A Resource-Adaptive Routing Scheme with Wavelength Conflicts in Quantum Key Distribution Optical Networks
Abstract
1. Introduction
2. Point-to-Point QKD Mechanism
- Alice generates two random sequences of the same length, and , where determines the chosen measurement basis and determines the single-photon polarization state to be sent. Alice prepares the single-photon polarization states (i.e., qubits, called raw keys) from the chosen random sequence and sends them to Bob via QCh.
- Bob selects a random sequence to determine the measurement basis, performs measurement for the received quantum states, and records the measurement results as .
- Alice announces the sequence of the measurement basis chosen via the public channel (PCh). Bob compares it with his own sequence of the measurement basis. When they choose the same basis, Alice and Bob keep the data and convert them into bit information (called sifted keys); otherwise, the data is discarded.
- Alice and Bob disclose part of the sifted keys to perform error estimation and calculate the corresponding quantum bit error rate. If the quantum bit error rate is higher than a set error threshold, the QKD process is terminated, and step 1 is repeated.
- Finally, Alice and Bob complete the post-processing process via PCh, including information reconciliation and privacy amplification, to obtain the final secure bits (called secret keys).
3. Trusted Relay
4. Quantum Key Storage and Provision
5. Problem Statement
6. The Proposed RAWC Scheme
6.1. Scheme Description
6.2. Scheme Detail
6.2.1. Link Weight
6.2.2. Wavelength Conflict Degree
- Calculate the wavelength conflict degree of each alternative path for request . Firstly, assume for the moment that the path with the smallest weight of the other service requests is their communication path, which is used to calculate the wavelength conflict degree of each alternative path for . Then, the wavelength conflict degree of each alternative path for is calculated according to Equation (2). Finally, the path with the minimum wavelength conflict degree is selected as the communication path, denoted as .
- Calculate the wavelength conflict degree of each alternative path for request . According to step 1, when calculating the wavelength conflict degree of the alternative paths for , the communication path of is determined as . The path with the smallest weight of the other service requests is assumed to be their communication path. Then, calculate the wavelength conflict degree of each alternative path for . Finally, select the path with the smallest wavelength conflict degree as the communication path, denoted as .
- Calculate the wavelength conflict degree of each alternative path for request . According to steps 1 and 2, the communication paths for and are and , respectively. Assume that the path with the smallest weight of the other service requests is their communication path. Then, calculate the wavelength conflict degree of each alternative path for . Finally, select the path with the smallest wavelength conflict degree as the communication path, denoted as .
6.3. RAWC Algorithm
| Algorithm 1 The case without wavelength conflicts |
| Input: , , , , , Output: SR, WRU, QKU of QKD service requests
|
| Algorithm 2 The case with wavelength conflicts |
| Input: , , , , , Output: SR, WRU, QKU of QKD service requests
|
7. Simulation Results and Analysis
7.1. Verification of the RAWC Algorithm on the Six-Node Network Topology
7.2. Service Request SR on Two Network Topologies
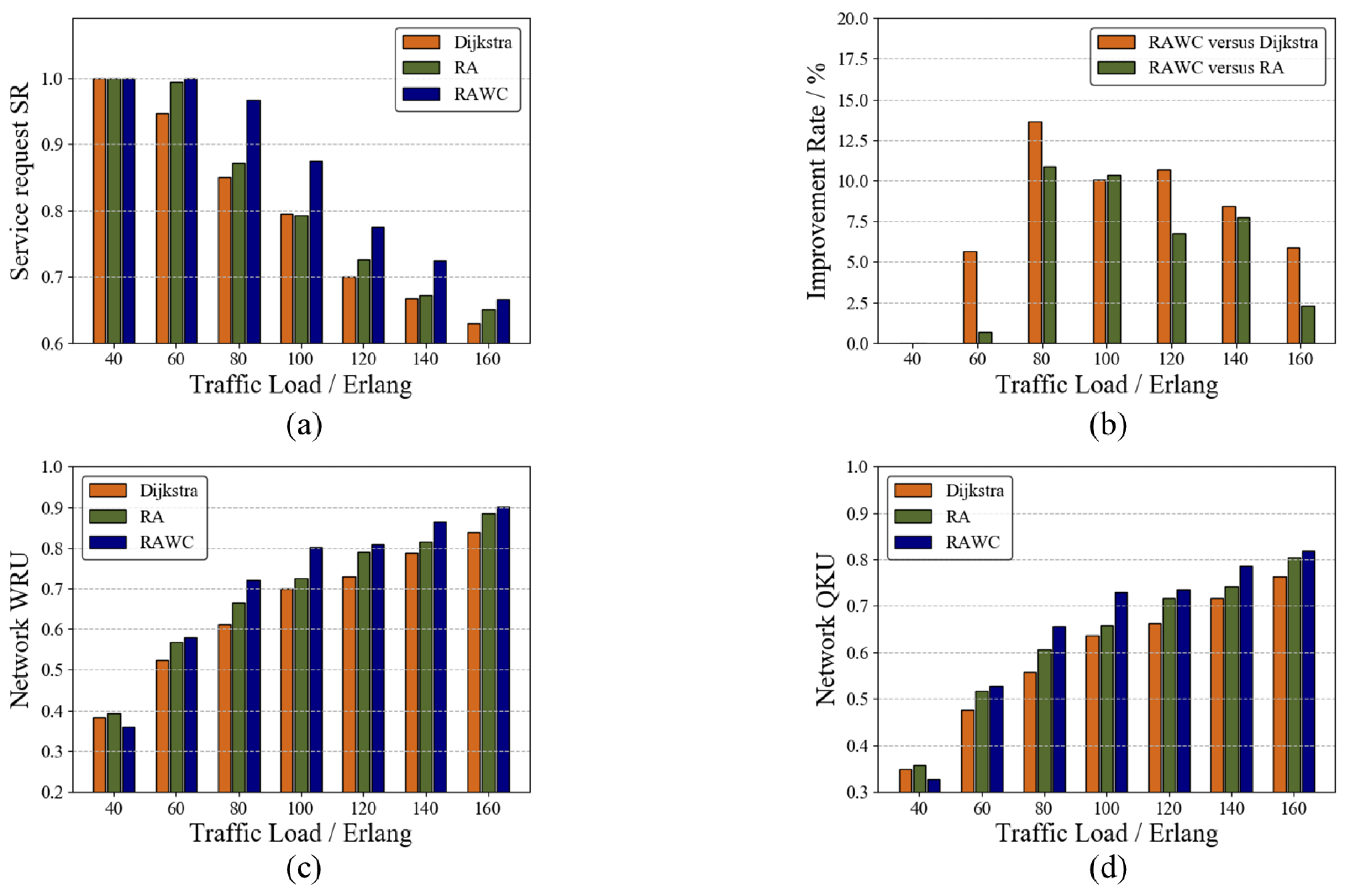
7.2.1. Comparison of Different Schemes
7.2.2. Service Request SR of the RAWC Scheme in Different Resource Cases
7.2.3. Service Request SR of the RAWC Scheme under Different Scenarios
8. Open Discussion and Future Outlook
- Allocation of multiple network resources: The routing scheme proposed in this paper only considers the allocation of the wavelength and key resources. Based on the use of WDM technology to construct QKDON, TDM and SDM technologies further improve resource utilization and transmission capacity. Therefore, the introduction of the above two techniques and the allocation of time slots and fiber resources can be considered in future research.
- Survivability of QKDON: With the development of QKD technology, the survivability issues of QKDON have also received extensive attention. Actually, due to factors such as natural disasters or man-made damage, link failure will inevitably occur. The study of the survivability of QKDON is of great importance for the practicality of QKD. Survivability involves two aspects: protection and recovery. Different from classical optical networks, the failure of QKDON will make it impossible to generate quantum keys. Therefore, how to protect the quantum channel in the network and recover the service transmission in time after the failure is an important research topic.
- Applicability of QKD and other encryption methods: Post-quantum cryptography (PQC) is another secure encryption method that can be used to resist quantum computing in addition to QKD. QKD solves the key distribution problem, while PQC studies the security of cryptographic algorithms in quantum environments. QKD and PQC differ in terms of practical conditions and application scenarios. Assessing the applicability of QKD and PQC for different security requirements is a worthwhile research topic in the network. In addition, we need to compare the costs of deploying QKD devices and PQC in different security-demanding circumstances.
9. Conclusions
Author Contributions
Funding
Institutional Review Board Statement
Data Availability Statement
Acknowledgments
Conflicts of Interest
References
- Winzer, P.J. Scaling optical fiber networks: Challenges and solutions. Opt. Photonics News 2015, 26, 28–35. [Google Scholar] [CrossRef]
- Skorin-Kapov, N.; Furdek, M.; Zsigmond, S.; Wosinska, L. Physical-layer security in evolving optical networks. IEEE Commun. Mag. 2016, 54, 110–117. [Google Scholar] [CrossRef]
- Smith, K.T.; Jones, A.; Johnson, L.; Smith, L.M. Examination of cybercrime and its effects on corporate stock value. J. Inf. Commun. Ethics Soc. 2019, 17, 42–60. [Google Scholar] [CrossRef]
- Hallman, R.; Bryan, J.; Palavicini, G.; Divita, J.; Romero-Mariona, J. IoDDoS-the internet of distributed denial of sevice attacks. In Proceedings of the 2nd International Conference on Internet of Things, Big Data and Security, Porto, Portugal, 24–26 April 2017; SCITEPRESS: Setúbal, Portugal, 2017; pp. 47–58. [Google Scholar]
- Connolly, L.Y.; Wall, D.S. The rise of crypto-ransomware in a changing cybercrime landscape: Taxonomising countermeasures. Comput. Secur. 2019, 87, 101568. [Google Scholar] [CrossRef]
- Desmedt, Y.; Quisquater, J.J. Public-key systems based on the difficulty of tampering (is there a difference between DES and RSA?). In Proceedings of the Advances in Cryptology—CRYPTO’86, Santa Barbara, CA, USA, 1986; Proceedings 6. Springer: Berlin/Heidelberg, Germany, 1986; pp. 111–117. [Google Scholar]
- Goldwasser, S.; Tauman Kalai, Y. Cryptographic assumptions: A position paper. In Proceedings of the Theory of Cryptography: 13th International Conference, TCC 2016-A, Tel Aviv, Israel, 10–13 January 2016; Proceedings, Part I 13. Springer: Berlin/Heidelberg, Germany, 2016; pp. 505–522. [Google Scholar]
- Zhong, H.S.; Wang, H.; Deng, Y.H.; Chen, M.C.; Peng, L.C.; Luo, Y.H.; Qin, J.; Wu, D.; Ding, X.; Hu, Y.; et al. Quantum computational advantage using photons. Science 2020, 370, 1460–1463. [Google Scholar] [CrossRef]
- Fisher, K.A.; Broadbent, A.; Shalm, L.; Yan, Z.; Lavoie, J.; Prevedel, R.; Jennewein, T.; Resch, K.J. Quantum computing on encrypted data. Nat. Commun. 2014, 5, 3074. [Google Scholar] [CrossRef]
- Shor, P.W. Algorithms for quantum computation: Discrete logarithms and factoring. In Proceedings of the IEEE 35th Annual Symposium on Foundations of Computer Science, Santa Fe, NM, USA, 20–22 November 1994; pp. 124–134. [Google Scholar]
- Shor, P.W. Polynomial-time algorithms for prime factorization and discrete logarithms on a quantum computer. SIAM Rev. 1999, 41, 303–332. [Google Scholar] [CrossRef]
- Moody, D. Post-Quantum Cryptography Standardization: Announcement and outline of NIST’s Call for Submissions. In Proceedings of the International Conference on Post-Quantum Cryptography-PQCrypto, Fukuoka, Japan, 24–26 February 2016. [Google Scholar]
- Bennett, C.H. Quantum cryptography: Public key distribution and coin tossing. In Proceedings of the IEEE International Conference on Computers, Bangalore, India, 9–12 December 1984. [Google Scholar]
- Sebastian, B.C.; Cenar, U.A. Advantage of Using Elliptic Curve Cryptography in SSL/TLS; Department of Computer Science University of California Santa Barbara, cs 290G Fall Term: Santa Barbara, CA, USA, 2015. [Google Scholar]
- Gupta, K.; Silakari, S. Ecc over rsa for asymmetric encryption: A review. Int. J. Comput. Sci. Issues (IJCSI) 2011, 8, 370. [Google Scholar]
- Xie, J.; Basu, K.; Gaj, K.; Guin, U. Special session: The recent advance in hardware implementation of post-quantum cryptography. In Proceedings of the 2020 IEEE 38th VLSI Test Symposium (VTS), San Diego, CA, USA, 5–8 April 2020; IEEE: Piscataway, NJ, USA, 2020; pp. 1–10. [Google Scholar]
- Schamberger, T.; Renner, J.; Sigl, G.; Wachter-Zeh, A. A power side-channel attack on the CCA2-secure HQC KEM. In Proceedings of the Smart Card Research and Advanced Applications: 19th International Conference, CARDIS 2020, Virtual Event, 18–19 November 2020; Revised Selected Papers 19. Springer: Cham, Switzerland, 2021; pp. 119–134. [Google Scholar]
- Simmons, P. Security through amnesia: A software-based solution to the cold boot attack on disk encryption. In Proceedings of the 27th Annual Computer Security Applications Conference, Orlando, FL, USA, 5–9 December 2011; pp. 73–82. [Google Scholar]
- Kocher, P.C. Timing attacks on implementations of Diffie-Hellman, RSA, DSS, and other systems. In Proceedings of the Advances in Cryptology—CRYPTO’96: 16th Annual International Cryptology Conference, Santa Barbara, CA, USA, 18–22 August 1996; Proceedings 16. Springer: Berlin/Heidelberg, Germany, 1996; pp. 104–113. [Google Scholar]
- Abdulgadir, A.; Mohajerani, K.; Dang, V.B.; Kaps, J.P.; Gaj, K. A Lightweight Implementation of Saber Resistant Against Side-Channel Attacks. In Proceedings of the Progress in Cryptology–INDOCRYPT 2021: 22nd International Conference on Cryptology in India, Jaipur, India, 12–15 December 2021; Proceedings 22. Springer: Cham, Switzerland, 2021; pp. 224–245. [Google Scholar]
- Shannon, C.E. Communication theory of secrecy systems. Bell Syst. Tech. J. 1949, 28, 656–715. [Google Scholar] [CrossRef]
- Lo, H.K.; Chau, H.F. Unconditional security of quantum key distribution over arbitrarily long distances. Science 1999, 283, 2050–2056. [Google Scholar] [CrossRef]
- Gisin, N.; Ribordy, G.; Tittel, W.; Zbinden, H. Quantum cryptography. Rev. Mod. Phys. 2002, 74, 145. [Google Scholar] [CrossRef]
- Wootters, W.K.; Zurek, W.H. A single quantum cannot be cloned. Nature 1982, 299, 802–803. [Google Scholar] [CrossRef]
- Runser, R.J.; Chapuran, T.; Toliver, P.; Goodman, M.; Jackel, J.; Nweke, N.; McNown, S.; Hughes, R.; Peterson, C.; McCabe, K.; et al. Demonstration of 1. In 3 μm quantum key distribution (QKD) compatibility with 1.5 μm metropolitan wavelength division multiplexed (WDM) systems. In Proceedings of the Optical Fiber Communication Conference, Anaheim, CA, USA, 6–11 March 2005; Optica Publishing Group: Washington, DC, USA, 2005; p. OWI2. [Google Scholar]
- Townsend, P.D. Simultaneous quantum cryptographic key distribution and conventional data transmission over installed fibre using wavelength-division multiplexing. Electron. Lett. 1997, 33, 188–190. [Google Scholar] [CrossRef]
- Qi, B.; Zhu, W.; Qian, L.; Lo, H.K. Feasibility of quantum key distribution through a dense wavelength division multiplexing network. New J. Phys. 2010, 12, 103042. [Google Scholar] [CrossRef]
- Peters, N.; Toliver, P.; Chapuran, T.; Runser, R.; McNown, S.; Peterson, C.; Rosenberg, D.; Dallmann, N.; Hughes, R.; McCabe, K.; et al. Dense wavelength multiplexing of 1550 nm QKD with strong classical channels in reconfigurable networking environments. New J. Phys. 2009, 11, 045012. [Google Scholar] [CrossRef]
- Wang, L.J.; Zou, K.H.; Sun, W.; Mao, Y.; Zhu, Y.X.; Yin, H.L.; Chen, Q.; Zhao, Y.; Zhang, F.; Chen, T.Y.; et al. Long-distance copropagation of quantum key distribution and terabit classical optical data channels. Phys. Rev. A 2017, 95, 012301. [Google Scholar] [CrossRef]
- Aguado, A.; Hugues-Salas, E.; Haigh, P.A.; Marhuenda, J.; Price, A.B.; Sibson, P.; Kennard, J.E.; Erven, C.; Rarity, J.G.; Thompson, M.G.; et al. Secure NFV orchestration over an SDN-controlled optical network with time-shared quantum key distribution resources. J. Light. Technol. 2017, 35, 1357–1362. [Google Scholar] [CrossRef]
- Yu, X.; Li, S.; Zhao, Y.; Cao, Y.; Nag, A.; Zhang, J. Routing, core and wavelength allocation in multi-core-fiber-based quantum-key-distribution-enabled optical networks. IEEE Access 2021, 9, 99842–99852. [Google Scholar] [CrossRef]
- Thyagaturu, A.S.; Mercian, A.; McGarry, M.P.; Reisslein, M.; Kellerer, W. Software defined optical networks (SDONs): A comprehensive survey. IEEE Commun. Surv. Tutor. 2016, 18, 2738–2786. [Google Scholar] [CrossRef]
- Cao, Y.; Zhao, Y.; Colman-Meixner, C.; Yu, X.; Zhang, J. Key on demand (KoD) for software-defined optical networks secured by quantum key distribution (QKD). Opt. Express 2017, 25, 26453–26467. [Google Scholar] [CrossRef]
- Cao, Y.; Zhao, Y.; Yu, X.; Wu, Y. Resource assignment strategy in optical networks integrated with quantum key distribution. J. Opt. Commun. Netw. 2017, 9, 995–1004. [Google Scholar] [CrossRef]
- Wang, H.; Zhao, Y.; Tornatore, M.; Yu, X.; Zhang, J. Dynamic secret-key provisioning in quantum-secured passive optical networks (PONs). Opt. Express 2021, 29, 1578–1596. [Google Scholar] [CrossRef] [PubMed]
- Chen, L.; Chen, Q.; Zhao, M.; Chen, J.; Liu, S.; Zhao, Y. DDKA-QKDN: Dynamic On-Demand Key Allocation Scheme for Quantum Internet of Things Secured by QKD Network. Entropy 2022, 24, 149. [Google Scholar] [CrossRef] [PubMed]
- Chen, L.Q.; Zhao, M.N.; Yu, K.L.; Tu, T.Y.; Zhao, Y.L.; Wang, Y.C. ADA-QKDN: A new quantum key distribution network routing scheme based on application demand adaptation. Quantum Inf. Process. 2021, 20, 1–22. [Google Scholar] [CrossRef]
- Lo, H.K.; Curty, M.; Qi, B. Measurement-device-independent quantum key distribution. Phys. Rev. Lett. 2012, 108, 130503. [Google Scholar] [CrossRef]
- Yin, H.L.; Chen, T.Y.; Yu, Z.W.; Liu, H.; You, L.X.; Zhou, Y.H.; Chen, S.J.; Mao, Y.; Huang, M.Q.; Zhang, W.J.; et al. Measurement-device-independent quantum key distribution over a 404 km optical fiber. Phys. Rev. Lett. 2016, 117, 190501. [Google Scholar] [CrossRef]
- Liu, H.; Wang, W.; Wei, K.; Fang, X.T.; Li, L.; Liu, N.L.; Liang, H.; Zhang, S.J.; Zhang, W.; Li, H.; et al. Experimental demonstration of high-rate measurement-device-independent quantum key distribution over asymmetric channels. Phys. Rev. Lett. 2019, 122, 160501. [Google Scholar] [CrossRef]
- Cao, Y.; Li, Y.H.; Yang, K.X.; Jiang, Y.F.; Li, S.L.; Hu, X.L.; Abulizi, M.; Li, C.L.; Zhang, W.; Sun, Q.C.; et al. Long-distance free-space measurement-device-independent quantum key distribution. Phys. Rev. Lett. 2020, 125, 260503. [Google Scholar] [CrossRef] [PubMed]
- Hua, X.; Hu, M.; Guo, B. Multi-User Measurement-Device-Independent Quantum Key Distribution Based on GHZ Entangled State. Entropy 2022, 24, 841. [Google Scholar] [CrossRef] [PubMed]
- Lucamarini, M.; Yuan, Z.L.; Dynes, J.F.; Shields, A.J. Overcoming the rate–distance limit of quantum key distribution without quantum repeaters. Nature 2018, 557, 400–403. [Google Scholar] [CrossRef]
- Minder, M.; Pittaluga, M.; Roberts, G.L.; Lucamarini, M.; Dynes, J.; Yuan, Z.; Shields, A.J. Experimental quantum key distribution beyond the repeaterless secret key capacity. Nat. Photonics 2019, 13, 334–338. [Google Scholar] [CrossRef]
- Wang, S.; Yin, Z.Q.; He, D.Y.; Chen, W.; Wang, R.Q.; Ye, P.; Zhou, Y.; Fan-Yuan, G.J.; Wang, F.X.; Chen, W.; et al. Twin-field quantum key distribution over 830-km fibre. Nat. Photonics 2022, 16, 154–161. [Google Scholar] [CrossRef]
- Van Meter, R.; Touch, J. Designing quantum repeater networks. IEEE Commun. Mag. 2013, 51, 64–71. [Google Scholar] [CrossRef]
- Cao, Y.; Zhao, Y.; Wu, Y.; Yu, X.; Zhang, J. Time-scheduled quantum key distribution (QKD) over WDM networks. J. Light. Technol. 2018, 36, 3382–3395. [Google Scholar] [CrossRef]
- Nweke, N.; Toliver, P.; Runser, R.; McNown, S.; Khurgin, J.; Chapuran, T.; Goodman, M.; Hughes, R.; Peterson, C.; McCabe, K.; et al. Experimental characterization of the separation between wavelength-multiplexed quantum and classical communication channels. Appl. Phys. Lett. 2005, 87, 174103. [Google Scholar] [CrossRef]
- Lucamarini, M.; Patel, K.; Dynes, J.; Fröhlich, B.; Sharpe, A.; Dixon, A.; Yuan, Z.; Penty, R.; Shields, A. Efficient decoy-state quantum key distribution with quantified security. Opt. Express 2013, 21, 24550–24565. [Google Scholar] [CrossRef]










| Schemes | Focus Points | Security Probability/ Success Rate | Resource Utilization | Improvement Rate to Benchmark |
|---|---|---|---|---|
| KoD [33] | security requirements of different services | up to 1.0 | - | - |
| RWTA [34] | static routing, wavelength, and time-slot assignment | up to 1.0 | wavelength utilization: up to 0.5; time-slot utilization: up to 0.75 | time-slot utilization: 0.16 |
| DSKP [35] | the number of keys in QKP | - | time-slot utilization: up to 0.55 | - |
| DDKA [36] | requirements of the IoT application | up to 0.95 | - | SR: up to 0.26 |
| ADA [37] | key volume, key update rate and path hops required by the application | up to 1.0 | - | SR: 0.11 on average |
| RAWC (our scheme) | resource status of the network and wavelength conflicts | up to 1.0 | wavelength utilization: up to 0.9 | SR: up to 0.3 |
| Notations | Definitions |
|---|---|
| QKDON network topology | |
| V | the node sets of QKDON |
| E | the bi-directional fiber link sets of QKDON |
| the weight of link | |
| QKP | QKP corresponding to link |
| the initial number of wavelengths on each link | |
| the initial number of quantum keys stored in QKP for each link | |
| the real-time remaining number of wavelengths available on link | |
| the real-time remaining number of quantum keys available in QKP | |
| the QKD service request | |
| the source node of the QKD service request | |
| the destination node of the QKD service request | |
| the number of quantum keys required for the QKD service request | |
| the jth alternative path of the QKD service request | |
| the wavelength conflict degree of the jth alternative path for the QKD service request | |
| the total number of available wavelengths for path | |
| wavelength conflict marker | |
| the communication paths of the QKD service request in two cases | |
| SR | the success rate of QKD service requests |
| WRU | wavelength resource utilization |
| QKU | quantum key utilization |
Disclaimer/Publisher’s Note: The statements, opinions and data contained in all publications are solely those of the individual author(s) and contributor(s) and not of MDPI and/or the editor(s). MDPI and/or the editor(s) disclaim responsibility for any injury to people or property resulting from any ideas, methods, instructions or products referred to in the content. |
© 2023 by the authors. Licensee MDPI, Basel, Switzerland. This article is an open access article distributed under the terms and conditions of the Creative Commons Attribution (CC BY) license (https://creativecommons.org/licenses/by/4.0/).
Share and Cite
Zhao, T.; Fan, X.; Dong, B.; Niu, Q.; Guo, B. A Resource-Adaptive Routing Scheme with Wavelength Conflicts in Quantum Key Distribution Optical Networks. Entropy 2023, 25, 732. https://doi.org/10.3390/e25050732
Zhao T, Fan X, Dong B, Niu Q, Guo B. A Resource-Adaptive Routing Scheme with Wavelength Conflicts in Quantum Key Distribution Optical Networks. Entropy. 2023; 25(5):732. https://doi.org/10.3390/e25050732
Chicago/Turabian StyleZhao, Tao, Xiaodong Fan, Bowen Dong, Quanhao Niu, and Banghong Guo. 2023. "A Resource-Adaptive Routing Scheme with Wavelength Conflicts in Quantum Key Distribution Optical Networks" Entropy 25, no. 5: 732. https://doi.org/10.3390/e25050732
APA StyleZhao, T., Fan, X., Dong, B., Niu, Q., & Guo, B. (2023). A Resource-Adaptive Routing Scheme with Wavelength Conflicts in Quantum Key Distribution Optical Networks. Entropy, 25(5), 732. https://doi.org/10.3390/e25050732

