Analytically Solvable Model for Qubit-Mediated Energy Transfer between Quantum Batteries
Abstract
1. Introduction
2. Model and Setting
2.1. Direct Coupling Case
2.2. Coupling Mediated by a Third TLS
- (see Figure 3), with , being the typical time width in which the time-dependent functions are different from zero.For one getswhich describes an energy transfer between the charger and the mediator (). Instead for the set of differential equations readswhich represents an energy transfer between the mediator and the QB ().This clearly describes a two-step energy transfer protocol where each step has the same form of the direct coupling case. In particular in the first step one haswithAssuming a complete state (and energy) transfer form the charger to the mediator at the first step (see below for more details) the second step can be written aswith
- . This type of protocol describes a simultaneous transfer from the charger to the mediator and to the QB.In this case the set of differential equations in Equation (30) reduces toThe matrix is diagonalized by the unitary matrixThis allows to rewrite Equation (37) as a set of decoupled equationswithand general time evolutionIn this basis the time evolved state iswithBy using the inverse transformation it is possible to rewrite it in the original basis as follows
3. Stored Energy in the TLSs
3.1. Direct Coupling Case
3.2. TLS-Mediated Case
- For one obtainswhere
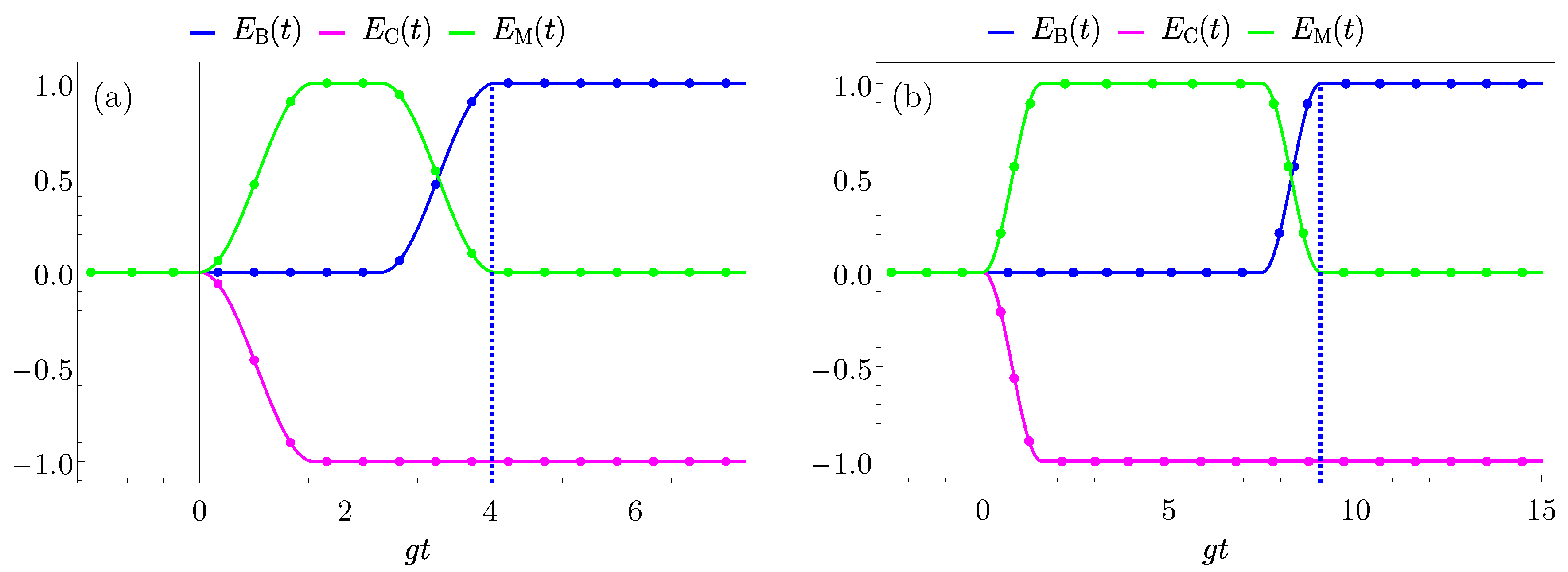
- For the stored energy inside the QB as function of is given byIn the same way, from Equation (52) it is possible to obtain the energy of the charger which readsWhile for the mediator one obtainsThese expressions allow to evaluate the maximum of the energy stored inside the QB, as in Equation (47), the corresponding charging time and also the value assumed by and when the QB reaches its maximum.
4. Switching Function
4.1. Direct Coupling Case
4.2. TLS-Mediated Coupling Case
4.3. Analytical form of the Energy Stored in the QB and of the Relative Transfer Time
5. Results
Direct vs. TLS-Mediated Scenarios
6. Conclusions
Author Contributions
Funding
Institutional Review Board Statement
Informed Consent Statement
Data Availability Statement
Acknowledgments
Conflicts of Interest
Abbreviations
| QB | Quantum Battery |
| QHO | Quantum Harmonic Oscillator |
| TLS | Two-Level System |
| RWA | Rotating Wave Approximation |
References
- Riedel, M.F.; Binosi, D.; Thew, R.; Calarco, T. The European quantum technologies flagship programme. Quantum Sci. Technol. 2017, 2, 030501. [Google Scholar] [CrossRef]
- Acín, A.; Bloch, I.; Buhrman, H.; Calarco, T.; Eichler, C.; Eisert, J.; Esteve, D.; Gisin, N.; Glaser, S.J.; Jelezko, F.; et al. The quantum technologies roadmap: A European community view. New J. Phys. 2018, 20, 080201. [Google Scholar] [CrossRef]
- Raymer, M.G.; Monroe, C. The US quantum initiative. Quantum Sci. Technol. 2019, 4, 020504. [Google Scholar] [CrossRef]
- Esposito, M.; Harbola, U.; Mukamel, S. Nonequilibrium fluctuations, fluctuation theorems, and counting statistics in quantum systems. Rev. Mod. Phys. 2009, 81, 1665. [Google Scholar] [CrossRef]
- Vinjanampathy, S.; Anders, J. Quantum Thermodynamics. Contemp. Phys. 2016, 57, 545. [Google Scholar] [CrossRef]
- Campisi, M.; Fazio, R. Dissipation, correlation and lags in heat engines. J. Phys. A Math. Theor. 2016, 49, 345002. [Google Scholar] [CrossRef]
- Benenti, G.; Casati, G.; Saito, K.; Whitney, R.S. Fundamental aspects of steady-state conversion of heat to work at the nanoscale. Phys. Rep. 2017, 694, 1. [Google Scholar] [CrossRef]
- Campisi, M.; Goold, J. Thermodynamics information scrambling. Phys. Rev. E 2017, 95, 062127. [Google Scholar] [CrossRef]
- Campaioli, F.; Pollock, F.A.; Vinjanampathy, S. Thermodynamics in the Quantum Regime; Binder, F., Correa, L.A., Gogolin, C., Anders, J., Adesso, G., Eds.; Springer: Berlin/Heidelberg, Germany, 2018. [Google Scholar]
- Carrega, M.; Cangemi, L.M.; De Filippis, G.; Cataudella, V.; Benenti, G.; Sassetti, M. Engineering Dynamical Coupling for Quantum Thermodynamic Tasks. Phys. Rev. X Quantum 2022, 3, 010323. [Google Scholar] [CrossRef]
- Cavaliere, F.; Carrega, M.; De Filippis, G.; Cataudella, V.; Benenti, G.; Sassetti, M. Dynamical heat engines with non-Markovian reservoirs. Phys. Rev. Res. 2022, 4, 033233. [Google Scholar] [CrossRef]
- Alicki, R.; Fannes, M. Entanglement boost for extractable work from ensembles of quantum batteries. Phys. Rev. E 2013, 87, 042123. [Google Scholar] [CrossRef] [PubMed]
- Binder, F.C.; Vinjanampathy, S.; Modi, K.; Goold, J. Quantacell: Powerful charging of quantum batteries. New J. Phys. 2015, 17, 075015. [Google Scholar] [CrossRef]
- Campaioli, F.; Pollock, F.A.; Binder, F.C.; Celeri, L.; Goold, J.; Vinjanampathy, S.; Modi, K. Enhancing the Charging Power of Quantum Batteries. Phys. Rev. Lett. 2017, 118, 150601. [Google Scholar] [CrossRef] [PubMed]
- Friis, N.; Huber, M. Precision and Work Fluctuations in Gaussian Battery Charging. Quantum 2018, 2, 61. [Google Scholar] [CrossRef]
- Juliá-Farré, S.; Salamon, T.; Riera, A.; Bera, M.N.; Lewenstein, M. Bounds on the capacity and power of quantum batteries. Phys. Rev. Res. 2020, 2, 023113. [Google Scholar] [CrossRef]
- Le, T.P.; Levinsen, J.; Modi, K.; Parish, M.M.; Pollock, F.A. Spin-chain model of a many-body quantum battery. Phys. Rev. A 2018, 97, 022106. [Google Scholar] [CrossRef]
- Andolina, G.M.; Farina, D.; Mari, A.; Pellegrini, V.; Giovannetti, V.; Polini, M. Charger-mediated energy transfer in exactly solvable models for quantum batteries. Phys. Rev. B 2018, 98, 205423. [Google Scholar] [CrossRef]
- Rosa, D.; Rossini, D.; Andolina, G.M.; Polini, M.; Carrega, M. Ultra-stable charging of fast-scrambling SYK quantum batteries. J. High Energy Phys. 2020, 2020, 67. [Google Scholar] [CrossRef]
- Crescente, A.; Carrega, M.; Sassetti, M.; Ferraro, D. Charging and energy fluctuations of a driven quantum battery. New J. Phys. 2020, 22, 063057. [Google Scholar] [CrossRef]
- Carrega, M.; Crescente, A.; Ferraro, D.; Sassetti, M. Dissipative dynamics of an open quantum battery. New J. Phys. 2020, 22, 083085. [Google Scholar] [CrossRef]
- Mitchison, M.T.; Goold, J.; Prior, J. Charging a quantum battery with linear feedback control. Quantum 2021, 5, 500. [Google Scholar] [CrossRef]
- Caravelli, F.; Yan, B.; García-Pintos, L.P.; Hamma, A. Energy storage and coherence in closed and open quantum batteries. Quantum 2021, 5, 505. [Google Scholar] [CrossRef]
- Seah, S.; Perarnau-Llobet, M.; Haack, G.; Brunner, N.; Nimmrichter, S. Quantum Speed-Up in Collisional Battery Charging. Phys. Rev. Lett. 2021, 127, 100601. [Google Scholar] [CrossRef] [PubMed]
- Gyhm, J.-Y.; Šafránek, D.; Rosa, D. Quantum Charging Advantage Cannot Be Extensive without Global Operations. Phys. Rev. Lett. 2022, 128, 140501. [Google Scholar] [CrossRef]
- Crescente, A.; Ferraro, D.; Carrega, M.; Sassetti, M. Enhancing coherent energy transfer between quantum devices via a mediator. Phys. Rev. Res. 2022, 4, 033216. [Google Scholar] [CrossRef]
- Shaghaghi, V.; Singh, V.; Carrega, M.; Rosa, D.; Benenti, G. Lossy Micromaser Battery: Almost Pure States in the Jaynes-Cummings Regime. Entropy 2023, 25, 430. [Google Scholar] [CrossRef]
- Santos, T.F.F.; de Almeida, Y.V.; Santos, M.F. Vacuum-enhanced charging of a quantum battery. Phys. Rev. A 2023, 107, 032203. [Google Scholar] [CrossRef]
- Ferraro, D.; Campisi, M.; Andolina, G.M.; Pellegrini, V.; Polini, M. High-Power Collective Charging of a Solid-State Quantum Battery. Phys. Rev. Lett. 2018, 120, 117702. [Google Scholar] [CrossRef]
- Ferraro, D.; Andolina, G.M.; Campisi, M.; Pellegrini, V.; Polini, M. Quantum supercapacitors. Phys. Rev. B 2019, 100, 075433. [Google Scholar] [CrossRef]
- Andolina, G.M.; Keck, M.; Mari, A.; Campisi, M.; Giovannetti, V.; Polini, M. Extractable Work, the Role of Correlations, and Asymptotic Freedom in Quantum Batteries. Phys. Rev. Lett. 2019, 122, 047702. [Google Scholar] [CrossRef]
- Crescente, A.; Carrega, M.; Sassetti, M.; Ferraro, D. Ultrafast charging in a two-photon Dicke quantum battery. Phys. Rev. B 2020, 102, 245407. [Google Scholar] [CrossRef]
- Delmonte, A.; Crescente, A.; Carrega, M.; Ferraro, D.; Sassetti, M. Characterization of a two-photon quantum battery: Initial conditions, stability and work extraction. Entropy 2021, 23, 612. [Google Scholar] [CrossRef] [PubMed]
- Erdman, P.A.; Andolina, G.M.; Giovannetti, V.; Noé, F. Reinforcement learning optimization of the charging of a Dicke quantum battery. arXiv 2022, arXiv:2212.12397. [Google Scholar]
- Dou, F.-Q.; Yang, F.-M. Superconducting transmon qubit-resonator quantum battery. Phys. Rev. A 2023, 107, 023725. [Google Scholar] [CrossRef]
- Gemme, G.; Andolina, G.M.; Pellegrino, F.M.D.; Sassetti, M.; Ferraro, D. Off-resonant Dicke Quantum Battery: Charging by Virtual Photons. Batteries 2023, 9, 197. [Google Scholar] [CrossRef]
- Quach, J.Q.; McGhee, K.E.; Ganzer, L.; Rouse, D.M.; Lovett, B.W.; Gauger, E.M.; Keeling, J.; Cerullo, G.; Lidzey, D.G.; Virgili, T. Superabsorption in an organic microcavity: Toward a quantum battery. Sci. Adv. 2022, 8, eabk3160. [Google Scholar] [CrossRef]
- Hu, C.-K.; Qiu, J.; Souza, P.J.P.; Yuan, J.; Zhou, Y.; Zhang, L.; Chu, J.; Pan, X.; Hu, L.; Li, J.; et al. Optimal charging of a superconducting quantum battery. Quantum Sci. Technol. 2022, 7, 045018. [Google Scholar] [CrossRef]
- Gemme, G.; Grossi, M.; Ferraro, D.; Vallecorsa, S.; Sassetti, M. IBM quantum platforms: A quantum battery perspective. Batteries 2022, 8, 43. [Google Scholar] [CrossRef]
- Scarlino, P.; van Woerkom, D.J.; Mendes, U.C.; Koski, J.V.; Landig, A.J.; Andersen, C.K.; Gasparinetti, S.; Reichl, C.; Wegscheider, W.; Ensslin, K.; et al. Coherent microwave-photon-mediated coupling between a semiconductor and a superconducting qubit. Nat. Commun. 2019, 10, 3011. [Google Scholar] [CrossRef]
- Landig, A.J.; Koski, J.V.; Scarlino, P.; Möller, C.; Abadillo-Uriel, J.C.; Kratochwil, B.; Reichl, C.; Wegscheider, W.; Coppersmith, S.N.; Friesen, M.; et al. Virtual-photon-mediated spin-qubit transmon coupling. Nat. Commun. 2019, 10, 5037. [Google Scholar] [CrossRef]
- Arrachea, L. Energy dynamics, heat production and heat-work conversion with qubits: Towards the development of quantum machines. Rep. Prog. Phys. 2023, 86, 036501. [Google Scholar] [CrossRef]
- Olaya-Castro, A.; Lee, C.F.; Fassioli Olsen, F.; Johnson, N.F. Efficiency of energy transfer in a light-harvesting system under quantum coherence. Phys. Rev. B 2008, 78, 085115. [Google Scholar] [CrossRef]
- Sahoo, H. Förster resonance energy transfer - A spectroscopic nanoruler: Principle and applications. J. Photochem. Photobiol. C Photochem. Rev. 2011, 12, 1. [Google Scholar] [CrossRef]
- Aufféves, A. Quantum Technologies Need a Quantum Energy Initiative. PRX Quantum 2022, 3, 020101. [Google Scholar] [CrossRef]
- Stevens, J.; Szombati, D.; Maffei, M.; Elouard, C.; Assouly, R.; Cottet, N.; Dassonneville, R.; Ficheux, Q.; Zeppetzauer, S.; Bienfait, A.; et al. Energetics of a Single Qubit Gate. Phys. Rev. Lett. 2022, 129, 110601. [Google Scholar] [CrossRef]
- Lewis, D.; Moutinho, J.P.; Costa, A.; Omar, Y.; Bose, S. Low-Dissipation Data Bus via Coherent Quantum Dynamics. arXiv 2023, arXiv:2304.02391v1. [Google Scholar]
- Laucht, A.; Hohls, F.; Ubbelohde, N.; Gonzalez-Zalba, M.F.; Reilly, D.J.; Stobbe, S.; Schroder, T.; Scarlino, P.; Koski, J.V.; Dzurak, A. Roadmap on quantum nanotechnologies. Nanotechnology 2021, 32, 162003. [Google Scholar] [CrossRef] [PubMed]
- Sung, Y.; Ding, L.; Braumüller, J.; Vepsälïnen, A.; Kannan, B.; Kjaergaard, M.; Greene, A.; Samach, G.O.; McNally, C.; Kim, D.; et al. Realization of High-Fidelity CZ and ZZ-Free iSWAP Gates with a Tunable Coupler. Phys. Rev. X 2021, 11, 021058. [Google Scholar] [CrossRef]
- Makhlin, Y.; Schön, G.; Shnirman, A. Quantum-state engineering with Josephson-junction devices. Rev. Mod. Phys. 2001, 73, 357. [Google Scholar] [CrossRef]
- Weiss, U. Quantum Dissipative Systems, 4th ed.; World Scientific: Singapore, 2012. [Google Scholar]
- Grifoni, M.; Sassetti, M.; Hanggi, P.; Weiss, U. Cooperative effects in the nonlinearly driven spin-boson system. Phys. Rev. E 1995, 52, 3596. [Google Scholar] [CrossRef]
- Calzona, A.; Carrega, M. Multi-mode architectures for noise-resilient superconducting qubits. Supercond. Sci. Technol. 2023, 36, 023001. [Google Scholar] [CrossRef]
- Devoret, M.H.; Schoelkopf, R.J. Superconducting Circuits for Quantum Information: An Outlook. Science 2013, 339, 1169. [Google Scholar] [CrossRef]
- Wendin, G. Quantum information processing with superconducting circuits: A review. Rep. Prog. Phys. 2017, 80, 106001. [Google Scholar] [CrossRef]
- Krantz, P.; Kjaergaard, M.; Yan, F.; Orlando, T.P.; Gustavsson, S.; Oliver, W.D. A quantum engineer’s guide to superconducting qubits. Appl. Phys. Rev. 2019, 6, 021318. [Google Scholar] [CrossRef]
- Schweber, S. On the application of Bergmann Hilbert spaces to dynamical problems. Ann. Phys. 1967, 41, 205. [Google Scholar] [CrossRef]
- Graham, R.; Höhnerbach, M. Two-state system coupled to a boson mode: Quantum dynamics and classical approximations. Z. Phys. B 1984, 57, 233. [Google Scholar] [CrossRef]
- Schleich, W.P. Quantum Optics in Phase Space; Wiley-VCH: Berlin, Germany, 2018. [Google Scholar]
- Thomas, G.; Pekola, J.P. Dynamical phase and quantum heat transport at fractional frequencies. arXiv 2022, arXiv:2207.07632. [Google Scholar]
- Alexander, T.; Kanazawa, N.; Egger, D.J.; Capelluto, L.; Wood, C.J.; Javadi-Abhari, A.; McKay, D.C. Qiskit pulse: Programming quantum computers through the cloud with pulses. Quantum Sci. Technol. 2020, 5, 044006. [Google Scholar] [CrossRef]









Disclaimer/Publisher’s Note: The statements, opinions and data contained in all publications are solely those of the individual author(s) and contributor(s) and not of MDPI and/or the editor(s). MDPI and/or the editor(s) disclaim responsibility for any injury to people or property resulting from any ideas, methods, instructions or products referred to in the content. |
© 2023 by the authors. Licensee MDPI, Basel, Switzerland. This article is an open access article distributed under the terms and conditions of the Creative Commons Attribution (CC BY) license (https://creativecommons.org/licenses/by/4.0/).
Share and Cite
Crescente, A.; Ferraro, D.; Carrega, M.; Sassetti, M. Analytically Solvable Model for Qubit-Mediated Energy Transfer between Quantum Batteries. Entropy 2023, 25, 758. https://doi.org/10.3390/e25050758
Crescente A, Ferraro D, Carrega M, Sassetti M. Analytically Solvable Model for Qubit-Mediated Energy Transfer between Quantum Batteries. Entropy. 2023; 25(5):758. https://doi.org/10.3390/e25050758
Chicago/Turabian StyleCrescente, Alba, Dario Ferraro, Matteo Carrega, and Maura Sassetti. 2023. "Analytically Solvable Model for Qubit-Mediated Energy Transfer between Quantum Batteries" Entropy 25, no. 5: 758. https://doi.org/10.3390/e25050758
APA StyleCrescente, A., Ferraro, D., Carrega, M., & Sassetti, M. (2023). Analytically Solvable Model for Qubit-Mediated Energy Transfer between Quantum Batteries. Entropy, 25(5), 758. https://doi.org/10.3390/e25050758

