ST-CenterNet: Small Target Detection Algorithm with Adaptive Data Enhancement
Abstract
1. Introduction
- We propose a SSTRA algorithm to select all small targets by pixel filtering. By copying the identified small targets, it can effectively increase the number of small target samples.
- A novel structure, AFPN, is proposed to enhance feature extraction and fusion, allowing TAFEM to detect small target regions more accurately.
2. Related Work
3. Safety Helmet Wearing Dataset
3.1. Dataset Construction
3.2. Dataset Processing
4. ST-CenterNet
4.1. Network Structure
4.2. Selective Small Target Replication Algorithm
4.3. Target Adaptation Feature Extraction Module
5. Experimental Settings
5.1. Experimental Configuration
5.2. Parameter Settings
5.3. Evaluation Metrics
6. Experimental Results
6.1. Comparative Experiment and Analysis of Results
6.2. Ablation Experiment and Analysis of Results
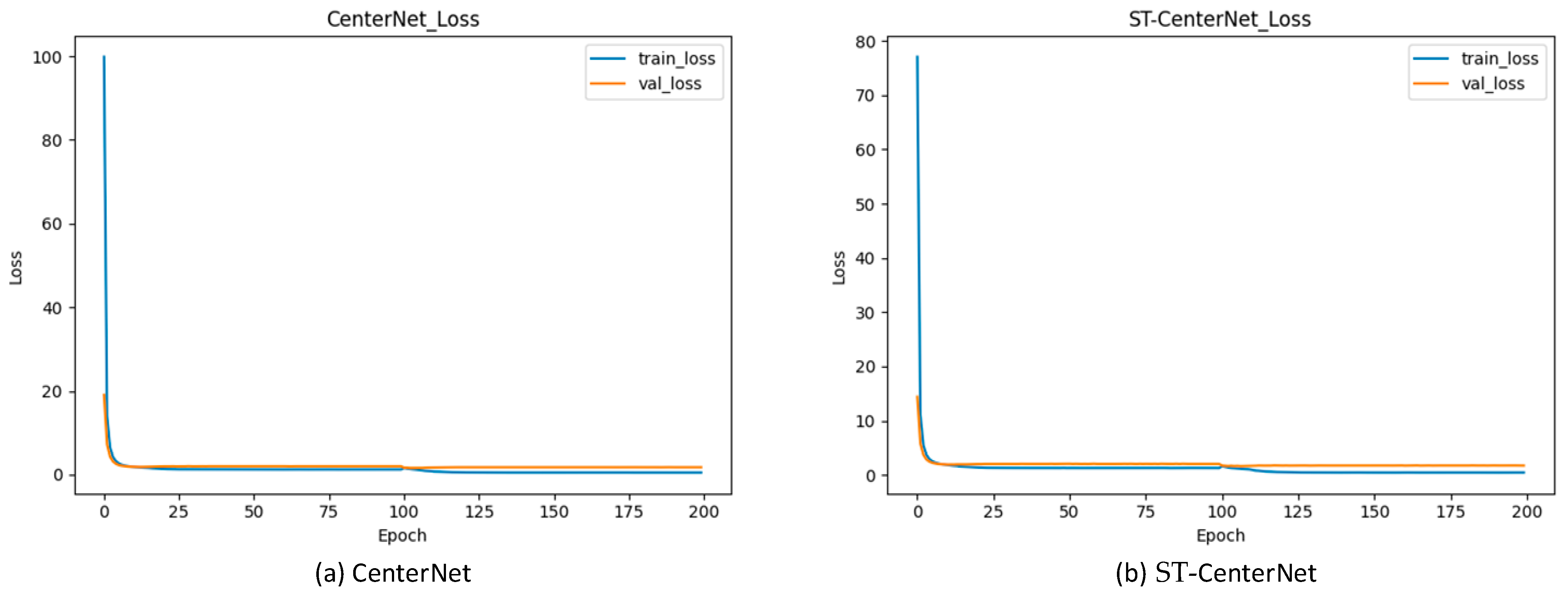
6.3. Performance Validation
7. Discussion
8. Conclusions
Author Contributions
Funding
Institutional Review Board Statement
Data Availability Statement
Conflicts of Interest
References
- Jiang, Q.; Tan, D.; Li, Y.; Ji, S.; Cai, C.; Zheng, Q. Object detection and classification of metal polishing shaft surface defects based on convolutional neural network deep learning. Appl. Sci. 2020, 10, 87. [Google Scholar] [CrossRef]
- Vaidya, B.; Paunwala, C. Deep learning architectures for object detection and classification. In Smart Techniques for a Smarter Planet; Springer: Cham, Switzerland, 2019; pp. 53–79. [Google Scholar]
- Peng, S.; Jiang, W.; Pi, H.; Li, X.; Bao, H.; Zhou, X. Deep snake for real-time instance segmentation. In Proceedings of the IEEE/CVF Conference on Computer Vision and Pattern Recognition, Seattle, WA, USA, 13–19 June 2020; pp. 8533–8542. [Google Scholar]
- Akyol, G.; Kantarcı, A.; Çelik, A.E.; Ak, A.C. Deep learning based, real-time object detection for autonomous driving. In Proceedings of the 2020 28th Signal Processing and Communications Applications Conference (SIU), Gaziantep, Turkey, 5–7 October 2020; pp. 1–4. [Google Scholar]
- Luan, B.; Sun, Y.; Tong, C.; Liu, Y.; Liu, H. R-FCN based laryngeal lesion detection. In Proceedings of the 2019 12th International Symposium on Computational Intelligence and Design (ISCID), Hangzhou, China, 14–15 December 2019; pp. 128–131. [Google Scholar]
- Li, J.; Liu, H.; Wang, T.; Jiang, M.; Wang, S.; Li, K.; Zhao, X. Safety helmet wearing detection based on image processing and deep learning. In Proceedings of the 2020 International Conference on Communications, Information System and Computer Engineering (CISCE), Kuala Lumpur, Malaysia, 3–5 July 2020; pp. 343–347. [Google Scholar]
- Kaku, K. Satellite remote sensing for disaster management support: A holistic and staged approach based on case studies in Sentinel Asia. Int. J. Disaster Risk Reduct. 2019, 33, 417–432. [Google Scholar] [CrossRef]
- Chen, P.-C.; Chiang, Y.-C.; Weng, P.-Y. Imaging using unmanned aerial vehicles for agriculture land use classification. Agriculture 2020, 10, 416. [Google Scholar] [CrossRef]
- Wellmann, T.; Lausch, A.; Andersson, E.; Knapp, S.; Cortinovis, C.; Jache, J.; Scheuer, S.; Kremer, P.; Mascarenhas, A.; Kraemer, R.; et al. Remote sensing in urban planning: Contributions towards ecologically sound policies. Landsc. Urban Plan. 2020, 204, 103921. [Google Scholar] [CrossRef]
- Al-Quraishi, A.M.F.; Negm, A.M. Updates, conclusions, and recommendations for environmental remote sensing and GIS in Iraq. In Environmental Remote Sensing and GIS in Iraq; Springer: New York, NY, USA, 2020; pp. 517–529. [Google Scholar]
- Qiu, Z.; Wang, S.; Zeng, Z.; Yu, D. Automatic visual defects inspection of wind turbine blades via YOLO-based small object detection approach. J. Electron. Imaging 2019, 28, 043023. [Google Scholar] [CrossRef]
- Lin, T.Y.; Goyal, P.; Girshick, R.; He, K.; Dollár, P. Focal loss for dense object detection. In Proceedings of the 2017 IEEE International Conference on Computer Vision (ICCV), Venice, Italy, 22–29 October 2017; pp. 2999–3007. [Google Scholar]
- Lin, T.Y.; Maire, M.; Belongie, S.; Hays, J.; Perona, P.; Ramanan, D.; Dollár, P.; Zitnick, C.L. Microsoft coco: Common objects in context. In Proceedings of the Computer Vision–ECCV 2014: 13th European Conference, Zurich, Switzerland, 6–12 September 2014; Springer: Berlin/Heidelberg, Germany, 2014. [Google Scholar]
- Hu, G.X.; Yang, Z.; Hu, L.; Huang, L.; Han, J.M. Small object detection with multiscale features. Int. J. Digit. Multimed. Broadcast. 2018, 2018, 4546896. [Google Scholar] [CrossRef]
- Meng, Q.; Song, H.; Li, G.; Zhang, Y.; Zhang, X. A block object detection method based on feature fusion networks for autonomous vehicle. Complexity 2019, 2019, 4042624. [Google Scholar] [CrossRef]
- Zhao, X.; Pu, F.; Wang, Z.; Chen, H.; Xu, Z. Detection, tracking, and geolocation of moving vehicle from uav using monocular camera. IEEE Access 2019, 7, 101160–101170. [Google Scholar] [CrossRef]
- Zhou, T.; Li, Z.; Zhang, C. Enhance the recognition ability to occlusions and small objects with Robust Faster R-CNN. Int. J. Mach. Learn. Cybern. 2019, 10, 3155–3166. [Google Scholar] [CrossRef]
- Guo, H.; Wang, J.; Xu, M.; Zha, Z.-J.; Lu, H. Learning multi-view deep features for small object retrieval in surveillance scenarios. In Proceedings of the 23rd ACM international conference on Multimedia, Ottawa, ON, Canada, 23–26 June 2015; pp. 859–862. [Google Scholar]
- Liu, Y.; Yang, F.; Hu, P. Small-object detection in UAV-captured images via multi-branch parallel feature pyramid networks. IEEE Access 2020, 8, 145740–145750. [Google Scholar] [CrossRef]
- Li, Y.; Chen, Y.; Wang, N.; Zhang, Z. Scale-aware trident networks for object detection. In Proceedings of the International Conference on Computer Vision, Seoul, Republic of Korea, 27 October–2 November 2019. [Google Scholar]
- Li, Y.; Chen, Y.; Wang, N.; Zhang, Z. R-CNN for small object detection. In Proceedings of the Asian Conference on Computer Vision, Taipei, Taiwan, 20–24 November 2016; Springer: Cham, Switzerland, 2016; pp. 214–230. [Google Scholar]
- Cheng, G.; Yuan, X.; Yao, X.; Yan, K.; Zeng, Q.; Han, J. Towards Large-Scale Small Object Detection: Survey and Benchmarks. arXiv 2022, arXiv:2207.14096. [Google Scholar]
- Cheng, G.; Yuan, X.; Yao, X.; Yan, K.; Zeng, Q.; Han, J. Objects as points. In Proceedings of the IEEE Conference on Computer Vision and Pattern Recognition, Long Beach, CA, USA, 16–17 June 2019; pp. 7263–7271. [Google Scholar]
- Miao, S.; Du, S.; Feng, R.; Zhang, Y.; Li, H.; Liu, T.; Zheng, L.; Fan, W. Balanced single-shot object detection using cross-context attention-guided network. Pattern Recognit. 2022, 122, 108258. [Google Scholar] [CrossRef]
- He, K.; Zhang, X.; Ren, S.; Sun, J. Deep residual learning for image recognition. In Proceedings of the IEEE Conference on Computer Vision and Pattern Recognition, Las Vegas, NV, USA, 26 June –1 July 2016; pp. 770–778. [Google Scholar]
- Lee, Y.; Hwang, J.W.; Lee, S.; Bae, Y.; Park, J. An energy and GPU-computation efficient backbone network for real-time object detection. In Proceedings of the IEEE Conference on Computer Vision and Pattern Recognition Workshops, Long Beach, CA, USA, 16–17 June 2019; pp. 752–760. [Google Scholar]
- Ren, S.; He, K.; Girshick, R.; Sun, J. Faster R-CNN: Towards real-time object detection with region proposal networks. IEEE Trans. Pattern Anal. Mach. Intell. 2016, 39, 1137–1149. [Google Scholar] [CrossRef]
- He, K.; Gkioxari, G.; Dollár, P.; Girshick, R. Mask R-CNN. In Proceedings of the IEEE International Conference on Computer Vision, Venice, Italy, 22–29 October 2017; pp. 2961–2969. [Google Scholar]
- Dai, J.; Li, Y.; He, K.; Sun, J. R-FCN: Object detection via region-based fully convolutional networks. In Proceedings of the Advance in Neural Information Processing Systems, Barcelona, Spain, 5–10 December 2016; pp. 379–387. [Google Scholar]
- Ming, Q.; Zhou, Z.; Miao, L.; Zhang, H.; Li, L. Dynamic anchor learning for arbitrary-oriented object detection. In Proceedings of the AAAI Conference on Artificial Intelligence, Online, 2–9 February 2021; pp. 2355–2363. [Google Scholar]
- Yin, S.; Li, H. Hot region selection based on selective search and modified fuzzy C-Means in remote sensing Images. IEEE J. Sel. Top. Appl. Earth Obs. Remote Sens. 2020, 13, 5862–5871. [Google Scholar] [CrossRef]
- Dong, P.; Wang, W. Better region proposals for pedestrian detection with R-CNN. In Proceedings of the IEEE Vision Communication on Image Processing, Chengdu, China, 27–30 November 2016; pp. 1–4. [Google Scholar]
- Liu, W.; Anguelov, D.; Erhan, D.; Szegedy, C.; Reed, S.; Fu, C.-Y.; Berg, A.C. SSD: Single shot multi-box detector. In Proceedings of the European Conference Computer Vision, Amsterdam, The Netherlands, Guangzhou, China, 11–14 October 2016; pp. 21–37. [Google Scholar]
- Liu, Z.; Fang, W.; Sun, J. SSD small object detection algorithm based on feature enhancement and sample selection. In Proceedings of the International Symposium on Distributed Computing and Applications for Business Engineering and Science, Nanning, China, 10–12 December 2021; pp. 96–99. [Google Scholar]
- Wu, T.H.; Wang, T.W.; Liu, Y.Q. Real-time vehicle and distance detection based on improved Yolov5 network. In Proceedings of the 2021 3rd World Symposium on Artificial Intelligence (WSAI), Guangzhou, China, 18–20 June 2021; pp. 24–28. [Google Scholar]
- Ge, Z.; Liu, S.; Wang, F. YOLOX: Exceeding YOLO Series in 2021. arXiv 2021, arXiv:2107.08430. [Google Scholar]
- Law, H.; Deng, J. CornerNet: Detecting objects as paired keypoints. In Proceedings of the European Conference Computer Vision, Munich, Germany, 8–14 September 2018; pp. 734–750. [Google Scholar]
- Mishra, S.; Shah, A.; Bansal, A.; Jagannatha, A.; Sharma, A.; Jacobs, D.; Krishnan, D. Object-aware cropping for self supervised learning. arXiv 2021, arXiv:2112.00319. [Google Scholar]
- Zhang, H.; Cisse, M.; Dauphin, Y.N.; Lopez-Paz, D. mixup: Beyond empirical risk minimization. arXiv 2017, arXiv:1710.09412. [Google Scholar]
- Chen, Y.; Zhang, P.; Li, Z.; Li, Y.; Zhang, X.; Qi, L.; Sun, J.; Jia, J. Dynamic Scale Training for Object Detection. arXiv 2020, arXiv:2004.12432. [Google Scholar]
- Liu, G.; Wang, C.; Hu, Y. RPN with the attention-based multi-scale method and the adaptive non-maximum suppression for billboard detection. In Proceedings of the IEEE International Conference Computer Communication, Hangzhou, China, 15–19 April 2018; pp. 1541–1545. [Google Scholar]
- Belfodil, A.; Belfodil, A.; Bendimerad, A.; Lamarre, P.; Robardet, C.; Kaytoue, M.; Plantevit, M. FSSD-A Fast and Efficient Algorithm for Subgroup Set Discovery. In Proceedings of the 2019 IEEE International Conference on Data Science and Advanced Analytics (DSAA), Washington, DC, USA, 5–8 October 2019; pp. 91–99. [Google Scholar]
- Zhang, Y.; Zhou, W.; Wang, Y.; Xu, L. A real-time recognition method of static gesture based on DSSD. Multimed. Tools Appl. 2020, 79, 17445–17461. [Google Scholar] [CrossRef]
- Wu, M.; Huang, H. Small-Scale Aware SSD: Improvement for Small-scale Pedestrians Detection. In Proceedings of the International Conference on Electronic Communication and Artificial Intelligence (IWECAI), Zhuhai, China, 14–16 January 2022; pp. 419–424. [Google Scholar]
- Zhou, Q.; Wu, X.; Zhang, S.; Kang, B.; Ge, Z.; Latecki, L.J. Contextual ensemble network for semantic segmentation. Pattern Recognit. 2022, 122, 0031–3203. [Google Scholar] [CrossRef]
- Kaya, E.C.; Alatan, A.A. Improving proposal-based object detection using convolutional context features. In Proceedings of the IEEE International Conference on Image Processing, Athens, Greece, 7–10 October 2018; pp. 1308–1312. [Google Scholar]
- Van, Q.T.; Young, K.M. Feature pyramid network with multi-scale prediction fusion for real-time semantic segmentation. Neurocomputing 2023, 519, 104–113. [Google Scholar]
- Lin, T.-Y.; Dollár, P.; Girshick, R.; He, K.; Hariharan, B.; Belongie, S. Feature pyramid networks for object detection. In Proceedings of the IEEE Conference on Computer Vision and Pattern Recognition, Honolulu, HI, USA, 21–26 July 2017; pp. 936–944. [Google Scholar]
- Chen, H.J.; Wang, Q.; Yang, G.; Han, J.; Yin, C.; Chen, J.; Wang, Y. SSD object detection algorithm with multi-scale convolution feature fusion. J. Front. Comput. Sci. Technol. 2019, 13, 1049–1061. [Google Scholar]
- Ma, W.; Wu, Y.; Cen, F.; Wang, G. MDFN: Multi-scale deep feature learning network for object detection. Pattern Recognit. 2020, 100, 107149. [Google Scholar] [CrossRef]
- Huang, W.; Li, G.; Chen, Q.; Ju, M.; Qu, J. CF2PN: A cross-scale feature fusion pyramid network based remote sensing target detection. Remote Sens. 2021, 13, 847. [Google Scholar] [CrossRef]
- Niu, Z.; Zhong, G.; Yu, H. A review on the attention mechanism of deep learning. Neurocomputing 2021, 452, 48–62. [Google Scholar] [CrossRef]
- Dai, Y.; Gieseke, F.; Oehmcke, S.; Wu, Y.; Barnard, K. Attentional feature fusion. In Proceedings of the IEEE Winter Conference on Applications of Computer Vision, Virtual, 5–9 January 2021; pp. 3559–3568. [Google Scholar]
- Luo, Z.; Li, J.; Zhu, Y. A deep feature fusion network based on multiple attention mechanisms for joint iris-periocular biometric recognition. IEEE Signal Process. Lett. 2021, 28, 1060–1064. [Google Scholar] [CrossRef]
- Yu, J.; Li, W.; Li, Z.; Wu, J.; Yang, H.; Yang, J. SAR image super-resolution base on weighted dense connected convolutional network. In Proceedings of the IEEE International Geoscience Remote Sensing Symposium, Waikoloa, HI, USA, 26 September–2 October 2020; pp. 2101–2104. [Google Scholar]
- Liu, S.T.; Huang, D.; Wang, Y.H. Receptive field block net for accurate and fast object detection. In Proceedings of the European Conference Computer Vision, Munich, Germany, 8–14 September 2018; pp. 404–419. [Google Scholar]
- Han, J.; Ding, J.; Li, J.; Xia, G.S. Align deep features for oriented object detection. IEEE Trans. Geosci. Remote Sens. 2022, 60, 1–11. [Google Scholar] [CrossRef]
- Yang, X.; Hou, L.; Zhou, Y.; Wang, W.; Yan, J. Dense label encoding for boundary discontinuity free rotation detection. In Proceedings of the IEEE Conference on Computer Vision and Pattern Recognition, Nashville, TN, USA, 20–25 June 2021; pp. 15819–15829. [Google Scholar]
- Yang, X.; Yan, J.; Ming, Q.; Wang, W.; Zhang, X.; Tian, Q. Rethinking rotated object detection with gaussian wasserstein distance loss. arXiv 2021, arXiv:2101.11952. [Google Scholar]
- Han, J.; Ding, J.; Xue, N.; Xia, G.S. Redet: A rotation-equivariant detector for aerial object detection. In Proceedings of the IEEE Conference on Computer Vision and Pattern Recognition, Nashville, TN, USA, 20–25 June 2021; pp. 2786–2795. [Google Scholar]
- Ting, Y.-S.; Teng, Y.-F.; Chiueh, T.-D. Batch normalization processor design for convolution neural network training and inference. In Proceedings of the 2021 IEEE International Symposium on Circuits and Systems (ISCAS), Daegu, Republic of Korea, 22–28 May 2021; pp. 1–4. [Google Scholar]
- He, K.; Girshick, R.; Dollar, P. Rethinking ImageNet pre-training. In Proceedings of the IEEE/CVF International Conference on Computer Vision, Seoul, Republic of Korea, 27–29 October 2019; pp. 4917–4926. [Google Scholar]
- Xie, Q.; Luong, M.T.; Hovy, E.; Le, Q.V. Self-training with noisy student improves imagenet classification. In Proceedings of the IEEE Conference on Computer Vision and Pattern Recognition, Seattle, WA, USA, 13–19 June 19 2020; pp. 10684–10695. [Google Scholar]
- Redmon, J.; Farhadi, A. YOLOv3: An incremental improvement. arXiv 2018, arXiv:1804.02767. [Google Scholar]
- Wu, T.; Zhu, H.; Fa, H.; Zhou, H. An improved target detection algorithm based on EfficientNet. J. Phys. Conf. Ser. 2021, 1983, 012017. [Google Scholar] [CrossRef]
- Bochkovskiy, A.; Wang, C.Y.; Liao, H.Y.M. Yolov4: Optimal speed and accuracy of object detection. arXiv 2020, arXiv:2004.10934. [Google Scholar]










| Improvement | Literature | Backbone | Method | Merits | Limitations | 
|---|---|---|---|---|---|
| Data Enhancement | Mishra [38] | ImageNet | Object-aware cropping. | Increases the sampling rate. | Poor samples may be selected, increasing the prediction error. | 
| Zhang [39] | ResNet | Mix-up. | Has good robustness to data with noisy labels and adversarial sample attacks. | May crop blocks to nonimportant regions or occlude important regions. | |
| Chen [40] | ResNet | Scale transform. | Information fed back through the optimization process dynamically guides data preparation. | The uneven distribution of objects at different scales will greatly affect the detection quality. | |
| Feature Enhancement | Liu [33,34] | VGG16 | Multi-scale feature pyramid. | The multi-scale feature pyramid is used to detect objects of different scales and aspect ratios. | Poor detection effect for small targets. | 
| Belfodil [42] | VGG16 | Lightweight feature fusion. | Fast speed; merges feature maps of different layers. | Having duplicate boxes; shallow feature maps have insufficient representation ability. | |
| Zhang [43] | ResNet | A “wide-narrow-wide” structure. | Has a large improvement compared to SSD for detection accuracy. | Slow speed. | |
| Attention Mechanism | Dai [53] | ResNet | Multi-scale channel attention. | Recognizes and detects objects under extreme scale changes. | Limited scenario; Not necessarily adaptively fusing the received features. | 
| Yu [55] | DenseNet | Dense connected convolutional networks. | Enhance the semantic information of small targets in shallow features. | Addition combined with identity functions hinder information propagation. | |
| Liu [56] | Deeplab-VGG16 | Dilated convolution; add inception structures. | Considers the relationship between the size and eccentricity of the receptive field. | Low speed and expensive computation. | |
| Angle Classfication | Han [57] | RetinaNet | Replacing the dire-ctional bounding box by the regression output. | The aligned features are more beneficial for learning rotated targets. | Requires heuristics to define anchors and complex RoI operations. | 
| Yang [58] | RetinaNet | Replacing the sparse coding labels with dense coding labels. | Eliminates periodicity of angle and adjust adaptively according to the aspect ratio. | Needs a longer number of bits for encoding. | |
| Yang [59] | RetinaNet | Using the Gaussian Wasserstein distance to describe the rotated boxes distance. | Avoids the rotation angle regression interval discontinuity and the square problem. | Needs a longer number of bits for encoding, and the output is heavy. | 
| Name | Configuration | 
|---|---|
| CPU | Xeon E5-2690 V4 @2.20 GHz | 
| Memory | 11GB | 
| GPU | NVIDIA GeForce GTX 2080Ti | 
| GPU Accelerated Libraries | CUDA10.1.105, cuDNN7.6.5 | 
| Deep Learning Framework | Python3.7.2, Pytorch1.4.0 | 
| Operating System | Ubuntu20.04 | 
| Algorithm | Backbone | Input Size | Precision | Recall | F1-Score | mAP | FPS | 
|---|---|---|---|---|---|---|---|
| SSD [33,34] | VGG16 | 512 × 512 | 92.09 | 52.55 | 0.65 | 73.77 | 23.39 | 
| YOLOv3 [64] | DarkNet53 | 512 × 512 | 85.05 | 53.31 | 0.66 | 69.17 | 32.54 | 
| YOLOv3_EfficientNet [65] | EfficientNet | 512 × 512 | 88.34 | 29.25 | 0.44 | 61.79 | 20.57 | 
| YOLOv4 [66] | CSPDarkNet53 | 512 × 512 | 49.84 | 40.74 | 0.45 | 40.84 | 7.39 | 
| YOLOv4_ResNet | ResNet50 [25] | 512 × 512 | 68.44 | 58.00 | 0.63 | 59.48 | 12.83 | 
| YOLOv5 | CSPDarkNet53 | 512 × 512 | 92.54 | 66.93 | 0.78 | 78.57 | 9.35 | 
| YOLOX [37] | CSPDarkNet53 | 512 × 512 | 92.21 | 78.10 | 0.85 | 86.09 | 15.10 | 
| CenterNet [23] | ResNet50 | 512 × 512 | 88.90 | 56.12 | 0.69 | 70.98 | 32.78 | 
| ST-CenterNet | ResNet50 | 512 × 512 | 94.19 | 71.88 | 0.82 | 89.06 | 28.69 | 
| Method | Precision | Recall | F1-Score | mAP | FPS | 
|---|---|---|---|---|---|
| CenterNet [23] | 88.90 | 56.12 | 0.69 | 70.98 | 32.78 | 
| CenterNet+SSTRA | 94.08 | 75.15 | 0.84 | 84.88 | 15.25 | 
| CenterNet+TAFEM | 94.56 | 72.90 | 0.82 | 84.20 | 16.64 | 
| ST-CenterNet | 94.19 | 71.88 | 0.82 | 89.06 | 28.69 | 
| Disclaimer/Publisher’s Note: The statements, opinions and data contained in all publications are solely those of the individual author(s) and contributor(s) and not of MDPI and/or the editor(s). MDPI and/or the editor(s) disclaim responsibility for any injury to people or property resulting from any ideas, methods, instructions or products referred to in the content. | 
© 2023 by the authors. Licensee MDPI, Basel, Switzerland. This article is an open access article distributed under the terms and conditions of the Creative Commons Attribution (CC BY) license (https://creativecommons.org/licenses/by/4.0/).
Share and Cite
Guo, Y.; Lu, X. ST-CenterNet: Small Target Detection Algorithm with Adaptive Data Enhancement. Entropy 2023, 25, 509. https://doi.org/10.3390/e25030509
Guo Y, Lu X. ST-CenterNet: Small Target Detection Algorithm with Adaptive Data Enhancement. Entropy. 2023; 25(3):509. https://doi.org/10.3390/e25030509
Chicago/Turabian StyleGuo, Yujie, and Xu Lu. 2023. "ST-CenterNet: Small Target Detection Algorithm with Adaptive Data Enhancement" Entropy 25, no. 3: 509. https://doi.org/10.3390/e25030509
APA StyleGuo, Y., & Lu, X. (2023). ST-CenterNet: Small Target Detection Algorithm with Adaptive Data Enhancement. Entropy, 25(3), 509. https://doi.org/10.3390/e25030509
 
        


 
       