Improving the Capacity of Quantum Dense Coding and the Fidelity of Quantum Teleportation by Weak Measurement and Measurement Reversal
Abstract
1. Introduction
2. The Evolution of the System
2.1. The Evolution of the System in the AD Noisy Channel with Memory
2.2. The Evolution of the System after WM and QMR Operation
3. Quantum Dense Coding and Quantum Teleportation under the AD Noisy Channel with Memory
3.1. Quantum Dense Coding
3.2. Quantum Teleportation
4. Quantum Dense Coding and Quantum Teleportation with WMR Protective Scheme under the AD Noisy Channel with Memory
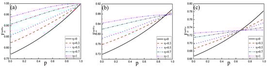
4.1. Quantum Dense Coding with WMR
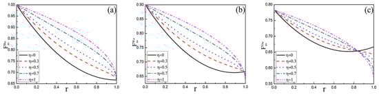
4.2. Quantum Teleportation with WMR
5. Conclusions
Author Contributions
Funding
Institutional Review Board Statement
Data Availability Statement
Conflicts of Interest
References
- Kundu, S.; Tan, E. Composably secure device-independent encryption with certified deletion. arXiv 2020, arXiv:1307.5403v1. [Google Scholar]
- Horodedecki, R.; Horodedecki, P.; Horodedecki, M.; Horodedecki, K. Quantum entanglement. Rev. Mod. Phys. 2009, 81, 865. [Google Scholar] [CrossRef]
- Zyczkowski, K.; Horodedecki, P.; Horodedecki, M.; Horodedecki, R. Dynamics of quantum entanglement. Phys. Rev. A 2001, 86, 012101. [Google Scholar] [CrossRef]
- Peng, L.C.; Wu, D.; Zhong, H.S.; Luo, Y.H.; Li, Y.; Hu, Y.; Jiang, X.; Chen, M.C.; Li, L.; Liu, N.L.; et al. Cloning of quantum entanglement. Phys. Rev. Lett. 2020, 125, 210502. [Google Scholar] [CrossRef]
- Bennett, C.H.; Brassard, G.; Crepeau, C.; Jozsa, R.; Peres, A.; Wootters, W.K. Teleporting an unknown quantum state via dual classical and Einstein-Podolsky-Rosen channels. Phys. Rev. Lett. 1993, 70, 1895. [Google Scholar] [CrossRef]
- Fan, H.; Wang, Y.N.; Jing, L.; Yue, J.D.; Shi, H.D.; Zhang, Y.L.; Mu, L.Z. Quantum cloning machines and the applications. Phys. Rep. 2014, 544, 241–322. [Google Scholar] [CrossRef]
- Boyer, M.; Gelles, R.; Kenigsberg, D.; Mor, T. Quantum key distribution. Phys. Rev. A 2016, 79, 030241. [Google Scholar]
- Nielsen, M.; Chuang, I. Quantum Information and Computation; Cambridge University Press: Cambridge, UK, 2000. [Google Scholar]
- Ladd, T.D.; Jelezko, F.; Laflamme, R.; Nakamura, Y.; Monroe, C.; O’Brien, J.L. Quantum computers. Nature 2010, 464, 45–53. [Google Scholar] [CrossRef]
- Andrew, M.; Childs, A.; John Preskill, J.; Renes, J. Quantum information and precision measurement. arXiv 1999, arXiv:9904021v2. [Google Scholar]
- Yu, T.; Eberly, J.H. Finite-time disentanglement via spontaneous emission. Phys. Rev. Lett. 2004, 93, 140404. [Google Scholar] [CrossRef]
- Yu, T.; Eberly, J.H. Quantum open system theory: Bipartite aspects. Phys. Rev. Lett. 2007, 97, 140403. [Google Scholar] [CrossRef] [PubMed]
- Almeida, M.P.; de Melo, F.; Hor-Meyll, M.; Salles, A.; Walborn, S.P.; Ribeiro, P.H.S.; Davidovich, L. Environmental-induced sudden death of entanglement. Science 2007, 316, 579–582. [Google Scholar] [CrossRef]
- Eberly, J.H.; Yu, T. The end of entanglement. Science 2007, 316, 555. [Google Scholar] [CrossRef] [PubMed]
- Aharonov, Y.; Albert, D.Z.; Vaidman, L. How the result of a component of the spin of a spin-1/2 particle can turn out to be 100. Phys. Rev. Lett. 1988, 60, 1351. [Google Scholar] [CrossRef]
- Aharonov, Y.; Albert, D.Z.; Casher, A.; Vaidman, L. Surprising quantum effects. Phys. Lett. A 1987, 124, 199. [Google Scholar] [CrossRef]
- Korotkov, A.N.; Keane, K. Decoherence suppression by quantum measurement reversal. Phys. Rev. A 2010, 81, 040103. [Google Scholar] [CrossRef]
- Lee, J.C.; Jeong, Y.C.; Kim, Y.S.; Kim, Y.H. Experimental demonstration of decoherence suppression via quantum measurement reversal. Opt. Express 2011, 19, 16309. [Google Scholar] [CrossRef]
- Sun, Q.Q.; Al-Amri, Q.M.; Zubairy, M.S. Reversing the weak measurement of an arbitrary field with finite photon number. Phys. Rev. A 2009, 80, 033838. [Google Scholar] [CrossRef]
- Sun, Q.Q.; Al-Amri, Q.M.; Davidovich, L.; Zubairy, M.S. Reversing entanglement change by weak measurement. Phys. Rev. A 2010, 82, 052323. [Google Scholar] [CrossRef]
- Kim, Y.S.; Lee, J.C.; Kwon, O.; Kim, Y.H. Protecting entanglement from decoherence using weak measurement and quantum measurement reversal. Nat. Phys. 2012, 8, 117–120. [Google Scholar] [CrossRef]
- Man, Z.X.; Xia, Y.J. Manipulating entanglement of two qubits in a commom environment by means of weak measurement and quantum measurement reversals. Phys. Rev. A 2012, 86, 012325. [Google Scholar] [CrossRef]
- Man, Z.X.; Xia, Y.J. Enhancing entanglement of two qubits undergoing independent decoherences by local pre- and postmeasurements. Phys. Rev. A 2012, 86, 052322. [Google Scholar] [CrossRef]
- Xiao, X. Protecting qubit-qutrit entanglement from amplitude damping decoherence via weak measurement and reversal. Phys. Scr. 2014, 89, 065102. [Google Scholar] [CrossRef]
- Xiao, X.; Li, Y.L. Protecting qutrit-qutrit entanglement by weak measurement and reversal. Eur. Phys. J. D 2013, 67, 204. [Google Scholar] [CrossRef]
- Tian, M.B.; Zhang, G.F. Improving the capacity of quantum dense coding by weak measurement and reversal measurement. Quantum Inf. Process 2018, 17, 19. [Google Scholar] [CrossRef]
- Li, Y.L.; Zu, C.J.; Wei, D.M. Enhance quantum teleportation under correlated amplitude damping deocherence by weak measurement and quantum measurement reversal. Quantum Inf. Process 2019, 18, 2. [Google Scholar] [CrossRef]
- Li, Y.L.; Zu, C.J.; Wei, D.M.; Wang, C.M. Correlated effects in pauli channels for quantum teleportation. Int. J. Theor. Phys. 2019, 58, 1350–1358. [Google Scholar] [CrossRef]
- Wang, M.J.; Xia, Y.J.; Yang, Y.; Cao, L.Z.; Zhang, Q.W.; Li, Y.D.; Zhao, J.Q. Protecting the entanglement of two-qubit over quantum channels with memory via weak measurement and quantum measurement reversal. Chin. Phys. B 2020, 29, 110307. [Google Scholar] [CrossRef]
- Mattle, K.; Weinfurter, H.; Kwiat, P.G.; Zeilinger, A. Dense coding in experimental quantum communication. Phys. Rev. Lett. 1996, 76, 4656. [Google Scholar] [CrossRef] [PubMed]
- Zhang, G.F. Effects of anisotropy on optimal dense coding. Phys. Scr. 2009, 79, 015001. [Google Scholar] [CrossRef]
- Hiroshima, T. Optimal dense coding with mixed state entanglement. J. Phys. A Math. Gen. 2001, 34, 6907. [Google Scholar] [CrossRef]
- Hu, X.M.; Chen, J.S.; Liu, B.H.; Guo, Y.; Huang, Y.F.; Zhou, Z.Q.; Han, Y.J.; Li, C.F.; Guo, G.C. Experimental test of Compatibility-Loophole-Free contextuality with spatially separated entangled qutrits. Phys. Rev. Lett. 2016, 117, 170403. [Google Scholar] [CrossRef]
- Chandra1, A.; Dai, W.H.; Towsley, D. Scheduling quantum teleportation with noisy memories. arXiv 2022, arXiv:2205.06300v1. [Google Scholar]
- Bondarenko, D.; Salzmann, R.; Schmiesing, V.S. Learning quantum processes with memory-quantum recurrent neural networks. arXiv 2023, arXiv:2301.08167v1. [Google Scholar]
- Loyka, S.; Charalambous, C.D. On the capacity of Gaussian MIMO channels with memory. arXiv 2022, arXiv:2205.05039v1. [Google Scholar] [CrossRef]
- Guan, Q.X.; Xu, X.L. Feedback capacity of Gaussian channels with memory. arXiv 2022, arXiv:2207.10580v1. [Google Scholar]







Disclaimer/Publisher’s Note: The statements, opinions and data contained in all publications are solely those of the individual author(s) and contributor(s) and not of MDPI and/or the editor(s). MDPI and/or the editor(s) disclaim responsibility for any injury to people or property resulting from any ideas, methods, instructions or products referred to in the content. |
© 2023 by the authors. Licensee MDPI, Basel, Switzerland. This article is an open access article distributed under the terms and conditions of the Creative Commons Attribution (CC BY) license (https://creativecommons.org/licenses/by/4.0/).
Share and Cite
Wang, M.; Sun, B.; Cao, L.; Yang, Y.; Liu, X.; Wang, X.; Zhao, J. Improving the Capacity of Quantum Dense Coding and the Fidelity of Quantum Teleportation by Weak Measurement and Measurement Reversal. Entropy 2023, 25, 736. https://doi.org/10.3390/e25050736
Wang M, Sun B, Cao L, Yang Y, Liu X, Wang X, Zhao J. Improving the Capacity of Quantum Dense Coding and the Fidelity of Quantum Teleportation by Weak Measurement and Measurement Reversal. Entropy. 2023; 25(5):736. https://doi.org/10.3390/e25050736
Chicago/Turabian StyleWang, Meijiao, Bing Sun, Lianzhen Cao, Yang Yang, Xia Liu, Xinle Wang, and Jiaqiang Zhao. 2023. "Improving the Capacity of Quantum Dense Coding and the Fidelity of Quantum Teleportation by Weak Measurement and Measurement Reversal" Entropy 25, no. 5: 736. https://doi.org/10.3390/e25050736
APA StyleWang, M., Sun, B., Cao, L., Yang, Y., Liu, X., Wang, X., & Zhao, J. (2023). Improving the Capacity of Quantum Dense Coding and the Fidelity of Quantum Teleportation by Weak Measurement and Measurement Reversal. Entropy, 25(5), 736. https://doi.org/10.3390/e25050736

