Abstract
A super-diffusive Vicsek model is introduced in this paper that incorporates Levy flights with exponent . The inclusion of this feature leads to an increase in the fluctuations of the order parameter, ultimately resulting in the disorder phase becoming more dominant as increases. The study finds that for values close to two, the order–disorder transition is of the first order, while for small enough values of , it shows degrees of similarities with the second-order phase transitions. The article formulates a mean field theory based on the growth of the swarmed clusters that accounts for the decrease in the transition point as increases. The simulation results show that the order parameter exponent , correlation length exponent , and susceptibility exponent remain constant when is altered, satisfying a hyperscaling relation. The same happens for the mass fractal dimension, information dimension, and correlation dimension when is far from two. The study reveals that the fractal dimension of the external perimeter of connected self-similar clusters conforms to the fractal dimension of Fortuin–Kasteleyn clusters of the two-dimensional Potts (Ising) model. The critical exponents linked to the distribution function of global observables vary when changes.
Keywords:
super-diffusive Vicsek model; Levy flights; second-order phase transition; critical exponents PACS:
05.; 05.20.-y; 05.10.Ln; 05.45.Df
1. Introduction
There has been a significant increase in attention towards emergent behaviors, particularly collective motions in active systems []. These systems exhibit large-scale cooperative phenomena and sometimes scale-invariant patterns, resembling the standard theory of statistical mechanics and critical phenomena. To draw a connection, the concept of “phase” is assigned to each collective mode of behavior of agents, and the term “phase transition” is used. Swarming is an example that is observed in various biological systems, e.g., fish schools with milling dynamics [], bacterial systems [,,,], biofilm formation [], and marching locusts []. Observations of self-organized critical behavior in systems such as midge swarms [] prompt the question of what the significance of criticality is in these systems. Among the mathematical models [], the Vicsek model (VM) [] serves as a minimal prototypical example of active systems with self-propelled constituents that show swarming transition.
The VM is a simple yet extensively studied model due to its ability to exhibit new features and diverse modes of collective behavior. For example, it was mapped onto complex networks [] and XY spin chains [,,]. Other studies have focused on the impact of angular noise [] and hierarchical societies [], with the aim of uncovering the key physical factors that contribute to emergent behaviors and its response to additional interactions/physical parameters; see [].
Initial studies asserted that the VM exhibits critical behavior at the transition point [,,,], but later research showed that the transition is actually of the first order [,]. This discrepancy was attributed to the small finite size effects of the system. However, other studies suggest that the order of the transition may depend on how noise is added to the system [] or could be an artifact of finite size and boundary conditions []. This leaves an important unanswered question: How do the long-range interactions [], which lead to criticality in many systems [,,], impact the collective motion when these individuals are swarming together?
A recent study [] found that the lack of fluctuations, or complete synchronization with the flock, in the VM and other classical models, such as the Cucker–Smale model, can reduce the adaptive response of a flock, which may be undesirable in certain scenarios. To increase the adaptive sensitivity to external threats, criticality and correspondingly large fluctuations are essential, as information corresponding to a local perturbation moves faster due to the scale-free correlations [,]. It is now well known that criticality is a vital ingredient for a flock state to survive in the presence of external threats [,].
We argue that the presence of scale-free stochasticity in, for instance, the flight distance of the constituents is a crucial factor for achieving criticality, which is absent in classical counterparts. To establish a closer connection with real-world scenarios, it is essential to incorporate scale-free stochasticity that generates anomalous diffusion, which is frequently observed in active systems. Examples include Levy flights of wandering albatrosses [] and other animals [], super-diffusive intracellular transport [], entangled F-actin networks [], microtubule-associated motors within a living eukaryotic cell [], living yeast cells [], mRNA molecules inside live E. coli cells [,], telomeres in the nucleus of mammalian cells [], biomolecules in solution and living cells [], the pathway of an Adeno-associated virus [], and epithelial cell migration (with Levy flights as the asymptotics of the q-Weibull distributions) []. In most cases, super-diffusion is observed, which enhances the exploration process (e.g., foraging for animals) [,]. In this paper, we investigate the impact of introducing Levy flights into the system dynamics, resulting in super-diffusive stochasticity. This leads to the criticality of the system for sufficiently small step exponents () of Levy flights.
The paper is organized as follows: In the next section we describe our model. Section 3 presents the simulation results, while Section 4 presents the mean field results. Section 5 investigates the geometrical and global features of the model and is divided into two subsections. The first subsection, Section 5.1, describes the mass fractal dimension and higher-order dimensions of the density field. In the second subsection, Section 5.2, we present our contour line analysis for the density field. We conclude the paper with a summary of our findings in the final section.
2. The Model
In the ordinary VM, the agents (labeled by , where represents the total number of active particles, is the density of the particles and L is linear size of the system) undergo correlated random walks in the system with an interaction range R such that any active particle inside a disk of radius R is fully seen by the central particle. The time evolution of the position of the ith particle at time t () is given by
where is the direction of motion of the ith particle at time t, , is the distance that the ith particle traverses in the time interval , shows the set of particles at a distance less than or equal to R from the ith particle, and . is a uniform random number in the interval , and is the strength of the disorder.
In the ordinary VM, where the particles have a constant velocity (), the coherence order parameter defined as is zero (non-zero) in the disordered (ordered) phase. This indicates that the particles move in a spatiotemporally coherent (incoherent) fashion [], and provide information about the degree of orientation of the particles’ motion. There is a transition point , above (below) which and the systems are in the disordered (ordered) phase. is defined as the time average over a considerable time interval. In our model, we let the particles’ velocity obey the Levy flight distribution:
where is a “step index” which generates correlations, and is a step function ( for , and zero otherwise).
The occurrence of rare events (long-range) flights in the process introduces correlations by allowing the particles to access and persist in specific regions of space. Consequently, correlations in the particles’ positions over time emerge []. is considered in our model to prevent unphysical rare events, such as flights above the threshold speed imposed by physical conditions (), which serves as an IR cut off in the problem. In the analytical calculations, we require also a UV cutoff to ensure that the average flight is well-defined, where is a normalization constant. It is customary to consider this cutoff as the smallest scale in the problem, e.g., a lattice constant in the models on the lattice. We set it to R, which is the lattice constant in our setup. For , the average length and its variance diverge as the limits of or are approached, which results in the central limit theorem being invalid. In this situation, the distribution of the Levy random walkers is described by -stable distributions as reported in []. We refer to the particles in this regime as super-diffusive active particles because the diffusion exponent is [].
For the ordinary VM, there is a coexistence of ordered and disordered phases at the transition point (which is of the first order). This leads to the existence of well-defined phase boundaries, known as phase coexistence [], and results in a bimodal distribution function for the order parameter. The bimodal distribution can be either spatial or temporal, indicating that the two phases may either spatially coexist or dominate during different time intervals [,]. The existence of a bimodal distribution function may directly lead to a gap for at the transition point [], around which the hysteresis effect is observed. In this state, the system stays during most of the observation time in the vicinity of one peak of or, in other words, a metastable branch is observed. A hysteresis loop results from the system’s resistance to entering the new peak []. The gap is defined as the difference between these two peak points exactly at the transition point. This is in accordance with the discontinuous (first order) phase transitions, where the phases coexist with well-defined boundaries. However, with the second-order phase transitions, the system shows self-similar patterns at the transition point, making it challenging to attribute a specific phase to a part of the system []. In our model, the scale-free stochasticity induces the evaporation of the two phases by promoting “tunneling” between the peaks. The amplitude of this effect is determined by the value of .
3. Simulation Results
We simulated the system for and 256, , and . Additionally, R and were set to 1. The active particles were initially distributed randomly in the system with random uncorrelated movement orientations. For the systems that exhibit a hysteresis effect, we moved forward (increase ) and backward (decrease ), and for both cases, we changed by in each time step. To control statistical fluctuations, we generated three samples at each time step. We used the maximum likelihood estimation (MLE) method [] to estimate the best values for the exponent and corresponding error bars. For the data collapse analysis, we selected the graph of the largest system size as a base. We calculated the value for all other graphs by measuring the cumulative distance of the points from this base graph. The distribution of values was then used to determine the best exponents and corresponding error bars. This technique was used to better understand the relationship between different variables in the system. The density pattern of the model in the transition point is strongly dependent on the value of as shown in Figure 1.

Figure 1.
A snapshot of the particle density in the ordinary and super-diffusive VM (our model) at the transition point. A color map for and is shown in (a) and (b).
Figure 1 investigates two different scenarios of a physical system with different values of . In the first case, , corresponding to Figure 1a, the system displays a self-similar pattern without any phase separation. The second case, where , corresponding to Figure 1b, exhibits a strip-like dense (ordered) phase in a background of a dilute (disordered) phase. The self-similar pattern for is reminiscent of the second-order transition, while the phase separation for is a fingerprint of the first-order transition.
To quantify the order of the transition, we show the time series of and the corresponding probability distribution in the Figure 2a for , and for (left, with a single peak) and (right, with a bi-modal structure). The single peak structure was observed for all small enough values, suggesting that the transition in our model for these values does not follow the first-order phase transition paradigm. In contrast, the transition is discontinuous for values around two. In Figure 2b, the - plot for different values demonstrates that increasing shifts the graphs to the left, suggesting that the disordered phase is stabilized by higher values. The Binder cumulant method was used to extract the transition points. This method is especially an effective tool for identifying the type of transition, as it is a continuous quantity for second-order phase transitions. It is defined as

Figure 2.
(a) The time series of for various amounts of for . Left (right) inset shows the probability distribution of for , and for (). (b) - graph for various values, showing the transition structure. Upper inset shows that Binder cumulant G in terms of for , which gives the transition point as its coincidence point. Lower inset shows the transition point in terms of . (c) - graph for various L values. The coincidence point of re-scaled is shown in the lower inset in terms of , which determines the transition point. The upper inset shows how the peak of the distribution functions runs with the system size. (d) in terms of , exhibiting a scaling behavior according to Equation (4). The inset shows the exponents in terms of .
This function shows a sudden deep minimum at the transition point, which is characteristic of first-order phase transitions (upper inset of Figure 2b for ). This function is inspected further in Figure A1a in Appendix A. There, it is shown that the depth of the valley decreases as decreases, which reveals the system crossover to regimes with properties similar to second-order phase transitions in sufficiently small values. The observation is consistent with the modal structure of the distribution function, Figure A1b (see Appendix A for more details). While is theoretically expected to be L-independent at the second-order phase transitions [], statistical uncertainties prevent the points from precisely intersecting at a single point. The method proposed in [] is utilized to estimate in the thermodynamic limit. The method relies on identifying the intersection point () of two graphs corresponding to two successive Ls and extrapolating the obtained point to . The resulting transition point is shown in the lower inset of Figure 2b, exhibiting a decreasing behavior in terms of , i.e., the disordered phase dominates as increases.
Although the observations mentioned suggest similarities with second-order phase transition for small enough values, additional statistical evidence is required to validate this hypothesis. According to the standard theory of second-order (continuous) phase transitions, the order parameter and the order parameter fluctuation satisfy the finite size scaling hypothesis []:
where , and and are some exponents, and and are universal functions with the asymptotic behaviors , , and . These exponents are related via a hyperscaling relation []
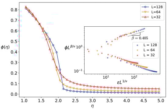
where d is the Euclidean dimension of space, which is two here. In the main part of Figure 2c and its upper inset, we show the finite size dependence of in terms of and at for , respectively. While the peak goes to the left as L increases, is L-independent exactly at as is shown in the lower inset of Figure 2c. The values of obtained through this data collapse analysis agree remarkably well with those determined via the Binder cumulant method. The results of the data collapse analysis presented in Figure 2d confirm that our model obeys finite size scaling relations for sufficiently small values in accordance with second-order phase transitions. Note that the exponents and are robust against changes in , and also of the fitting increases as increases (the worse fitting is for in our set), showing that the scaling hypothesis works for sufficiently small values, and the finite-size scaling Equation (4) is not appropriate for large values. One may use the theory of finite-size scaling for first-order transitions [] for those cases, which is outside the scope of the present study. is reported in Figure 3a, exhibiting a pronounced peak at the transition point. (the amount of at its peak) also scales with L by the exponent . Figure 3b displays the dependence of and , indicating that an increase in corresponds to an increase in fluctuations of , which is the reason why increasing favors the disordered phase. A data collapse according to Equation (4) for is presented in Figure 3c, giving for all values. The exponent is found to be in the interval [1.4–1.6] for all values, which agrees with the hyperscaling relation Equation (5).

Figure 3.
in terms of , exhibiting a divergent behavior at the transition point (a) for various system sizes and and (b) various values and . The inset of (a) is in terms of the slope of which is , and the inset of (b) is in terms of . (c) re-scaled in terms of re-scaled with the slope .
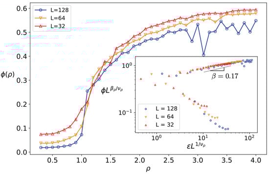
The behavior of the system in terms of density is crucial in understanding the emergent collective behaviors of self-propelled particles. We found evidence regarding the density-driven order–disorder transition for super-diffusive active particles by inspecting the properties of in terms of . We first considered the transition in terms of for low density regime (). In this case, similar properties, such as high density limit , were observed, shown in Appendix A (Figure A2). We also found also a density-driven order–disorder transition, which is depicted in Figure 4, showing this transition in terms of for and . The critical density in this case was found to be , and the exponents of the transition were and . Again, the transition showed similarities with the second-order phase transition paradigm (such as the finite size scaling, based on which we extracted the exponents using the data collapse analysis) but was not completely fitted to it.

Figure 4.
in terms of for and for various L values (up to ). Inset: The data collapse analysis for in terms of for , where the reduced density is defined as .
To conclude this section, we observed that our model undergoes an order–disorder phase transition for all values, and decreases as increases. Our findings reveal that the phase transition is of the first order for large values, similar to the ordinary Vicsek model. Conversely, when decreases sufficiently, the transitions align better with second-order phase transitions, or at least show similarities with second-order phase transitions. We observed a crossover from first-order to second-order transition by decreasing .
4. Mean Field Arguments
To comprehend the impact of on our model’s characteristics, especially to address why the disordered phase becomes increasingly stable with increasing , we develop a mean field theory. We consider a swarmed cluster with an average radius r, and study the dynamics of the particles that leave or enter the cluster as an impact of Levy flights. We quantify the rate of particle movement out of (or into) the system with (), and define the density of the population within (or outside of) the swarmed cluster as (). These mean field quantities are obtained through a straightforward argument illustrated in Figure 5. is not sensitive to the movement of the swarmed cluster since the Levy distribution is nearly invariant under a small boost. Therefore, we use the setup in Figure 5a for determining as follows (noting that on average the fraction of particles go to a required direction):
where is the Levy accumulated probability density. To calculate , we allow the swarmed cluster to move by a distance of during a single time step. The preferred direction can be calculated by the previous step given in Figure 5b. To calculate , we note that the particles in the horizontal distance (on the green bar) with a flight length remain in the coherent swarmed cluster. Based on this, we calculate the number of particles that leave this area. Noting that the required accumulated probability is , and also (noting that on average the fraction of particles go to a required direction),
we finally find the relations
where and . To obtain the mean field relations for and , we use the following argument: In the ordered phase, there are typically multiple particles inside a disk with area , whereas in the disordered phase, particles are unlikely to encounter each other within a single Levy flight, resulting in no particles within an area of . This leads to the relation . It is worth noting that the relationship is not qualitatively dependent on the power used in the equation. This, along with conservation of the total number of particles , gives the following relation:
Noting that is the rate of change of the average number of active particles inside the swarmed cluster, one can determine the dynamical behaviors of the model in terms of r. The average r (which we call ) is the fixed point of the dynamical behavior of n, i.e., . The average size of the swarmed clusters, indicated by , is used to determine the stability of each phase for a given value of .

Figure 5.
Schematic representation of the mean field method. (a) A static swarmed cluster (the yellow area shows), where r is its average radius, and the red and blue rings indicate the number of particles entering and leaving the cluster, respectively. (b) The coherent movement of the swarmed cluster in the preferred direction . The green bar moves from to running over the area inside the swarmed cluster. The active particles with Levy flights in the range remain inside the swarmed cluster if the average radius r remains approximately unchanged during the process. The number of such particles is , where N is the number of particles inside the cluster in the previous step.
The relationship between the average size of the swarmed clusters and the parameter is presented in Figure 6. The figure shows that as increases, the disordered phase becomes more stable.

Figure 6.
in terms of based on the mean field results.
To make connection between and , we first note that and . Therefore, we expect that is a decreasing function of , which agrees with the simulation results. As pointed out in [] for a standard Vicsek model with large densities, the system may percolate and form a huge cluster. This happens when in our MF arguments. For the percolation probability, we should seek the conditions that lead to , or equivalently . In our model, the probability of percolation is greater for the smaller values. Given that in this limit, the fluctuations are much greater than for large values (because of the criticality of the system at this limit), it is consistent with the percolation theory which tells us that at the percolation threshold, that fluctuations are maximal. In the inset of Figure 6, we show the relation between and , which is monotonic increasing function. If one fits this relation using a power-law function, the exponent would be , although the range of the quantities are too small to deduce a power-law form (it commonly should be more than one decade).
5. Geometrical Observables
In addition to local characteristics, systems undergoing continuous phase transitions display global geometric features, which have been the subject of numerous analytical and simulation studies. This characterization can reveal previously hidden aspects of the models that are not apparent with only local observables. Section 5.1 focuses on the fractal analysis of the density of active particles at the transition point. In Section 5.2, the critical loop ensemble (CLE) of the iso-density loops on the system is analyzed.
5.1. Density Fractal Analysis
We employ the fractal analysis method for the density configurations [] that we obtain at the transition points. The density configurations are first converted into black-and-white images, after which the white pixels are statistically analyzed; see Figure 1. The system is meshed using boxes of a specific size linear size , and the statistics of the filling fraction of each box is calculated. A pixel is considered white or occupied if the density of active particles at that site is greater than the spatial average of density over that sample, where is the total number of pixels in the system. The filling fraction of the ith box is , where is the number of white pixels in the ith box [,]. Note that , where is the total number of boxes. If we attribute a local mass for ith box as and a total mass to the cluster as , where is a Kronecker delta, then the box counting fractal dimension is obtained as
In a multifractal system, this exponent depends on the scale that we are considering or changes from region to region. A unified standard theory called multifractal analysis was previously developed, which employs a generalized partition function that yields a spectrum of exponents, including the fractal, information, and correlation dimensions []. This q-generalized partition function is related to the qth moment of the fluctuations of , and is defined as
where q is a moment. For scale-invariant systems, scales with in a power-law form with the exponent , but the exponent may not be a unique number in all scales:
The generalized q-dimension is then defined as
so that . Note that if one interprets as a probability associated with a small segment () of the system, then plays the role of a normalized q-Renyi entropy () in the thermodynamic limit
so that
Therefore, the mass fractal dimension of samples is related to Renyi entropy
It is worth noting that the hypothesis of scale invariance, as described in Equation (12), has led to the fact that Renyi entropy is proportional to and not ( in our case) as expected for the ordinary systems. This serves as an important characteristic of the scale-invariant systems, for which the system is not extensive []. The information dimension associated with the Shannon entropy is obtained in the limit
the fact that relates it to
so that
Finally the correlation dimension is defined as
where
where is the position of the kth white pixel (not box), and is a step function. It is shown that []
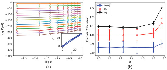
We generated configurations (density snapshots) at the transition points to investigate the anomalous dimensions. Figure 7a shows in terms of for , and the inset shows in terms of q, which is well described by a linear function. The numerical values for the dimensions are reported in the inset of Figure 7b. For the small values, the exponent remains constant and stable across various values. Interestingly, the mass fractal dimensions are lower than one, which is generally possible for the fractals with fractional filling boxes. However, as approaches two, power-law fittings fail to fit, and the resulting exponents deviate from the others. This is not surprising since, at these points, the system does not display a fractal structure.

Figure 7.
(a) in terms of for in increment 2 for (from the top to the bottom q decreases), the slope of which is (inset). (b) The fractal dimension (), the information dimension () and the correlation dimension in terms of .
5.2. Contour Line Analysis
The critical (conformal) loop ensemble (CLE) theory enabled another type of classification of two-dimensional (2D) critical models based on their global geometrical properties [,]. When considering this approach, the focus is on random curves that can be transformed into dynamic stochastic paths, or exploration processes, within a connected domain in the plane. This idea was originally suggested by Loewner and is known as stochastic Loewner evolution (SLE) [,], which is now widely recognized as a means of characterizing the interfaces of two-dimensional statistical models using growth processes. The method can classify these interfaces into one-parameter classes, with the diffusivity parameter serving as the representative parameter, called SLEκ [,]. Many other exponents are related to , such as the fractal dimension of level lines or interfaces, which is [] (these extended objects are fractal paths, or sometimes loops). As another example for the Potts models, it is shown that , and , where is the dual of , which is given by the equation such that, for example, for [].
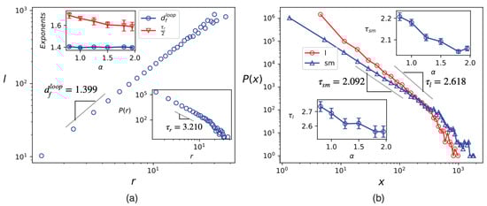
To investigate this, we start with the fractal dimension of loops () for a single connected cluster, which is defined as the scaling exponent between the loop length l and the loop gyration radius r. The latter is defined for a closed path as , where is the loop center-of-mass. is then defined by the relation , where ⟨⟩ denotes the ensemble average. We apply the Hoshen–Kopelman algorithm [] to identify the connected components of the clusters. This algorithm involves coloring the entire cluster and assigning different colors to separate clusters while traversing the sample. We analyze these connected clusters by measuring their external boundaries with length l, as well as their gyration radius r and mass, which we denote as . The scale-invariant properties of the distribution function of , l, and r are also evident (excluding finite size effects), with . Here, represents the corresponding scaling exponent.
We consider clusters that are associated with the white-and-black density pattern. The scaling hypothesis in the transition points is supported by the findings presented in Figure 8a,b. It should be noted that when the value of approaches two, the system loses its scale-invariance property and also becomes anisotropic, indicating that the critical or scaling exponents cannot be considered dependable in this range. Given the system and the associated exponents, the fractal dimension is observed to remain constant at approximately for all values of , indicating its robustness. This exponent is associated with (in the case of conformal invariance). However, the scaling exponents () exhibit changes as varies. This is the first time in this study that we see the set of exponents change as a function of , suggesting that a range of systems can be visited within this interval of . It would be intriguing to compare the results with the ones for the geometric and Fortuin–Kasteleyn (FK) clusters of the critical Potts (Ising) model, the diffusivity parameters, which are and , respectively []. It also was previously shown that , and , and also []. The exponents that we found for our model for small values are in agreement with the exponents explored above. By setting in our model, we obtain , , and . These values are consistent with our simulation results, except for the exponent, which shows a discrepancy. This suggests that the interfaces of our model do not exhibit conformal invariance. Hence, we conclude that our model is self-similar for sufficiently small values, and exhibits some similarity to the Potts model but is not a perfect fit for this model.

Figure 8.
(a) in terms of for , the slope of which is . Lower inset: the distribution of the gyration radius r for . Top inset: and in terms of . (b) The distribution of the loop length () and submass (). Top (Down) inset shows () in terms of .
6. Concluding Remarks
In this paper, we studied a super-diffusive variant of the Vicsek model by introducing scale-free (Levy) stochasticity to the flights taken by the active particles during each time step. As a result of this modification, the transition, which is of the first order for the conventional Vicsek model, shows similarities with second-order phase transitions for small values. Since we observed some features of first-order phase transitions, we denote this regime as weakly second-order phase transitions. In contrast, for values around two, our model displays first-order phase transitions, but like the Vicsek model, it also exhibits some characteristics of scale invariance. The latter led Vicsek et al. to incorrectly conclude that their model was of the second order and calculate “fictitious exponents” []. This occurs when two peaks of are in close proximity and difficult to distinguish as shown in the right inset of Figure 2a. Since the values of and the “fictitious exponents” for our model (for values close to two) are similar to those of the ordinary Vicsek model, we can infer that our model exhibits the same characteristics as the ordinary Vicsek model at the transition point for values close to two. Additionally, for , the -stable Levy systems are unstable towards a fixed point that is characterized by a Gaussian distribution function [], indicating that perturbing the ordinary Vicsek model with Gaussian-distributed flights does not alter the fundamental properties of the Vicsek model, and is therefore an “irrelevant perturbation”, while for the small values, it is similar to second-order phase transitions and the corresponding perturbation is relevant. We observe a crossover from first-order phase transition (large values) to weakly second-order transitions (small values).
We developed a mean field theory for our model, which successfully describes why the disordered phase becomes more stable as increases. The geometrical properties of the model at the transition points were also investigated. We found a series of anomalous dimensions, including the mass dimension, the information dimension and the correlation dimension. Our critical loop ensemble study shows that this system has similarities to the Pottes (Ising) model, while the exponent does not match.
Author Contributions
Conceptualization, M.N.N. and S.A.N.; Methodology, M.N.N., R.M.A.Z. and S.A.N.; Validation, S.A.N.; Formal analysis, M.N.N., R.M.A.Z. and S.A.N.; Data curation, R.M.A.Z.; Writing—original draft, M.N.N.; Writing—review & editing, S.A.N.; Visualization, M.N.N. and R.M.A.Z. All authors have read and agreed to the published version of the manuscript.
Funding
This research received no external funding.
Institutional Review Board Statement
Not applicable.
Data Availability Statement
The research data supporting this publication are provided within this paper.
Conflicts of Interest
The authors declare no conflict of interest.
Appendix A. Crossover to Continuous Transition
In this section, we elaborate on the crossover between first- and second-order transition regimes. In Figure A1, the alterations in the Binder cumulant and the probability density function (PDF) are illustrated as changes. For the largest value, the Binder cumulant drops sharply at the transition point to a minimal value as a function of L, signifying the first-order transition. As decreases, the depth of this drop also decreases, indicating a crossover to a continuous transition. The same trend is apparent in the PDF (the right figure). When is the largest, the PDF exhibits a well-defined bi-modal distribution, but as decreases, this bi-modality becomes less distinct.

Figure A1.
(a) Binder cumulant in terms of and (b) the PDF for for , 1, and .
In Figure A2 we represent the results for the dilute phase, i.e., small density regime. We see that in this case, we observe the same results as , i.e., the order–disorder transition which takes place at smaller values.

Figure A2.
in terms of (main) and the corresponding data collapse analysis (inset) in the low density limit and . The data collapse analysis shows that , , and .
Appendix B. Mean Field Theory
In this appendix, we describe some details of the mean field theory. As stated in the text,
where
Based on this, we calculate the number of particles that leave this area. For determining , we note that the required accumulated probability is given this time by
Equation (8) is obtained by inserting these equations into Equations (6) and (7). For the analysis of the average r, we need to determine the difference between and . Let n be such a quantity
which counts the rate of change of the average number of active particles inside the swarmed cluster. Then, one can determine the dynamical behaviors of the model in terms of r by studying n. To be more precise, the average r (which we call ) is the fixed point of the dynamical behavior of n, i.e., .

Figure A3.
(blue line) and (orange line) in terms of r for for (a) , (b) , (c) , (d) , (e) , (f) .
In Figure A3, we plot and for , , , , , . The graphs for (blue line) and (orange line) shown are represented in terms of r and in Figure A4. is the point at which these two graphs meet, i.e., the fixed point of the dynamics. The behavior of is of central importance in this analysis since the average size of the swarmed clusters shows which phase is stable in which .

Figure A4.
(blue line) and (orange line) in terms of r for for the coherent movement, for (a) , (b) , (c) , (d) , (e) , (f) .

Figure A5.
n (defined in Equation (A4)) in terms of r for for various values. has been defined as the point with bold circles with the same color as the main graph ( decreases as increases).
Appendix C. Similarities with Q-State Potts Model
This section provides a description of the Q-state Potts model as a framework for second-order transitions. The model exhibits the tricritical point at , above (under) which the ordered–disordered transition is of the first (second) order. Its relation to the other models is well known; the examples are the model [], Coulomb gas [,,], eight vertex model [], Schramm–Loewner evolution [], XY model [,,], and conformal field theories []. Given that our fractal dimension for is consistent with the fractal dimension of the external perimeter of the geometrical clusters of the Ising (), we explore its properties in this section, i.e., the Fortuin–Kasteleyn (FK) clusters. To this end, suppose that the distribution of clusters with m sites is given by so that
where is its exponent and
is the decay rate which diverges as (the critical order–disorder transition temperature), and is its corresponding exponent. Then the standard exponents of the transition are given in terms of and . Importantly, []
is the “heat capacity” exponent, which is zero for the Ising () model. We do not have this exponent in our model. The two other exponents that we calculated in our model are (the order parameter exponent) and (the fluctuations exponent). The relation between these two exponents and and is
Additionally, the exponent (noise renormalization exponent) is given as follows:
where d is the dimension of space (here is two). This is the first hyper-scaling relation:
The other two exponents (not calculated in our project) are the Fisher exponent and mass-fractal dimension, which are, respectively,
We also have the following hyperscaling relation between , and :
All of these exponents tell us that . Table A1 shows the exponents for the case and our model.

Table A1.
The critical exponents of the Q-state Potts model in terms of Q up to Q = 4. We see the best similarity with Q = 2, i.e., the Ising model. The effective diffusivity parameter is reported in the last column.
Table A1.
The critical exponents of the Q-state Potts model in terms of Q up to Q = 4. We see the best similarity with Q = 2, i.e., the Ising model. The effective diffusivity parameter is reported in the last column.
our model | − | 1.5–1.6 | − | − | ≈1.3 | ||||
− | − | − | |||||||
(Ising) | 0 | 1 | |||||||
1 |
In this table, we see that the best similarity is obtained for , which is the critical Ising model. The only difference is concerning the exponent, which is almost three times bigger than the one for the Ising model. The corresponding diffusivity parameter in the SLE theory is given in terms of the basic exponents and as follows:
It is more convenient to represent these exponents in terms of and
where as described in the main text.
References
- Gompper, G.; Winkler, R.G.; Speck, T.; Solon, A.; Nardini, C.; Peruani, F.; Löwen, H.; Golestanian, R.; Kaupp, U.B.; Alvarez, L.; et al. The 2020 motile active matter roadmap. J. Phys. Condens. Matter 2020, 32, 193001. [Google Scholar] [CrossRef] [PubMed]
- Calovi, D.S.; Lopez, U.; Ngo, S.; Sire, C.; Chaté, H.; Theraulaz, G. Swarming, schooling, milling: Phase diagram of a data-driven fish school model. New J. Phys. 2014, 16, 015026. [Google Scholar] [CrossRef]
- Kearns, D.B. A field guide to bacterial swarming motility. Nat. Rev. Microbiol. 2010, 8, 634–644. [Google Scholar] [CrossRef] [PubMed]
- Copeland, M.F.; Weibel, D.B. Bacterial swarming: A model system for studying dynamic self-assembly. Soft Matter 2009, 5, 1174–1187. [Google Scholar] [CrossRef]
- Darnton, N.C.; Turner, L.; Rojevsky, S.; Berg, H.C. Dynamics of bacterial swarming. Biophys. J. 2010, 98, 2082–2090. [Google Scholar] [CrossRef] [PubMed]
- Allison, C.; Hughes, C. Bacterial swarming: An example of prokaryotic differentiation and multicellular behaviour. Sci. Prog. 1991, 75, 403–422. [Google Scholar]
- Verstraeten, N.; Braeken, K.; Debkumari, B.; Fauvart, M.; Fransaer, J.; Vermant, J.; Michiels, J. Living on a surface: Swarming and biofilm formation. Trends Microbiol. 2008, 16, 496–506. [Google Scholar] [CrossRef]
- Buhl, J.; Sumpter, D.J.; Couzin, I.D.; Hale, J.J.; Despland, E.; Miller, E.R.; Simpson, S.J. From disorder to order in marching locusts. Science 2006, 312, 1402–1406. [Google Scholar] [CrossRef]
- Attanasi, A.; Cavagna, A.; Del Castello, L.; Giardina, I.; Melillo, S.; Parisi, L.; Pohl, O.; Rossaro, B.; Shen, E.; Silvestri, E.; et al. Finite-size scaling as a way to probe near-criticality in natural swarms. Phys. Rev. Lett. 2014, 113, 238102. [Google Scholar] [CrossRef]
- Shimoyama, N.; Sugawara, K.; Mizuguchi, T.; Hayakawa, Y.; Sano, M. Collective motion in a system of motile elements. Phys. Rev. Lett. 1996, 76, 3870. [Google Scholar] [CrossRef]
- Vicsek, T.; Czirók, A.; Ben-Jacob, E.; Cohen, I.; Shochet, O. Novel type of phase transition in a system of self-driven particles. Phys. Rev. Lett. 1995, 75, 1226. [Google Scholar] [CrossRef] [PubMed]
- Baglietto, G.; Albano, E.V.; Candia, J. Criticality and the onset of ordering in the standard Vicsek model. Interface Focus 2012, 2, 708–714. [Google Scholar] [CrossRef] [PubMed]
- Toner, J.; Tu, Y. Long-range order in a two-dimensional dynamical XY model: How birds fly together. Phys. Rev. Lett. 1995, 75, 4326. [Google Scholar] [CrossRef] [PubMed]
- Toner, J.; Tu, Y. Flocks, herds, and schools: A quantitative theory of flocking. Phys. Rev. E 1998, 58, 4828. [Google Scholar] [CrossRef]
- Toner, J. Reanalysis of the hydrodynamic theory of fluid, polar-ordered flocks. Phys. Rev. E 2012, 86, 031918. [Google Scholar] [CrossRef]
- Clusella, P.; Pastor-Satorras, R. Phase transitions on a class of generalized Vicsek-like models of collective motion. Chaos Interdiscip. J. Nonlinear Sci. 2021, 31, 043116. [Google Scholar] [CrossRef]
- Xue, T.; Li, X.; Grassberger, P.; Chen, L. Swarming transitions in hierarchical societies. Phys. Rev. Res. 2020, 2, 042017. [Google Scholar] [CrossRef]
- Ginelli, F. The physics of the Vicsek model. Eur. Phys. J. Spec. Top. 2016, 225, 2099–2117. [Google Scholar] [CrossRef]
- Grégoire, G.; Chaté, H. Onset of collective and cohesive motion. Phys. Rev. Lett. 2004, 92, 025702. [Google Scholar] [CrossRef]
- Chaté, H.; Ginelli, F.; Grégoire, G.; Raynaud, F. Collective motion of self-propelled particles interacting without cohesion. Phys. Rev. E 2008, 77, 046113. [Google Scholar] [CrossRef]
- Aldana, M.; Dossetti, V.; Huepe, C.; Kenkre, V.; Larralde, H. Phase transitions in systems of self-propelled agents and related network models. Phys. Rev. Lett. 2007, 98, 095702. [Google Scholar] [CrossRef] [PubMed]
- Baglietto, G.; Albano, E.V. Nature of the order-disorder transition in the Vicsek model for the collective motion of self-propelled particles. Phys. Rev. E 2009, 80, 050103. [Google Scholar] [CrossRef] [PubMed]
- Fisher, M.E.; Ma, S.K.; Nickel, B. Critical exponents for long-range interactions. Phys. Rev. Lett. 1972, 29, 917. [Google Scholar] [CrossRef]
- Aizenman, M.; Fernández, R. Critical exponents for long-range interactions. Lett. Math. Phys. 1988, 16, 39–49. [Google Scholar] [CrossRef]
- Defenu, N.; Codello, A.; Ruffo, S.; Trombettoni, A. Criticality of spin systems with weak long-range interactions. J. Phys. A Math. Theor. 2020, 53, 143001. [Google Scholar] [CrossRef]
- Jung, N.; Weon, B.M.; Kim, P. Effects of adaptive acceleration response of birds on collective behaviors. J. Phys. Complex. 2022, 3, 015014. [Google Scholar] [CrossRef]
- Cavagna, A.; Cimarelli, A.; Giardina, I.; Parisi, G.; Santagati, R.; Stefanini, F.; Viale, M. Scale-free correlations in starling flocks. Proc. Natl. Acad. Sci. USA 2010, 107, 11865–11870. [Google Scholar] [CrossRef]
- Attanasi, A.; Cavagna, A.; Del Castello, L.; Giardina, I.; Grigera, T.S.; Jelić, A.; Melillo, S.; Parisi, L.; Pohl, O.; Shen, E.; et al. Information transfer and behavioural inertia in starling flocks. Nat. Phys. 2014, 10, 691–696. [Google Scholar] [CrossRef]
- Mora, T.; Bialek, W. Are biological systems poised at criticality? J. Stat. Phys. 2011, 144, 268–302. [Google Scholar] [CrossRef]
- Hemelrijk, C.K.; Hildenbrandt, H. Scale-free correlations, influential neighbours and speed control in flocks of birds. J. Stat. Phys. 2015, 158, 563–578. [Google Scholar] [CrossRef]
- Viswanathan, G.M.; Afanasyev, V.; Buldyrev, S.V.; Murphy, E.J.; Prince, P.A.; Stanley, H.E. Lévy flight search patterns of wandering albatrosses. Nature 1996, 381, 413–415. [Google Scholar] [CrossRef]
- Peck, S.L. Quantitative Analysis of Movement: Measuring and Modeling Population Redistribution in Animals and Plants. Ecology 1999, 80, 1451–1453. [Google Scholar] [CrossRef]
- Caspi, A.; Granek, R.; Elbaum, M. Enhanced diffusion in active intracellular transport. Phys. Rev. Lett. 2000, 85, 5655. [Google Scholar] [CrossRef] [PubMed]
- Wong, I.; Gardel, M.; Reichman, D.; Weeks, E.R.; Valentine, M.; Bausch, A.; Weitz, D.A. Anomalous diffusion probes microstructure dynamics of entangled F-actin networks. Phys. Rev. Lett. 2004, 92, 178101. [Google Scholar] [CrossRef]
- Caspi, A.; Granek, R.; Elbaum, M. Diffusion and directed motion in cellular transport. Phys. Rev. E 2002, 66, 011916. [Google Scholar] [CrossRef] [PubMed]
- Tolić-Nørrelykke, I.M.; Munteanu, E.L.; Thon, G.; Oddershede, L.; Berg-Sørensen, K. Anomalous diffusion in living yeast cells. Phys. Rev. Lett. 2004, 93, 078102. [Google Scholar] [CrossRef]
- Golding, I.; Cox, E.C. Physical nature of bacterial cytoplasm. Phys. Rev. Lett. 2006, 96, 098102. [Google Scholar] [CrossRef]
- Magdziarz, M.; Weron, A.; Burnecki, K.; Klafter, J. Fractional Brownian motion versus the continuous-time random walk: A simple test for subdiffusive dynamics. Phys. Rev. Lett. 2009, 103, 180602. [Google Scholar] [CrossRef]
- Bronstein, I.; Israel, Y.; Kepten, E.; Mai, S.; Shav-Tal, Y.; Barkai, E.; Garini, Y. Transient anomalous diffusion of telomeres in the nucleus of mammalian cells. Phys. Rev. Lett. 2009, 103, 018102. [Google Scholar] [CrossRef]
- Basak, S.; Sengupta, S.; Chattopadhyay, K. Understanding biochemical processes in the presence of sub-diffusive behavior of biomolecules in solution and living cells. Biophys. Rev. 2019, 11, 851–872. [Google Scholar] [CrossRef]
- Seisenberger, G.; Ried, M.U.; Endress, T.; Buning, H.; Hallek, M.; Brauchle, C. Real-time single-molecule imaging of the infection pathway of an adeno-associated virus. Science 2001, 294, 1929–1932. [Google Scholar] [CrossRef] [PubMed]
- Souza Vilela Podestá, T.; Venzel Rosembach, T.; Aparecida dos Santos, A.; Lobato Martins, M. Anomalous diffusion and q-Weibull velocity distributions in epithelial cell migration. PLoS ONE 2017, 12, e0180777. [Google Scholar] [CrossRef] [PubMed]
- Shlesinger, M.F.; Zaslavsky, G.M.; Frisch, U. Lévy flights and related topics in physics. In Proceedings of the International Workshop Held, Nice, France, 27–30 June 1994. [Google Scholar]
- Umarov, S.; Tsallis, C.; Gell-Mann, M.; Steinberg, S. Symmetric (q,α)-Stable Distributions. Part I: First Representation. arXiv 2006, arXiv:cond-mat/0606038. [Google Scholar]
- Dubkov, A.A.; Spagnolo, B.; Uchaikin, V.V. Lévy flight superdiffusion: An introduction. Int. J. Bifurc. Chaos 2008, 18, 2649–2672. [Google Scholar] [CrossRef]
- Rahimi-Majd, M.; Restrepo, J.G.; Nattagh-Najafi, M. Stochastic and deterministic dynamics in networks with excitable nodes. arXiv 2021, arXiv:2112.04472. [Google Scholar] [CrossRef]
- Binder, K.; Landau, D. Finite-size scaling at first-order phase transitions. Phys. Rev. B 1984, 30, 1477. [Google Scholar] [CrossRef]
- Myung, I.J. Tutorial on maximum likelihood estimation. J. Math. Psychol. 2003, 47, 90–100. [Google Scholar] [CrossRef]
- Binder, K. Finite size scaling analysis of Ising model block distribution functions. Z. Phys. Condens. Matter 1981, 43, 119–140. [Google Scholar] [CrossRef]
- Sampaio Filho, C.I.; Andrade, J.S., Jr.; Herrmann, H.J.; Moreira, A.A. Elastic backbone defines a new transition in the percolation model. Phys. Rev. Lett. 2018, 120, 175701. [Google Scholar] [CrossRef]
- Goldenfeld, N. Lectures on Phase Transitions and the Renormalization Group; CRC Press: Boca Raton, FL, USA, 2018. [Google Scholar]
- Kyriakopoulos, N.; Chaté, H.; Ginelli, F. Clustering and anisotropic correlated percolation in polar flocks. Phys. Rev. E 2019, 100, 022606. [Google Scholar] [CrossRef]
- Hentschel, H.G.E.; Procaccia, I. The infinite number of generalized dimensions of fractals and strange attractors. Phys. D Nonlinear Phenom. 1983, 8, 435–444. [Google Scholar] [CrossRef]
- Martsepp, M.; Laas, T.; Laas, K.; Priimets, J.; Tõkke, S.; Mikli, V. Dependence of multifractal analysis parameters on the darkness of a processed image. Chaos Solitons Fractals 2022, 156, 111811. [Google Scholar] [CrossRef]
- Cheraghalizadeh, J.; Tizdast, S.; Doostdari, S.; Najafi, M. Statistical analysis of the drying pattern of coffee. arXiv 2022, arXiv:2211.12132. [Google Scholar]
- Tsallis, C. Introduction to Nonextensive Statistical Mechanics: Approaching a Complex World; Springer: Berlin/Heidelberg, Germany, 2009; Volume 1. [Google Scholar]
- Sheffield, S.; Werner, W. Conformal loop ensembles: The Markovian characterization and the loop-soup construction. Ann. Math. 2012, 176, 1827–1917. [Google Scholar] [CrossRef]
- Doyon, B. Conformal loop ensembles and the stress-energy tensor. I. Fundamental notions of CLE. arXiv 2009, arXiv:0903.0372. [Google Scholar]
- Lowner, K. Untersuchungen uber schlichte konforme Abbildungen des Einheitskreises. I. Math. Ann 1923, 89, 103. [Google Scholar] [CrossRef]
- Schramm, O. Scaling limits of loop-erased random walks and uniform spanning trees. In Selected Works of Oded Schramm; Springer: Berlin/Heidelberg, Germany, 2011; pp. 791–858. [Google Scholar]
- Cardy, J. SLE for theoretical physicists. Ann. Phys. 2005, 318, 81–118. [Google Scholar] [CrossRef]
- Janke, W.; Schakel, A.M. Geometrical vs. Fortuin–Kasteleyn clusters in the two-dimensional q-state Potts model. Nucl. Phys. B 2004, 700, 385–406. [Google Scholar] [CrossRef]
- Hoshen, J.; Berry, M.; Minser, K. Percolation and cluster structure parameters: The enhanced Hoshen-Kopelman algorithm. Phys. Rev. E 1997, 56, 1455. [Google Scholar] [CrossRef]
- Najafi, M.; Ghaedi, M. Geometrical clusters of Darcy’s reservoir model and Ising universality class. Phys. A Stat. Mech. Its Appl. 2015, 427, 82–91. [Google Scholar] [CrossRef]
- Den Nijs, M. Extended scaling relations for the magnetic critical exponents of the Potts model. Phys. Rev. B 1983, 27, 1674. [Google Scholar] [CrossRef]
- Di Francesco, P.; Saleur, H.; Zuber, J.B. Relations between the Coulomb gas picture and conformal invariance of two-dimensional critical models. J. Stat. Phys. 1987, 49, 57–79. [Google Scholar] [CrossRef]
- Den Nijs, M. A relation between the temperature exponents of the eight-vertex and q-state Potts model. J. Phys. Math. Gen. 1979, 12, 1857. [Google Scholar] [CrossRef]
- Zhang, L.R.; Ding, C.; Deng, Y.; Zhang, L. Surface criticality of the antiferromagnetic Potts model. Phys. Rev. B 2022, 105, 224415. [Google Scholar] [CrossRef]
- Nienhuis, B.; Berker, A.; Riedel, E.K.; Schick, M. First-and second-order phase transitions in Potts models: Renormalization-group solution. Phys. Rev. Lett. 1979, 43, 737. [Google Scholar] [CrossRef]
- Enting, I.; Wu, F. Triangular lattice Potts models. J. Stat. Phys. 1982, 28, 351–373. [Google Scholar] [CrossRef]
Disclaimer/Publisher’s Note: The statements, opinions and data contained in all publications are solely those of the individual author(s) and contributor(s) and not of MDPI and/or the editor(s). MDPI and/or the editor(s) disclaim responsibility for any injury to people or property resulting from any ideas, methods, instructions or products referred to in the content. |
© 2023 by the authors. Licensee MDPI, Basel, Switzerland. This article is an open access article distributed under the terms and conditions of the Creative Commons Attribution (CC BY) license (https://creativecommons.org/licenses/by/4.0/).