Superradiant Quantum Phase Transition for an Exactly Solvable Two-Qubit Spin-Boson Model
Abstract
1. Introduction
2. Model and Symmetries
3. Exactly Solvable Case
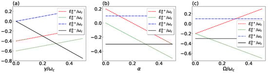
Quantum Phase Transitions
4. Conclusions
Author Contributions
Funding
Institutional Review Board Statement
Data Availability Statement
Acknowledgments
Conflicts of Interest
References
- Breuer, H.P.; Petruccione, F. The Theory of Open Quantum Systems; Oxford University Press on Demand: Oxford, UK, 2002. [Google Scholar]
- Leggett, A.J.; Chakravarty, S.; Dorsey, A.T.; Fisher, M.P.A.; Garg, A.; Zwerger, W. Dynamics of the dissipative two-state system. Rev. Mod. Phys. 1987, 59, 1–85. [Google Scholar] [CrossRef]
- Le Hur, K.; Doucet-Beaupré, P.; Hofstetter, W. Entanglement and Criticality in Quantum Impurity Systems. Phys. Rev. Lett. 2007, 99, 126801. [Google Scholar] [CrossRef] [PubMed]
- Vojta, M.; Tong, N.H.; Bulla, R. Quantum Phase Transitions in the Sub-Ohmic Spin-Boson Model: Failure of the Quantum-Classical Mapping. Phys. Rev. Lett. 2005, 94, 070604. [Google Scholar] [CrossRef]
- Bulla, R.; Tong, N.H.; Vojta, M. Numerical Renormalization Group for Bosonic Systems and Application to the Sub-Ohmic Spin-Boson Model. Phys. Rev. Lett. 2003, 91, 170601. [Google Scholar] [CrossRef]
- Hur, K.L. Entanglement entropy, decoherence, and quantum phase transitions of a dissipative two-level system. Ann. Phys. 2008, 323, 2208–2240. [Google Scholar] [CrossRef]
- Nazir, A.; McCutcheon, D.P.S.; Chin, A.W. Ground state and dynamics of the biased dissipative two-state system: Beyond variational polaron theory. Phys. Rev. B 2012, 85, 224301. [Google Scholar] [CrossRef]
- Winter, A.; Rieger, H.; Vojta, M.; Bulla, R. Quantum Phase Transition in the Sub-Ohmic Spin-Boson Model: Quantum Monte Carlo Study with a Continuous Imaginary Time Cluster Algorithm. Phys. Rev. Lett. 2009, 102, 030601. [Google Scholar] [CrossRef]
- Deng, T.; Yan, Y.; Chen, L.; Zhao, Y. Dynamics of the two-spin spin-boson model with a common bath. J. Chem. Phys. 2016, 144, 144102. [Google Scholar] [CrossRef]
- Wang, L.; Fujihashi, Y.; Chen, L.; Zhao, Y. Finite-temperature time-dependent variation with multiple Davydov states. J. Chem. Phys. 2017, 146, 124127. [Google Scholar] [CrossRef]
- Vojta, M. Quantum phase transitions. Rep. Prog. Phys. 2003, 66, 2069–2110. [Google Scholar] [CrossRef]
- Rossini, D.; Vicari, E. Coherent and dissipative dynamics at quantum phase transitions. Phys. Rep. 2021, 936, 1–110. [Google Scholar] [CrossRef]
- Carollo, A.; Valenti, D.; Spagnolo, B. Geometry of quantum phase transitions. Phys. Rep. 2020, 838, 1–72. [Google Scholar] [CrossRef]
- Tong, Q.J.; An, J.H.; Luo, H.G.; Oh, C.H. Quantum phase transition in the delocalized regime of the spin-boson model. Phys. Rev. B 2011, 84, 174301. [Google Scholar] [CrossRef]
- De Filippis, G.; de Candia, A.; Cangemi, L.M.; Sassetti, M.; Fazio, R.; Cataudella, V. Quantum phase transitions in the spin-boson model: Monte Carlo method versus variational approach à la Feynman. Phys. Rev. B 2020, 101, 180408. [Google Scholar] [CrossRef]
- Zhang, Y.Y.; Chen, Q.H.; Wang, K.L. Quantum phase transition in the sub-Ohmic spin-boson model: An extended coherent-state approach. Phys. Rev. B 2010, 81, 121105. [Google Scholar] [CrossRef]
- Dolgitzer, D.; Zeng, D.; Chen, Y. Dynamical quantum phase transitions in the spin-boson model. Opt. Express 2021, 29, 23988–23996. [Google Scholar] [CrossRef]
- Wang, Y.Z.; He, S.; Duan, L.; Chen, Q.H. Rich phase diagram of quantum phases in the anisotropic subohmic spin-boson model. Phys. Rev. B 2020, 101, 155147. [Google Scholar] [CrossRef]
- Winter, A.; Rieger, H. Quantum phase transition and correlations in the multi-spin-boson model. Phys. Rev. B 2014, 90, 224401. [Google Scholar] [CrossRef]
- Kaur, K.; Sépulcre, T.; Roch, N.; Snyman, I.; Florens, S.; Bera, S. Spin-Boson Quantum Phase Transition in Multilevel Superconducting Qubits. Phys. Rev. Lett. 2021, 127, 237702. [Google Scholar] [CrossRef]
- Dunnett, A.J.; Chin, A.W. Matrix Product State Simulations of Non-Equilibrium Steady States and Transient Heat Flows in the Two-Bath Spin-Boson Model at Finite Temperatures. Entropy 2021, 23, 77. [Google Scholar] [CrossRef]
- Puebla, R.; Casanova, J.; Houhou, O.; Solano, E.; Paternostro, M. Quantum simulation of multiphoton and nonlinear dissipative spin-boson models. Phys. Rev. A 2019, 99, 032303. [Google Scholar] [CrossRef]
- Magazzù, L.; Denisov, S.; Hänggi, P. Asymptotic Floquet states of a periodically driven spin-boson system in the nonperturbative coupling regime. Phys. Rev. E 2018, 98, 022111. [Google Scholar] [CrossRef] [PubMed]
- Magazzù, L.; Forn-Díaz, P.; Belyansky, R.; Orgiazzi, J.L.; Yurtalan, M.; Otto, M.R.; Lupascu, A.; Wilson, C.; Grifoni, M. Probing the strongly driven spin-boson model in a superconducting quantum circuit. Nat. Commun. 2018, 9, 1–8. [Google Scholar] [CrossRef] [PubMed]
- Casanova, J.; Puebla, R.; Moya-Cessa, H.; Plenio, M.B. Connecting nth order generalised quantum Rabi models: Emergence of nonlinear spin-boson coupling via spin rotations. npj Quantum Inf. 2018, 4, 47. [Google Scholar] [CrossRef]
- Wang, Y.Z.; He, S.; Duan, L.; Chen, Q.H. Quantum tricritical point emerging in the spin-boson model with two dissipative spins in staggered biases. Phys. Rev. B 2021, 103, 205106. [Google Scholar] [CrossRef]
- Zhou, N.; Zhang, Y.; Lü, Z.; Zhao, Y. Variational Study of the Two-Impurity Spin–Boson Model with a Common Ohmic Bath: Ground-State Phase Transitions. Annalen der Physik 2018, 530, 1800120. [Google Scholar] [CrossRef]
- Bonart, J. Dissipative phase transition in a pair of coupled noisy two-level systems. Phys. Rev. B 2013, 88, 125139. [Google Scholar] [CrossRef]
- McCutcheon, D.P.S.; Nazir, A.; Bose, S.; Fisher, A.J. Separation-dependent localization in a two-impurity spin-boson model. Phys. Rev. B 2010, 81, 235321. [Google Scholar] [CrossRef]
- Calvo, R.; Abud, J.E.; Sartoris, R.P.; Santana, R.C. Collapse of the EPR fine structure of a one-dimensional array of weakly interacting binuclear units: A dimensional quantum phase transition. Phys. Rev. B 2011, 84, 104433. [Google Scholar] [CrossRef]
- Napolitano, L.M.B.; Nascimento, O.R.; Cabaleiro, S.; Castro, J.; Calvo, R. Isotropic and anisotropic spin-spin interactions and a quantum phase transition in a dinuclear Cu(II) compound. Phys. Rev. B 2008, 77, 214423. [Google Scholar] [CrossRef]
- Orth, P.P.; Roosen, D.; Hofstetter, W.; Le Hur, K. Dynamics, synchronization, and quantum phase transitions of two dissipative spins. Phys. Rev. B 2010, 82, 144423. [Google Scholar] [CrossRef]
- Barenco, A.; Bennett, C.H.; Cleve, R.; DiVincenzo, D.P.; Margolus, N.; Shor, P.; Sleator, T.; Smolin, J.A.; Weinfurter, H. Elementary gates for quantum computation. Phys. Rev. A 1995, 52, 3457–3467. [Google Scholar] [CrossRef]
- Hua, M.; Tao, M.J.; Deng, F.G. Universal quantum gates on microwave photons assisted by circuit quantum electrodynamics. Phys. Rev. A 2014, 90, 012328. [Google Scholar] [CrossRef]
- Romero, G.; Ballester, D.; Wang, Y.M.; Scarani, V.; Solano, E. Ultrafast Quantum Gates in Circuit QED. Phys. Rev. Lett. 2012, 108, 120501. [Google Scholar] [CrossRef]
- Barends, R.; Quintana, C.M.; Petukhov, A.G.; Chen, Y.; Kafri, D.; Kechedzhi, K.; Collins, R.; Naaman, O.; Boixo, S.; Arute, F.; et al. Diabatic Gates Freq.-Tunable Supercond. Qubits. Phys. Rev. Lett. 2019, 123, 210501. [Google Scholar] [CrossRef]
- Kang, Y.H.; Chen, Y.H.; Wu, Q.C.; Huang, B.H.; Song, J.; Xia, Y. Fast generation of W states of superconducting qubits with multiple Schrödinger dynamics. Sci. Rep. 2016, 6, 1–13. [Google Scholar] [CrossRef]
- Lu, M.; Xia, Y.; Song, J.; An, N.B. Generation of N-atom W-class states in spatially separated cavities. J. Opt. Soc. Am. B 2013, 30, 2142–2147. [Google Scholar] [CrossRef]
- Li, J.; Paraoanu, G.S. Generation and propagation of entanglement in driven coupled-qubit systems. New J. Phys. 2009, 11, 113020. [Google Scholar] [CrossRef]
- Wootters, W.K. Entanglement of Formation of an Arbitrary State of Two Qubits. Phys. Rev. Lett. 1998, 80, 2245–2248. [Google Scholar] [CrossRef]
- Grimaudo, R.; Messina, A.; Nakazato, H.; Sergi, A.; Valenti, D. Spin-spin coupling-based quantum and classical phase transitions in two-impurity spin-boson models. arXiv 2022, arXiv:2205.09367. [Google Scholar]
- Grimaudo, R.; Messina, A.; Nakazato, H. Exactly solvable time-dependent models of two interacting two-level systems. Phys. Rev. A 2016, 94, 022108. [Google Scholar] [CrossRef]
- Grimaudo, R.; Vitanov, N.V.; Messina, A. Coupling-assisted Landau-Majorana-Stückelberg-Zener transition in a system of two interacting spin qubits. Phys. Rev. B 2019, 99, 174416. [Google Scholar] [CrossRef]
- Grimaudo, R.; Vitanov, N.V.; Messina, A. Landau-Majorana-Stückelberg-Zener dynamics driven by coupling for two interacting qutrit systems. Phys. Rev. B 2019, 99, 214406. [Google Scholar] [CrossRef]
- Grimaudo, R.; Nakazato, H.; Messina, A.; Vitanov, N.V. Dzyaloshinskii-Moriya and dipole-dipole interactions affect coupling-based Landau-Majorana-Stückelberg-Zener transitions. Phys. Rev. Res. 2020, 2, 033092. [Google Scholar] [CrossRef]
- Napoli, A.; Guccione, M.; Messina, A.; Chruściński, D. Interaction-free evolving states of a bipartite system. Phys. Rev. A 2014, 89, 062104. [Google Scholar] [CrossRef]
- Chruściński, D.; Messina, A.; Militello, B.; Napoli, A. Interaction-free evolution in the presence of time-dependent Hamiltonians. Phys. Rev. A 2015, 91, 042123. [Google Scholar] [CrossRef]
- Militello, B.; Chruściński, D.; Messina, A.; Należyty, P.; Napoli, A. Generalized interaction-free evolutions. Phys. Rev. A 2016, 93, 022113. [Google Scholar] [CrossRef]
- Cahill, K.E.; Glauber, R.J. Ordered Expansions in Boson Amplitude Operators. Phys. Rev. 1969, 177, 1857–1881. [Google Scholar] [CrossRef]
- Weiss, U. Quantum Dissipative Systems; World Scientific: Singapore, 2012. [Google Scholar] [CrossRef]
- Albash, T.; Boixo, S.; Lidar, D.A.; Zanardi, P. Quantum adiabatic Markovian master equations. New J. Phys. 2012, 14, 123016. [Google Scholar] [CrossRef]
- Ying, Z.J.; Cong, L.; Sun, X.M. Quantum phase transition and spontaneous symmetry breaking in a nonlinear quantum Rabi model. J. Phys. A: Math. Theor. 2020, 53, 345301. [Google Scholar] [CrossRef]
- Ying, Z.J. Symmetry-breaking patterns, tricriticalities, and quadruple points in the quantum Rabi model with bias and nonlinear interaction. Phys. Rev. A 2021, 103, 063701. [Google Scholar] [CrossRef]
- Liu, J.; Liu, M.; Ying, Z.J.; Luo, H.G. Fundamental Models in the Light–Matter Interaction: Quantum Phase Transitions and the Polaron Picture. Adv. Quantum Technol. 2021, 4, 2000139. [Google Scholar] [CrossRef]
- Ying, Z.J. From Quantum Rabi Model To Jaynes–Cummings Model: Symmetry-Breaking Quantum Phase Transitions, Symmetry-Protected Topological Transitions and Multicriticality. Adv. Quantum Technol. 2022, 5, 2100088. [Google Scholar] [CrossRef]
- Ying, Z.J. Hidden Single-Qubit Topological Phase Transition without Gap Closing in Anisotropic Light-Matter Interactions. Adv. Quantum Technol. 2022, 5, 2100165. [Google Scholar] [CrossRef]
- Hwang, M.J.; Puebla, R.; Plenio, M.B. Quantum Phase Transition and Universal Dynamics in the Rabi Model. Phys. Rev. Lett. 2015, 115, 180404. [Google Scholar] [CrossRef]
- Lee, C.F.; Johnson, N.F. First-Order Superradiant Phase Transitions in a Multiqubit Cavity System. Phys. Rev. Lett. 2004, 93, 083001. [Google Scholar] [CrossRef]
- Li, X.; Dreon, D.; Zupancic, P.; Baumgärtner, A.; Morales, A.; Zheng, W.; Cooper, N.R.; Donner, T.; Esslinger, T. First order phase transition between two centro-symmetric superradiant crystals. Phys. Rev. Res. 2021, 3, L012024. [Google Scholar] [CrossRef]
- Hepp, K.; Lieb, E.H. On the superradiant phase transition for molecules in a quantized radiation field: The dicke maser model. Ann. Phys. 1973, 76, 360–404. [Google Scholar] [CrossRef]
- Wang, Y.K.; Hioe, F.T. Phase Transition in the Dicke Model of Superradiance. Phys. Rev. A 1973, 7, 831–836. [Google Scholar] [CrossRef]
- Leonardi, C.; Persico, F.; Vetri, G. Dicke model and the theory of driven and spontaneous emission. Riv. Nuovo Cimento (1978–1999) 1986, 9, 1–85. [Google Scholar] [CrossRef]
- Grimaudo, R.; Messina, A.; Ivanov, P.A.; Vitanov, N.V. Spin-1/2 sub-dynamics nested in the quantum dynamics of two coupled qutrits. J. Phys. A Math. Theor. 2017, 50, 175301. [Google Scholar] [CrossRef]
- Grimaudo, R.; Lamata, L.; Solano, E.; Messina, A. Cooling of many-body systems via selective interactions. Phys. Rev. A 2018, 98, 042330. [Google Scholar] [CrossRef]
- Grimaudo, R.; Isar, A.; Mihaescu, T.; Ghiu, I.; Messina, A. Dynamics of quantum discord of two coupled spin-1/2’s subjected to time-dependent magnetic fields. Results Phys. 2019, 13, 102147. [Google Scholar] [CrossRef]
- Grimaudo, R.; Belousov, Y.; Nakazato, H.; Messina, A. Time evolution of a pair of distinguishable interacting spins subjected to controllable and noisy magnetic fields. Ann. Phys. 2018, 392, 242–259. [Google Scholar] [CrossRef]
- Grimaudo, R.; Man’ko, V.I.; Man’ko, M.A.; Messina, A. Dynamics of a harmonic oscillator coupled with a Glauber amplifier. Phys. Scr. 2019, 95, 024004. [Google Scholar] [CrossRef]
- Gorini, V.; Kossakowski, A.; Sudarshan, E.C.G. Completely positive dynamical semigroups of N-level systems. J. Math. Phys. 1976, 17, 821–825. [Google Scholar] [CrossRef]
- Lindblad, G. On the generators of quantum dynamical semigroups. Comm. Math. Phys. 1976, 48, 119–130. [Google Scholar] [CrossRef]
- Kapral, R.; Ciccotti, G. Mixed quantum-classical dynamics. J. Chem. Phys. 1999, 110, 8919–8929. [Google Scholar] [CrossRef]
- Kapral, R. Quantum-classical dynamics in a classical bath. J. Phys. Chem. A 2001, 105, 2885–2889. [Google Scholar] [CrossRef]
- Sergi, A. Non-Hamiltonian commutators in quantum mechanics. Phys. Rev. E 2005, 72, 066125. [Google Scholar] [CrossRef]
- Feshbach, H. Unified theory of nuclear reactions. Ann. Phys. 1958, 5, 357–390. [Google Scholar] [CrossRef]
- Bender, C.M.; Boettcher, S. Real Spectra in Non-Hermitian Hamiltonians Having PT Symmetry. Phys. Rev. Lett. 1998, 80, 5243–5246. [Google Scholar] [CrossRef]
- Mostafazadeh, A. Conceptual aspects of PT-symmetry and pseudo-Hermiticity: A status report. Phys. Scr. 2010, 82, 038110. [Google Scholar] [CrossRef]
- Rotter, I.; Bird, J.P. A review of progress in the physics of open quantum systems: Theory and experiment. Rep. Prog. Phys. 2015, 78, 114001. [Google Scholar] [CrossRef]
- Sergi, A.; Zloshchastiev, K.G. Time correlation functions for non-Hermitian quantum systems. Phys. Rev. A 2015, 91, 062108. [Google Scholar] [CrossRef]
- Brody, D.C.; Graefe, E.M. Mixed-State Evolution in the Presence of Gain and Loss. Phys. Rev. Lett. 2012, 109, 230405. [Google Scholar] [CrossRef]
- Grimaudo, R.; de Castro, A.S.M.; Kuś, M.; Messina, A. Exactly solvable time-dependent pseudo-Hermitian su(1,1) Hamiltonian models. Phys. Rev. A 2018, 98, 033835. [Google Scholar] [CrossRef]
- Grimaudo, R.; de Castro, A.S.M.; Nakazato, H.; Messina, A. Analytically solvable 2 × 2 PT-symmetry dynamics from su(1,1)-symmetry problems. Phys. Rev. A 2019, 99, 052103. [Google Scholar] [CrossRef]
- Grimaudo, R.; Messina, A.; Sergi, A.; Vitanov, N.V.; Filippov, S.N. Two-Qubit Entanglement Generation through Non-Hermitian Hamiltonians Induced by Repeated Measurements on an Ancilla. Entropy 2020, 22, 1184. [Google Scholar] [CrossRef]
- Benguria, R.; Kac, M. Quantum Langevin Equation. Phys. Rev. Lett. 1981, 46, 1–4. [Google Scholar] [CrossRef]
- Cortés, E.; West, B.J.; Lindenberg, K. On the generalized Langevin equation: Classical and quantum mechanical. J. Chem. Phys. 1985, 82, 2708–2717. [Google Scholar] [CrossRef]
- Ford, G.; Kac, M. On the quantum Langevin equation. J. Stat. Phys. 1987, 46, 803–810. [Google Scholar] [CrossRef]
- Ford, G.W.; Lewis, J.T.; O’Connell, R.F. Quantum Langevin equation. Phys. Rev. A 1988, 37, 4419–4428. [Google Scholar] [CrossRef]
- Gardiner, C. Quantum noise and quantum Langevin equations. IBM J. Res. Dev. 1988, 32, 127–136. [Google Scholar] [CrossRef]
- Reitz, M.; Sommer, C.; Genes, C. Langevin Approach to Quantum Optics with Molecules. Phys. Rev. Lett. 2019, 122, 203602. [Google Scholar] [CrossRef]
- Surazhevsky, I.; Demin, V.; Ilyasov, A.; Emelyanov, A.; Nikiruy, K.; Rylkov, V.; Shchanikov, S.; Bordanov, I.; Gerasimova, S.; Guseinov, D.; et al. Noise-assisted persistence and recovery of memory state in a memristive spiking neuromorphic network. Chaos Solitons Fractals 2021, 146, 110890. [Google Scholar] [CrossRef]


Disclaimer/Publisher’s Note: The statements, opinions and data contained in all publications are solely those of the individual author(s) and contributor(s) and not of MDPI and/or the editor(s). MDPI and/or the editor(s) disclaim responsibility for any injury to people or property resulting from any ideas, methods, instructions or products referred to in the content. |
© 2023 by the authors. Licensee MDPI, Basel, Switzerland. This article is an open access article distributed under the terms and conditions of the Creative Commons Attribution (CC BY) license (https://creativecommons.org/licenses/by/4.0/).
Share and Cite
Grimaudo, R.; Valenti, D.; Sergi, A.; Messina, A. Superradiant Quantum Phase Transition for an Exactly Solvable Two-Qubit Spin-Boson Model. Entropy 2023, 25, 187. https://doi.org/10.3390/e25020187
Grimaudo R, Valenti D, Sergi A, Messina A. Superradiant Quantum Phase Transition for an Exactly Solvable Two-Qubit Spin-Boson Model. Entropy. 2023; 25(2):187. https://doi.org/10.3390/e25020187
Chicago/Turabian StyleGrimaudo, Roberto, Davide Valenti, Alessandro Sergi, and Antonino Messina. 2023. "Superradiant Quantum Phase Transition for an Exactly Solvable Two-Qubit Spin-Boson Model" Entropy 25, no. 2: 187. https://doi.org/10.3390/e25020187
APA StyleGrimaudo, R., Valenti, D., Sergi, A., & Messina, A. (2023). Superradiant Quantum Phase Transition for an Exactly Solvable Two-Qubit Spin-Boson Model. Entropy, 25(2), 187. https://doi.org/10.3390/e25020187

