena Ramirez, J. Synchronization in dynamically coupled fractional-order chaotic systems: Studying the effects of fractional derivatives. Complexity 2021, 2021, 7242253. [Google Scholar] [CrossRef]
- García-Grimaldo, C.; Bermudez-Marquez, C.F.; Tlelo-Cuautle, E.; Campos-Cantón, E. FPGA Implementation of a Chaotic Map with No Fixed Point. Electronics 2023, 12, 444. [Google Scholar] [CrossRef]
- Cassal-Quiroga, B.; Gilardi-Velázquez, H.; Campos-Cantón, E. Multistability Analysis of a Piecewise Map via Bifurcations. Int. J. Bifurc. Chaos 2022, 32, 2250241. [Google Scholar] [CrossRef]
- Arellano-Delgado, A.; López-Gutiérrez, R.M.; Murillo-Escobar, M.A.; Cardoza-Avendaño, L.; Cruz-Hernández, C. The emergence of hyperchaos and synchronization in networks with discrete periodic oscillators. Entropy 2017, 19, 413. [Google Scholar] [CrossRef]
- Miller, K.S.; Ross, B. Fractional difference calculus. In Proceedings of the International Symposium on Univalent Functions, Fractional Calculus and Their Applications, Nihon University, Koriyama, Japan, May 1988; pp. 139–152. [Google Scholar]
- Trujillo, J.J.; Ungureanu, V.M. Optimal control of discrete-time linear fractional-order systems with multiplicative noise. Int. J. Control 2018, 91, 57–69. [Google Scholar] [CrossRef]
- Djennoune, S.; Bettayeb, M.; Al-Saggaf, U.M. Synchronization of fractional-order discrete-time chaotic systems by an exact delayed state reconstructor: Application to secure communication. Int. J. Appl. Math. Comput. Sci. 2019, 29, 179–194. [Google Scholar] [CrossRef]
- Andrei, L.; Caus, V.A. A Generalized Class of Functions Defined by the q-Difference Operator. Symmetry 2021, 13, 2361. [Google Scholar] [CrossRef]
- Saadeh, R.; Abbes, A.; Al-Husban, A.; Ouannas, A.; Grassi, G. The Fractional Discrete Predator–Prey Model: Chaos, Control and Synchronization. Fractal Fract. 2023, 7, 120. [Google Scholar] [CrossRef]
- Al-Shbeil, I.; Djenina, N.; Jaradat, A.; Al-Husban, A.; Ouannas, A.; Grassi, G. A New COVID-19 Pandemic Model Including the Compartment of Vaccinated Individuals: Global Stability of the Disease-Free Fixed Point. Mathematics 2023, 11, 576. [Google Scholar] [CrossRef]
- Ma, W.; Li, Z.; Ma, N. Synchronization of discrete fractional-order complex networks with and without unknown topology. Chaos Interdiscip. J. Nonlinear Sci. 2022, 32, 013112. [Google Scholar] [CrossRef]
- Zambrano-Serrano, E.; Bekiros, S.; Platas-Garza, M.A.; Posadas-Castillo, C.; Agarwal, P.; Jahanshahi, H.; Aly, A.A. On chaos and projective synchronization of a fractional difference map with no equilibria using a fuzzy-based state feedback control. Phys. A Stat. Mech. Its Appl. 2021, 578, 126100. [Google Scholar] [CrossRef]
- Atici, F.; Eloe, P. Initial value problems in discrete fractional calculus. Proc. Am. Math. Soc. 2009, 137, 981–989. [Google Scholar] [CrossRef]
- Abdeljawad, T. On Riemann and Caputo fractional differences. Comput. Math. Appl. 2011, 62, 1602–1611. [Google Scholar] [CrossRef]
- Fulai, C.; Xiannan, L.; Yong, Z. Existence Results for Nonlinear Fractional Difference Equation. J. Adv. Differ. Equ. 2011, 2011, 713201. [Google Scholar]
- Wiggins, S.; Wiggins, S.; Golubitsky, M. Introduction to Applied Nonlinear Dynamical Systems and Chaos; Springer: Berlin/Heidelberg, Germany, 2003; Volume 2. [Google Scholar]
- Drzewiecki, G. Fundamentals of Chaos and Fractals for Cardiology; Springer: Berlin/Heidelberg, Germany, 2021. [Google Scholar]
- Wu, G.C.; Baleanu, D. Jacobian matrix algorithm for Lyapunov exponents of the discrete fractional maps. Commun. Nonlinear Sci. Numer. Simul. 2015, 22, 95–100. [Google Scholar] [CrossRef]
- Danca, M.F. Fractional order logistic map: Numerical approach. Chaos Solitons Fractals 2022, 157, 111851. [Google Scholar] [CrossRef]
- Abbes, A.; Ouannas, A.; Shawagfeh, N.; Jahanshahi, H. The fractional-order discrete COVID-19 pandemic model: Stability and chaos. Nonlinear Dyn. 2023, 111, 965–983. [Google Scholar] [CrossRef]
- Pikovsky, A.; Politi, A. Lyapunov Exponents: A Tool to Explore Complex Dynamics; Cambridge University Press: Cambridge, UK, 2016. [Google Scholar]
- Li, H.; Shen, Y.; Han, Y.; Dong, J.; Li, J. Determining Lyapunov exponents of fractional-order systems: A general method based on memory principle. Chaos Solitons Fractals 2023, 168, 113167. [Google Scholar] [CrossRef]
- Oeri, H.; Goluskin, D. Convex computation of maximal Lyapunov exponents. arXiv 2022, arXiv:2212.07565. [Google Scholar]
- Xiong, P.Y.; Jahanshahi, H.; Alcaraz, R.; Chu, Y.M.; Gómez-Aguilar, J.; Alsaadi, F.E. Spectral entropy analysis and synchronization of a multi-stable fractional-order chaotic system using a novel neural network-based chattering-free sliding mode technique. Chaos Solitons Fractals 2021, 144, 110576. [Google Scholar] [CrossRef]
- Asgharzadeh-Bonab, A.; Amirani, M.C.; Mehri, A. Spectral entropy and deep convolutional neural network for ECG beat classification. Biocybern. Biomed. Eng. 2020, 40, 691–700. [Google Scholar] [CrossRef]
- Su, H.; Chen, D.; Pan, G.J.; Zeng, Z. Identification of network topology variations based on spectral entropy. IEEE Trans. Cybern. 2021, 52, 10468–10478. [Google Scholar] [CrossRef] [PubMed]









| Device Resources | Total | Used | Percent (%) |
|---|---|---|---|
| Total Slices | 13,300 | 10,588 | 79.6 |
| Slice Registers | 106,400 | 26,778 | 25.2 |
| Slices LUTs | 53,200 | 34,283 | 64.4 |
| Block RAMs | 140 | 7 | 5 |
| DSP48s | 220 | 22 | 10 |
Disclaimer/Publisher’s Note: The statements, opinions and data contained in all publications are solely those of the individual author(s) and contributor(s) and not of MDPI and/or the editor(s). MDPI and/or the editor(s) disclaim responsibility for any injury to people or property resulting from any ideas, methods, instructions or products referred to in the content. |
© 2023 by the authors. Licensee MDPI, Basel, Switzerland. This article is an open access article distributed under the terms and conditions of the Creative Commons Attribution (CC BY) license (https://creativecommons.org/licenses/by/4.0/).
Share and Cite
Zambrano-Serrano, E.; Platas-Garza, M.A.; Posadas-Castillo, C.; Arellano-Delgado, A.; Cruz-Hernández, C. Exploring the Role of Indirect Coupling in Complex Networks: The Emergence of Chaos and Entropy in Fractional Discrete Nodes. Entropy 2023, 25, 866. https://doi.org/10.3390/e25060866
Zambrano-Serrano E, Platas-Garza MA, Posadas-Castillo C, Arellano-Delgado A, Cruz-Hernández C. Exploring the Role of Indirect Coupling in Complex Networks: The Emergence of Chaos and Entropy in Fractional Discrete Nodes. Entropy. 2023; 25(6):866. https://doi.org/10.3390/e25060866
Chicago/Turabian StyleZambrano-Serrano, Ernesto, Miguel Angel Platas-Garza, Cornelio Posadas-Castillo, Adrian Arellano-Delgado, and César Cruz-Hernández. 2023. "Exploring the Role of Indirect Coupling in Complex Networks: The Emergence of Chaos and Entropy in Fractional Discrete Nodes" Entropy 25, no. 6: 866. https://doi.org/10.3390/e25060866
APA StyleZambrano-Serrano, E., Platas-Garza, M. A., Posadas-Castillo, C., Arellano-Delgado, A., & Cruz-Hernández, C. (2023). Exploring the Role of Indirect Coupling in Complex Networks: The Emergence of Chaos and Entropy in Fractional Discrete Nodes. Entropy, 25(6), 866. https://doi.org/10.3390/e25060866

