Discrete-Time Quantum Walk on Multilayer Networks
Abstract
:1. Introduction
2. QWs on a Graph
2.1. Matrix Representation and Simulation
2.2. Probability Calculation
3. QWs on Multilayer Networks
4. Classical Random Walk on Multilayer Networks
5. Numerical Implementation on a Toy Model
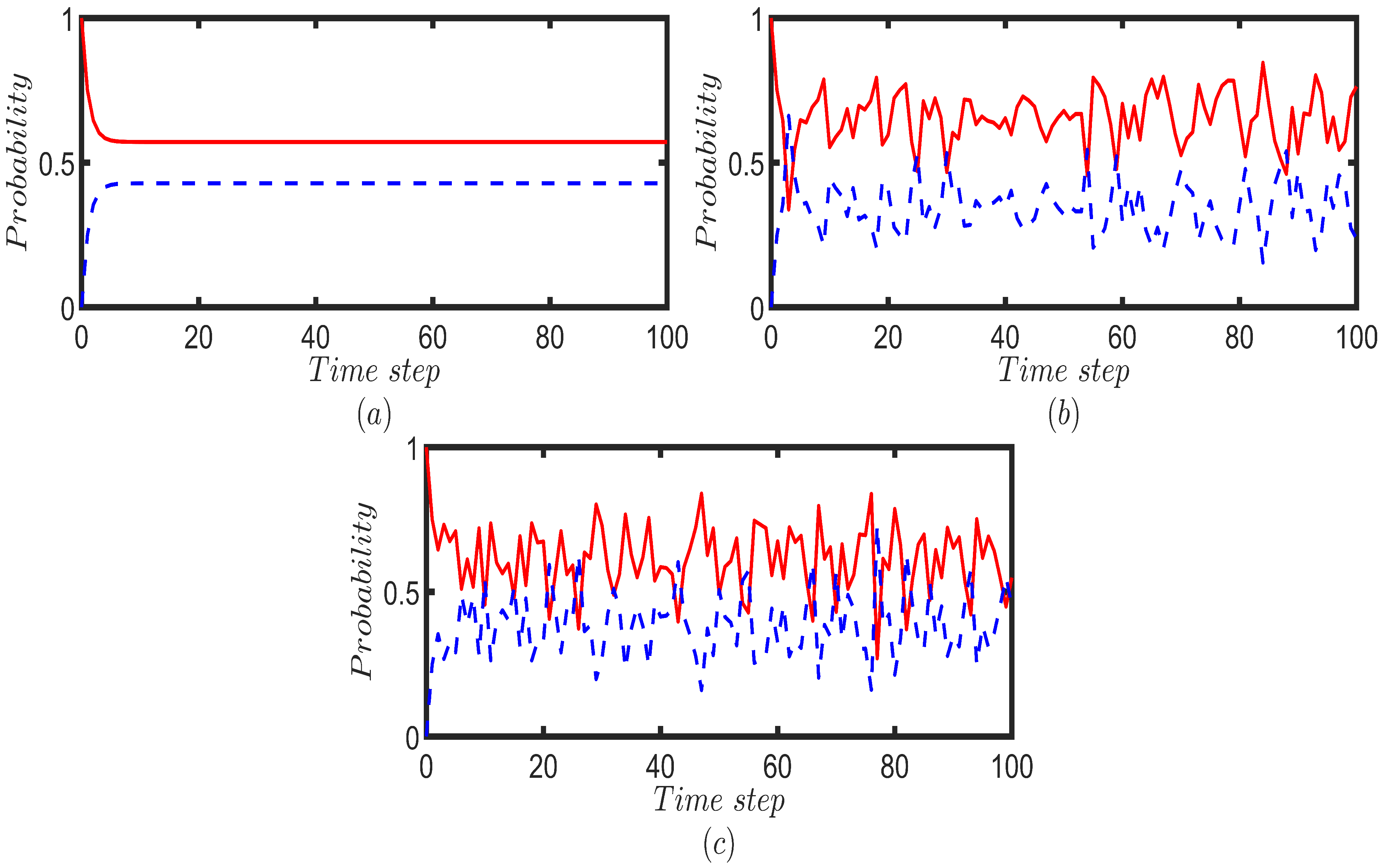
5.1. Probability Distribution
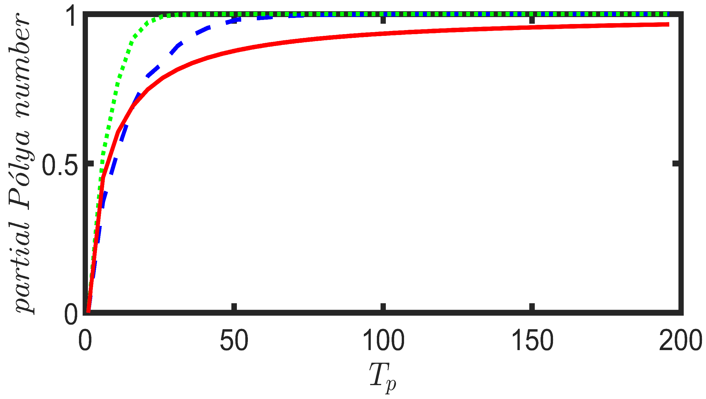
5.2. Return Probability
5.3. Impact of Decoherence
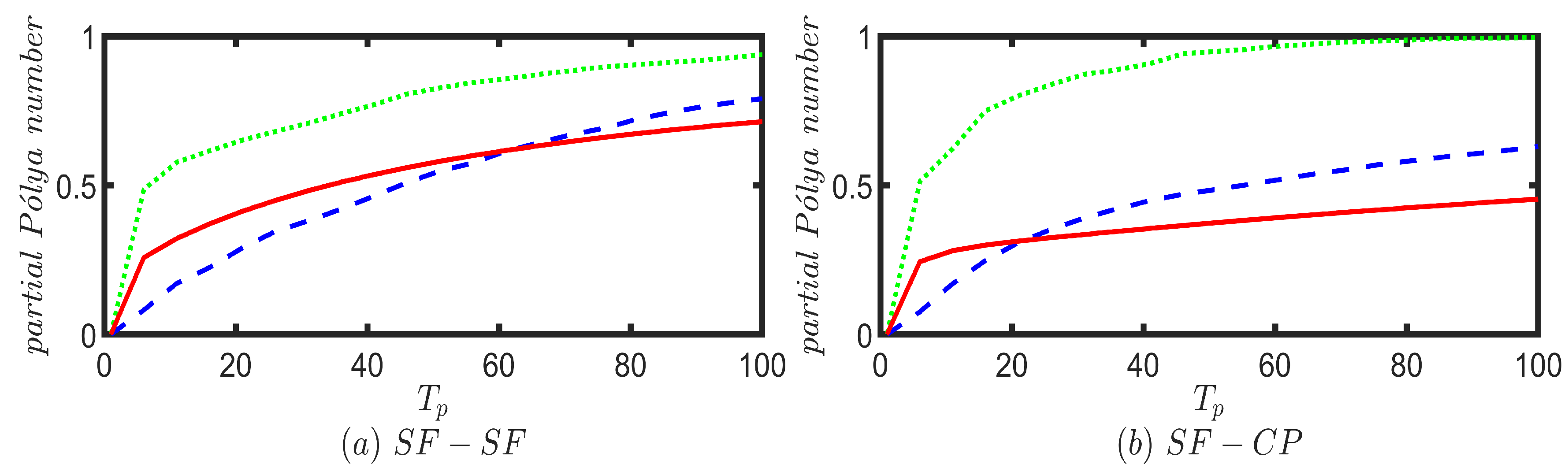
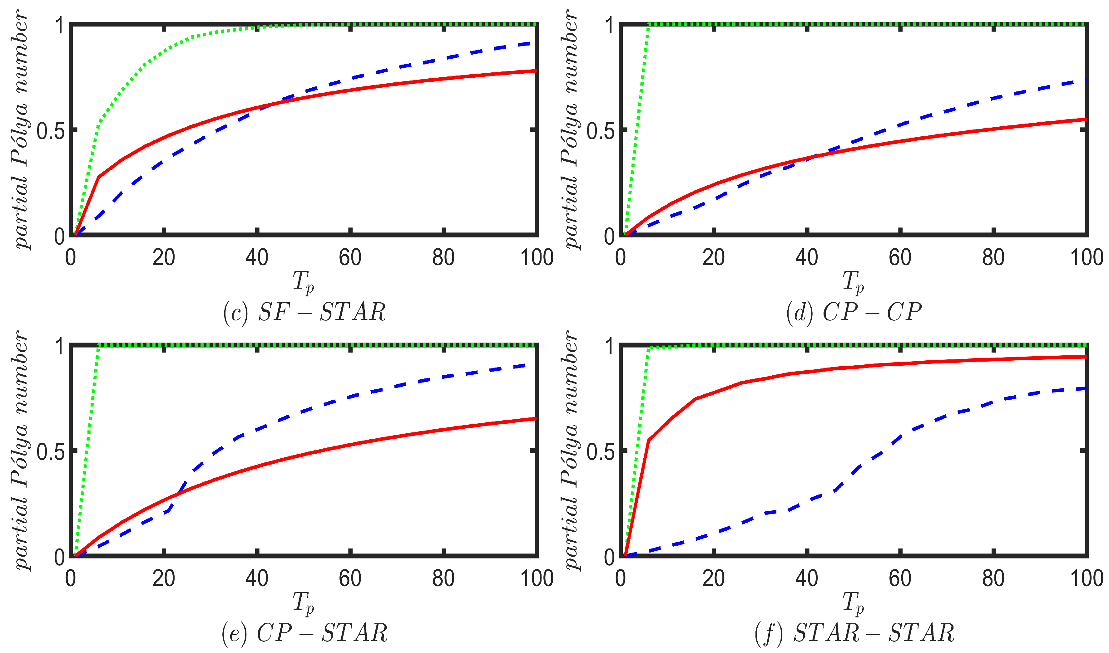
6. Numerical Implementation on Synthetic Multilayer Networks
7. Discussion
Author Contributions
Funding
Institutional Review Board Statement
Data Availability Statement
Conflicts of Interest
Appendix A. Arc-Reversal Model vs. Our Method Described in Section 2


Appendix B. Coin Flip and Shift Operation

Appendix C. Some Probability Profiles of UBCRW, Fourier and Grover Walks
Appendix D. Probability Profiles of UBCRW on Six Different Multiplex Networks


References
- Childs, A.M.; Gosset, D.; Webb, Z. Universal computation by multiparticle quantum walk. Science 2013, 339, 791–794. [Google Scholar] [CrossRef] [PubMed]
- Kempe, J. Quantum random walks: An introductory overview. Contemp. Phys. 2003, 44, 307–327. [Google Scholar] [CrossRef]
- Wang, J.; Manouchehri, K. Physical Implementation of Quantum Walks; Springer: Berlin/Heidelberg, Germany, 2013. [Google Scholar]
- Venegas-Andraca, S.E. Quantum walks: A comprehensive review. Quantum Inf. Process. 2012, 11, 1015–1106. [Google Scholar] [CrossRef]
- Aleta, A.; Moreno, Y. Multilayer networks in a nutshell. Annu. Rev. Condens. Matter Phys. 2019, 10, 45–62. [Google Scholar] [CrossRef]
- Jalan, S.; Pradhan, P. Localization of multilayer networks by optimized single-layer rewiring. Phys. Rev. E 2018, 97, 042314. [Google Scholar] [CrossRef]
- De Domenico, M.; Granell, C.; Porter, M.A.; Arenas, A. The physics of spreading processes in multilayer networks. Nat. Phys. 2016, 12, 901–906. [Google Scholar] [CrossRef]
- Pilosof, S.; Porter, M.A.; Pascual, M.; Kéfi, S. The multilayer nature of ecological networks. Nat. Ecol. Evol. 2017, 1, 0101. [Google Scholar] [CrossRef] [PubMed]
- Gosak, M.; Markovič, R.; Dolenšek, J.; Rupnik, M.S.; Marhl, M.; Stožer, A.; Perc, M. Network science of biological systems at different scales: A review. Phys. Life Rev. 2018, 24, 118–135. [Google Scholar] [CrossRef]
- Gallotti, R.; Barthelemy, M. The multilayer temporal network of public transport in Great Britain. Sci. Data 2015, 2, 140056. [Google Scholar] [CrossRef]
- Musmeci, N.; Nicosia, V.; Aste, T.; Di Matteo, T.; Latora, V. The multiplex dependency structure of financial markets. Complexity 2017, 2017, 9586064. [Google Scholar] [CrossRef]
- Galiceanu, M.; Strunz, W.T. Continuous-time quantum walks on multilayer dendrimer networks. Phys. Rev. E 2016, 94, 022307. [Google Scholar] [CrossRef] [PubMed]
- Maquiné Batalha, G.; Volta, A.; Strunz, W.T.; Galiceanu, M. Quantum transport on honeycomb networks. Sci. Rep. 2022, 12, 6896. [Google Scholar] [CrossRef] [PubMed]
- Maciel, C.M.; Mendes, C.F.; Strunz, W.T.; Galiceanu, M. Quantum transport on generalized scale-free networks. Phys. Rev. A 2020, 102, 032219. [Google Scholar] [CrossRef]
- Ambainis, A. Quantum walks and their algorithmic applications. Int. J. Quantum Inf. 2003, 1, 507–518. [Google Scholar] [CrossRef]
- Aharonov, D.; Ambainis, A.; Kempe, J.; Vazirani, U. Quantum walks on graphs. In Proceedings of the Thirty-Third Annual ACM Symposium on Theory of Computing, Hersonissos, Greece, 6 July 2001; pp. 50–59. [Google Scholar]
- Godsil, C.; Zhan, H. Discrete-time quantum walks and graph structures. J. Comb. Theory Ser. A 2019, 167, 181–212. [Google Scholar] [CrossRef]
- Watrous, J. Quantum simulations of classical random walks and undirected graph connectivity. J. Comput. Syst. Sci. 2001, 62, 376–391. [Google Scholar] [CrossRef]
- Kendon, V. Quantum walks on general graphs. Int. J. Quantum Inf. 2006, 4, 791–805. [Google Scholar] [CrossRef]
- Feldman, E.; Hillery, M. Scattering theory and discrete-time quantum walks. Phys. Lett. A 2004, 324, 277–281. [Google Scholar] [CrossRef]
- Jayakody, M.N.; Meena, C.; Pradhan, P. Revisiting one-dimensional discrete-time quantum walks with general coin. Phys. Open 2023, 17, 100189. [Google Scholar] [CrossRef]
- Manouchehri, K.; Wang, J. Quantum random walks without walking. Phys. Rev. A 2009, 80, 060304. [Google Scholar] [CrossRef]
- Boccaletti, S.; Bianconi, G.; Criado, R.; Del Genio, C.I.; Gómez-Gardenes, J.; Romance, M.; Sendina-Nadal, I.; Wang, Z.; Zanin, M. The structure and dynamics of multilayer networks. Phys. Rep. 2014, 544, 1–122. [Google Scholar] [CrossRef]
- Mukai, K.; Hatano, N. Discrete-time quantum walk on complex networks for community detection. Phys. Rev. Res. 2020, 2, 023378. [Google Scholar] [CrossRef]
- Al-sharoa, E.; Aviyente, S. A Unified Spectral Clustering Approach for Detecting Community Structure in Multilayer Networks. Symmetry 2023, 15, 1368. [Google Scholar] [CrossRef]
- Lovász, L. Random walks on graphs. Comb. Paul Erdos Is Eighty 1993, 2, 4. [Google Scholar]
- Venegas-Andraca, S.E. Quantum Walks for Computer Scientists; Morgan and Claypool Publishers: San Rafael, CA, USA, 2008; Volume 1, pp. 1–119. [Google Scholar]
- Baptista, A.; Gonzalez, A.; Baudot, A. Universal multilayer network exploration by random walk with restart. Commun. Phys. 2022, 5, 170. [Google Scholar] [CrossRef]
- Gomez, S.; Diaz-Guilera, A.; Gomez-Gardenes, J.; Perez-Vicente, C.J.; Moreno, Y.; Arenas, A. Diffusion dynamics on multiplex networks. Phys. Rev. Lett. 2013, 110, 028701. [Google Scholar] [CrossRef] [PubMed]
- Faccin, M.; Johnson, T.; Biamonte, J.; Kais, S.; Migdał, P. Degree distribution in quantum walks on complex networks. Phys. Rev. X 2013, 3, 041007. [Google Scholar] [CrossRef]
- Pólya, G. Über eine Aufgabe der Wahrscheinlichkeitsrechnung betreffend die Irrfahrt im Straßennetz. Math. Ann. 1921, 84, 149. [Google Scholar] [CrossRef]
- Štefaňák, M.; Kiss, T.; Jex, I. Recurrence properties of unbiased coined quantum walks on infinite d-dimensional lattices. Phys. Rev. A 2008, 78, 032306. [Google Scholar] [CrossRef]
- Štefaňák, M.; Jex, I.; Kiss, T. Recurrence and Pólya number of quantum walks. Phys. Rev. Lett. 2008, 100, 020501. [Google Scholar] [CrossRef]
- Leung, G.; Knott, P.; Bailey, J.; Kendon, V. Coined quantum walks on percolation graphs. New J. Phys. 2010, 12, 123018. [Google Scholar] [CrossRef]
- Kollár, B.; Kiss, T.; Novotnỳ, J.; Jex, I. Asymptotic dynamics of coined quantum walks on percolation graphs. Phys. Rev. Lett. 2012, 108, 230505. [Google Scholar] [CrossRef] [PubMed]
- Kiumi, C.; Konno, N.; Tamura, S. Return probability of quantum and correlated random walks. Entropy 2022, 24, 584. [Google Scholar] [CrossRef] [PubMed]
- Sajid, M.; Asbóth, J.K.; Meschede, D.; Werner, R.F.; Alberti, A. Creating anomalous Floquet Chern insulators with magnetic quantum walks. Phys. Rev. B 2019, 99, 214303. [Google Scholar] [CrossRef]
- Kitagawa, T.; Rudner, M.S.; Berg, E.; Demler, E. Exploring topological phases with quantum walks. Phys. Rev. A 2010, 82, 033429. [Google Scholar] [CrossRef]
- Khazali, M. Discrete-time quantum-walk & Floquet topological insulators via distance-selective Rydberg-interaction. Quantum 2022, 6, 664. [Google Scholar]
- Wang, X.; Zhan, X.; Li, Y.; Xiao, L.; Zhu, G.; Qu, D.; Lin, Q.; Yu, Y.; Xue, P. Generalized Quantum Measurements on a Higher-Dimensional System via Quantum Walks. Phys. Rev. Lett. 2023, 131, 150803. [Google Scholar] [CrossRef]









Disclaimer/Publisher’s Note: The statements, opinions and data contained in all publications are solely those of the individual author(s) and contributor(s) and not of MDPI and/or the editor(s). MDPI and/or the editor(s) disclaim responsibility for any injury to people or property resulting from any ideas, methods, instructions or products referred to in the content. |
© 2023 by the authors. Licensee MDPI, Basel, Switzerland. This article is an open access article distributed under the terms and conditions of the Creative Commons Attribution (CC BY) license (https://creativecommons.org/licenses/by/4.0/).
Share and Cite
Jayakody, M.N.; Pradhan, P.; Ben Porath, D.; Cohen, E. Discrete-Time Quantum Walk on Multilayer Networks. Entropy 2023, 25, 1610. https://doi.org/10.3390/e25121610
Jayakody MN, Pradhan P, Ben Porath D, Cohen E. Discrete-Time Quantum Walk on Multilayer Networks. Entropy. 2023; 25(12):1610. https://doi.org/10.3390/e25121610
Chicago/Turabian StyleJayakody, Mahesh N., Priodyuti Pradhan, Dana Ben Porath, and Eliahu Cohen. 2023. "Discrete-Time Quantum Walk on Multilayer Networks" Entropy 25, no. 12: 1610. https://doi.org/10.3390/e25121610
APA StyleJayakody, M. N., Pradhan, P., Ben Porath, D., & Cohen, E. (2023). Discrete-Time Quantum Walk on Multilayer Networks. Entropy, 25(12), 1610. https://doi.org/10.3390/e25121610

