Semi-Empirical Satellite-to-Ground Quantum Key Distribution Model for Realistic Receivers
Abstract
1. Introduction
2. Satellite-to-Ground Communication Geometry
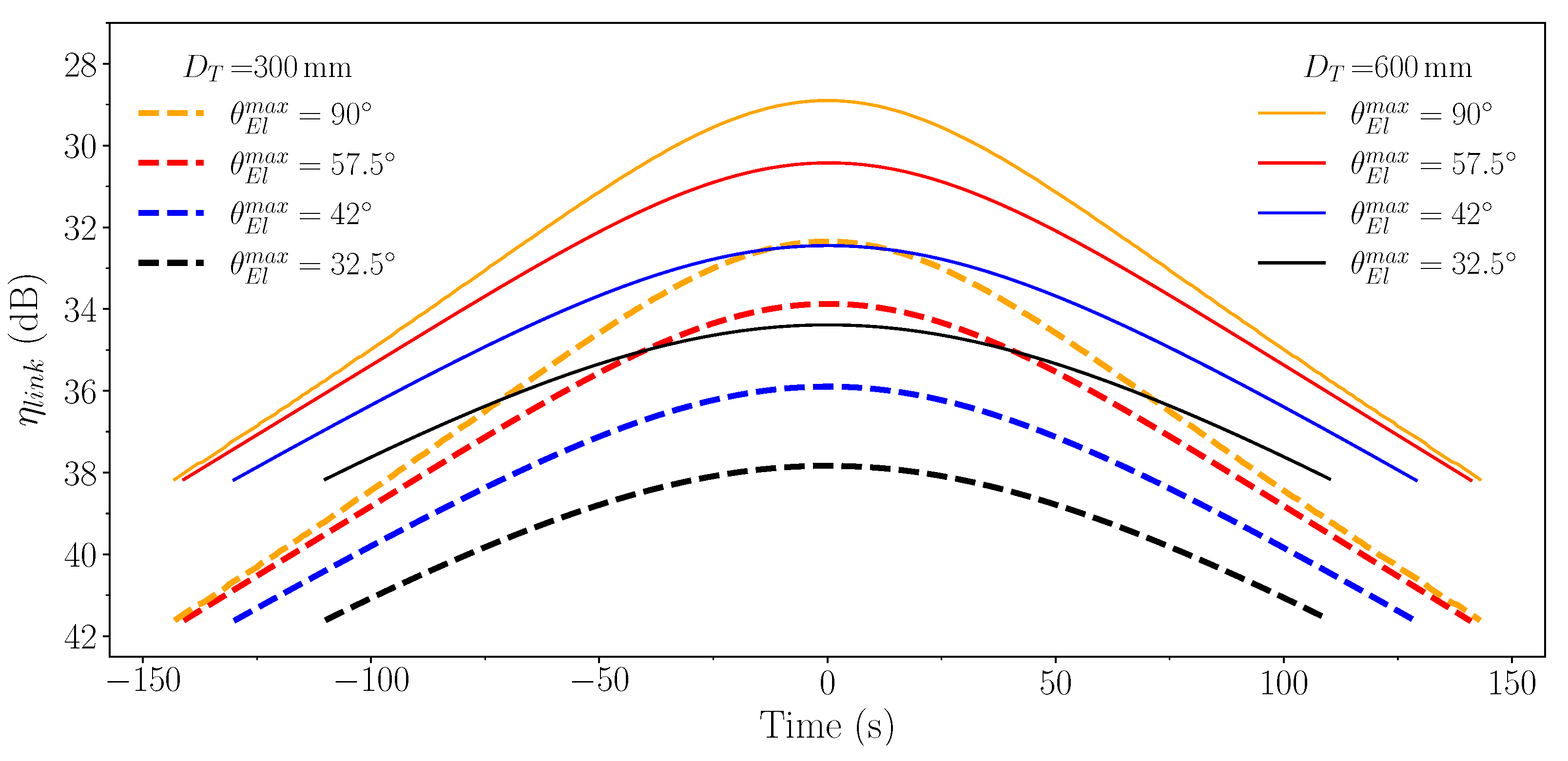
3. Link Efficiency for 300-mm and 600-mm Aperture Ground Stations
4. Satellite-to-Ground QKD Analysis
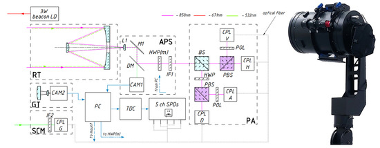
4.1. Satellite-QKD Model and Parameters Verification
4.2. Secret Keys for 300 mm and 600 mm Ground Stations
5. Conclusions
Author Contributions
Funding
Institutional Review Board Statement
Data Availability Statement
Acknowledgments
Conflicts of Interest
Appendix A
Appendix A.1. Derivation of Equation (2)
Appendix A.2. Derivation of Equation (3)
Appendix B. Atmospheric Extinction Coefficient
| Date | Star Name | Altitude () | Apparent Magnitude () I-Band [43] | Count Rate, Kcps |
|---|---|---|---|---|
| 9 March 2022 (clear night) | Ursae Majoris | 49.6° | 2.16 | 1100 20 |
| Ursae Majoris | 56.6° | 2.16 | 1090 20 | |
| Ursae Majoris | 62.7° | 2.16 | 1110 20 | |
| Draconis | 40.0° | 2.35 | 344 7 | |
| Draconis | 44.1° | 2.35 | 336 7 | |
| Draconis | 47.6° | 2.35 | 344 7 | |
| 24 June 2021 (foggy night) | o Ursae Majoris | 30.8° | 2.31 | 800 15 |
| Boötis | 33.3° | 1.95 | 1350 30 | |
| Cygni | 51.1° | 1.19 | 2850 60 | |
| Boötis | 53.3° | 2.8 | 738 15 | |
| Ursae Minoris | 55.0° | 1.22 | 3230 60 | |
| Cygni | 58.9° | 1.04 | 3940 80 | |
| Herculis | 70.6° | 2.35 | 1070 20 |
Appendix C. 300 mm and 600 mm Aperture Ground Stations


References
- Scarani, V.; Bechmann-Pasquinucci, H.; Cerf, N.J.; Dušek, M.; Lütkenhaus, N.; Peev, M. The security of practical quantum key distribution. Rev. Mod. Phys. 2009, 81, 1301–1350. [Google Scholar] [CrossRef]
- Bennett, C.H.; Brassard, G. Quantum cryptography: Public key distribution and coin tossing. Theor. Comput. Sci. 2014, 560, 7–11. [Google Scholar] [CrossRef]
- Bloom, Y.; Fields, I.; Maslennikov, A.; Rozenman, G.G. Quantum Cryptography—A Simplified Undergraduate Experiment and Simulation. Physics 2022, 4, 104–123. [Google Scholar] [CrossRef]
- Chen, J.P.; Zhang, C.; Liu, Y.; Jiang, C.; Zhang, W.; Hu, X.L.; Guan, J.Y.; Yu, Z.W.; Xu, H.; Lin, J.; et al. Sending-or-Not-Sending with Independent Lasers: Secure Twin-Field Quantum Key Distribution over 509 km. Phys. Rev. Lett. 2020, 124, 070501. [Google Scholar] [CrossRef] [PubMed]
- Pittaluga, M.; Minder, M.; Lucamarini, M.; Sanzaro, M.; Woodward, R.; Li, M.J.; Yuan, Z.; Shields, A. 600-km repeater-like quantum communications with dual-band stabilization. Nat. Photonics 2021, 15, 530–535. [Google Scholar] [CrossRef]
- Ursin, R.; Tiefenbacher, F.; Schmitt-Manderbach, T.; Weier, H.; Scheidl, T.; Lindenthal, M.; Blauensteiner, B.; Jennewein, T.; Perdigues, J.; Trojek, P.; et al. Entanglement-based quantum communication over 144 km. Nat. Phys. 2007, 3, 481–486. [Google Scholar] [CrossRef]
- Bisztray, T.; Bacsardi, L. The Evolution of Free-Space Quantum Key Distribution. Infocommun. J. 2018, 10, 22–30. [Google Scholar] [CrossRef]
- Bourgoin, J.; Meyer-Scott, E.; Higgins, B.L.; Helou, B.; Erven, C.; Huebel, H.; Kumar, B.; Hudson, D.; D’Souza, I.; Girard, R.; et al. A comprehensive design and performance analysis of low Earth orbit satellite quantum communication. New J. Phys. 2013, 15, 023006. [Google Scholar] [CrossRef]
- Bedington, R.; Mantilla, J.; Ling, A. Progress in satellite quantum key distribution. Npj Quantum Inf. 2017, 3, 30. [Google Scholar] [CrossRef]
- Toyoshima, M.; Takenaka, H.; Shoji, Y.; Takayama, Y.; Koyama, Y.; Kunimori, H. Polarization measurements through space-to-ground atmospheric propagation paths by using a highly polarized laser source in space. Opt. Express 2009, 17, 22333–22340. [Google Scholar] [CrossRef]
- Takenaka, H.; Carrasco-Casado, A.; Fujiwara, M.; Kitamura, M.; Sasaki, M.; Toyoshima, M. Satellite-to-ground quantum-limited communication using a 50-kg-class microsatellite. Nat. Photonics 2017, 11, 502–508. [Google Scholar] [CrossRef]
- Günthner, K.; Khan, I.; Elser, D.; Stiller, B.; Bayraktar, Ö.; Müller, C.; Saucke, K.; Tröndle, D.; Heine, R.; Seel, S.; et al. Quantum-limited measurements of optical signals from a geostationary satellite. Optica 2017, 4, 611–616. [Google Scholar] [CrossRef]
- Shengkai, L.; Cai, W.Q.; Liu, W.; Zhang, L.; Li, Y.; Wang, J.; Yin, J.; Shen, Q.; Cao, Y.; Li, Z.P.; et al. Satellite-to-ground quantum key distribution. Nature 2017, 549, 43–47. [Google Scholar] [CrossRef]
- Lu, C.Y.; Cao, Y.; Peng, C.Z.; Pan, J.W. Micius quantum experiments in space. Rev. Mod. Phys. 2022, 94, 035001. [Google Scholar] [CrossRef]
- Chen, Y.A.; Zhang, Q.; Chen, T.; Cai, W.Q.; Shengkai, L.; Zhang, J.; Chen, K.; Yin, J.; Wang, J.; Chen, Z.; et al. An integrated space-to-ground quantum communication network over 4,600 kilometres. Nature 2021, 589, 214–219. [Google Scholar] [CrossRef]
- Kurochkin, V.L.; Khmelev, A.V.; Mayboroda, V.F.; Bakhshaliev, R.M.; Duplinsky, A.V.; Kurochkin, Y.V. Elements of satellite quantum network. In Proceedings of the International Conference on Micro- and Nano-Electronics 2021, Zvenigorod, Russia, 4–9 October 2021; Lukichev, V.F., Rudenko, K.V., Eds.; International Society for Optics and Photonics, SPIE: Bellingham, WA, USA, 2022; Volume 12157, p. 121571T. [Google Scholar] [CrossRef]
- Khatri, S.; Brady, A.J.; Desporte, R.A.; Bart, M.P.; Dowling, J.P. Spooky action at a global distance: Analysis of space-based entanglement distribution for the quantum internet. Npj Quantum Inf. 2021, 7, 4. [Google Scholar] [CrossRef]
- Shirko, O.; Askar, S. A Novel Security Survival Model for Quantum Key Distribution Networks Enabled by Software-Defined Networking. IEEE Access 2023, 11, 21641–21654. [Google Scholar] [CrossRef]
- Liu, R.; Rozenman, G.G.; Kundu, N.K.; Chandra, D.; De, D. Towards the industrialisation of quantum key distribution in communication networks: A short survey. IET Quantum Commun. 2022, 3, 151–163. [Google Scholar] [CrossRef]
- Cao, Y.; Zhao, Y.; Wang, Q.; Zhang, J.; Ng, S.X.; Hanzo, L. The Evolution of Quantum Key Distribution Networks: On the Road to the Qinternet. IEEE Commun. Surv. Tutor. 2022, 24, 839–894. [Google Scholar] [CrossRef]
- De Forges de Parny, L.; Alibart, O.; Debaud, J.; Gressani, S.; Lagarrigue, A.; Martin, A.; Metrat, A.; Schiavon, M.; Troisi, T.; Diamanti, E.; et al. Satellite-based quantum information networks: Use cases, architecture, and roadmap. Commun. Phys. 2023, 6, 12. [Google Scholar] [CrossRef]
- Vergoossen, T.; Loarte, S.; Bedington, R.; Kuiper, H.; Ling, A. Modelling of satellite constellations for trusted node QKD networks. Acta Astronaut. 2020, 173, 164–171. [Google Scholar] [CrossRef]
- Ecker, S.; Liu, B.; Handsteiner, J.; Fink, M.; Rauch, D.; Steinlechner, F.; Scheidl, T.; Zeilinger, A.; Ursin, R. Strategies for achieving high key rates in satellite-based QKD. Npj Quantum Inf. 2021, 7, 5. [Google Scholar] [CrossRef]
- Pirandola, S. Satellite quantum communications: Fundamental bounds and practical security. Phys. Rev. Res. 2021, 3, 023130. [Google Scholar] [CrossRef]
- Wang, X.; Dong, C.; Zhao, S.; Liu, Y.; Liu, X.; Zhu, H. Feasibility of space-based measurement-device-independent quantum key distribution. New J. Phys. 2021, 23, 045001. [Google Scholar] [CrossRef]
- Sidhu, J.; Brougham, T.; Mcarthur, D.; Pousa, R.; Oi, D. Finite key effects in satellite quantum key distribution. Npj Quantum Inf. 2022, 8, 18. [Google Scholar] [CrossRef]
- Khmelev, A.; Duplinsky, A.; Mayboroda, V.; Bakhshaliev, R.; Balanov, M.; Kurochkin, V.; Kurochkin, Y. Recording of a Single-Photon Signal from Low-Flying Satellites for Satellite Quantum Key Distribution. Tech. Phys. Lett. 2021, 47, 858–861. [Google Scholar] [CrossRef]
- Ma, X.; Qi, B.; Zhao, Y.; Lo, H.K. Practical decoy state for quantum key distribution. Phys. Rev. A 2005, 72, 012326. [Google Scholar] [CrossRef]
- Hwang, W.Y. Quantum Key Distribution with High Loss: Toward Global Secure Communication. Phys. Rev. Lett. 2003, 91, 057901. [Google Scholar] [CrossRef]
- Vallado, D.; Crawford, P.; Hujsak, R.; Kelso, T. Revisiting Spacetrack Report# 3: Rev. In Proceedings of the AIAA/AAS Astrodynamics Specialist Conference and Exhibi, Keystone, CO, USA, 21–24 August 2006. [Google Scholar] [CrossRef]
- Heavens-Above. Available online: https://www.heavens-above.com/ (accessed on 10 March 2023).
- Space-Track.org. Available online: https://www.space-track.org/ (accessed on 10 March 2023).
- Seyedi, Y.; Rahimi, F. A Trace-Time Framework for Prediction of Elevation Angle Over Land Mobile LEO Satellites Networks. Wirel. Pers. Commun. 2012, 62, 793–804. [Google Scholar] [CrossRef]
- Ali, I.; Al-Dhahir, N.; Hershey, J.E. Doppler characterization for LEO satellites. IEEE Trans. Commun. 1998, 46, 309–313. [Google Scholar] [CrossRef]
- Karttunen, H.; Kröger, P.; Oja, H.; Poutanen, M.; Donner, K.J. (Eds.) Photometric Concepts and Magnitudes. In Fundamental Astronomy; Springer New York: New York, NY, USA, 1987; pp. 87–102. [Google Scholar] [CrossRef]
- Young, A.T.; Irvine, W.M. Multicolor photoelectric photometry of the brighter planets. I. Program and Procedure. Astron. J. 1967, 72, 945. [Google Scholar] [CrossRef]
- Khmelev, A.V.; Duplinsky, A.V.; Kurochkin, V.L.; Kurochkin, Y.V. Stellar calibration of the single-photon receiver for satellite-to-ground quantum key distribution. J. Phys. Conf. Ser. 2021, 2086, 012137. [Google Scholar] [CrossRef]
- Duplinsky, A.; Khmelev, A.; Merzlinkin, V.; Pismeniuk, L.; Bakhshaliev, R.; Tikhonova, K.; Nesterov, I.; Kurochkin, V.; Kurochkin, Y. Cubsat based scalable quantum key distribution satellite network. In Proceedings of the The XIV International Conference on Computer-Aided Technologies in Applied Mathematics, Listvyanka, Russia, 19–24 September 2022; p. 64. Available online: https://www.elibrary.ru/item.asp?id=49449483&pff=1 (accessed on 10 March 2023).
- Lo, H.K.; Ma, X.; Chen, K. Decoy State Quantum Key Distribution. Phys. Rev. Lett. 2005, 94, 230504. [Google Scholar] [CrossRef] [PubMed]
- Shor, P.W.; Preskill, J. Simple Proof of Security of the BB84 Quantum Key Distribution Protocol. Phys. Rev. Lett. 2000, 85, 441–444. [Google Scholar] [CrossRef]
- Kiktenko, E.O.; Trushechkin, A.S.; Lim, C.C.W.; Kurochkin, Y.V.; Fedorov, A.K. Symmetric Blind Information Reconciliation for Quantum Key Distribution. Phys. Rev. Appl. 2017, 8, 044017. [Google Scholar] [CrossRef]
- Zhang, Z.; Zhao, Q.; Razavi, M.; Ma, X. Improved key-rate bounds for practical decoy-state quantum-key-distribution systems. Phys. Rev. A 2017, 95, 012333. [Google Scholar] [CrossRef]
- SIMBAD Astronomical Database. Available online: https://simbad.unistra.fr/simbad/ (accessed on 10 March 2023).






| R (km) | i (Degrees) | (Rad/s) | (Rad/s) |
|---|---|---|---|
| 6864 | 97.3 |
| (mm) | (Rad) | ||||
|---|---|---|---|---|---|
| 300 | 0.81 | 0.44 | 0.55 | 0.23–0.41 | |
| 600 | 0.73 | 0.27 | 0.55 | 0.23–0.41 |
| f (Hz) | (/pulse) | |||
| 0.8 | 0.5 | |||
| (/pulse) | ||||
| 0.1 | 0.25 | 0.25 |
| Passage | Sifted Key Length, (kbit) | Secret Key Length, (kbit) |
|---|---|---|
| 2021-10-31 (°, = 221 s) | 547/1207 | 40/182 |
|
2022-03-23 (°, = 260 s) | 859/1897 | 101/357 |
|
2022-03-09 (°, = 283 s) | 1263/2790 | 187/600 |
|
Zenith passage (°, = 285 s) | 1586/3505 | 260/803 |
Disclaimer/Publisher’s Note: The statements, opinions and data contained in all publications are solely those of the individual author(s) and contributor(s) and not of MDPI and/or the editor(s). MDPI and/or the editor(s) disclaim responsibility for any injury to people or property resulting from any ideas, methods, instructions or products referred to in the content. |
© 2023 by the authors. Licensee MDPI, Basel, Switzerland. This article is an open access article distributed under the terms and conditions of the Creative Commons Attribution (CC BY) license (https://creativecommons.org/licenses/by/4.0/).
Share and Cite
Khmelev, A.V.; Ivchenko, E.I.; Miller, A.V.; Duplinsky, A.V.; Kurochkin, V.L.; Kurochkin, Y.V. Semi-Empirical Satellite-to-Ground Quantum Key Distribution Model for Realistic Receivers. Entropy 2023, 25, 670. https://doi.org/10.3390/e25040670
Khmelev AV, Ivchenko EI, Miller AV, Duplinsky AV, Kurochkin VL, Kurochkin YV. Semi-Empirical Satellite-to-Ground Quantum Key Distribution Model for Realistic Receivers. Entropy. 2023; 25(4):670. https://doi.org/10.3390/e25040670
Chicago/Turabian StyleKhmelev, Aleksandr V., Egor I. Ivchenko, Alexander V. Miller, Alexey V. Duplinsky, Vladimir L. Kurochkin, and Yury V. Kurochkin. 2023. "Semi-Empirical Satellite-to-Ground Quantum Key Distribution Model for Realistic Receivers" Entropy 25, no. 4: 670. https://doi.org/10.3390/e25040670
APA StyleKhmelev, A. V., Ivchenko, E. I., Miller, A. V., Duplinsky, A. V., Kurochkin, V. L., & Kurochkin, Y. V. (2023). Semi-Empirical Satellite-to-Ground Quantum Key Distribution Model for Realistic Receivers. Entropy, 25(4), 670. https://doi.org/10.3390/e25040670

