CEGH: A Hybrid Model Using CEEMD, Entropy, GRU, and History Attention for Intraday Stock Market Forecasting
Abstract
1. Introduction
2. The CEGH Model
2.1. Framework
2.2. CEEMD
2.3. Entropy-Based Denoising
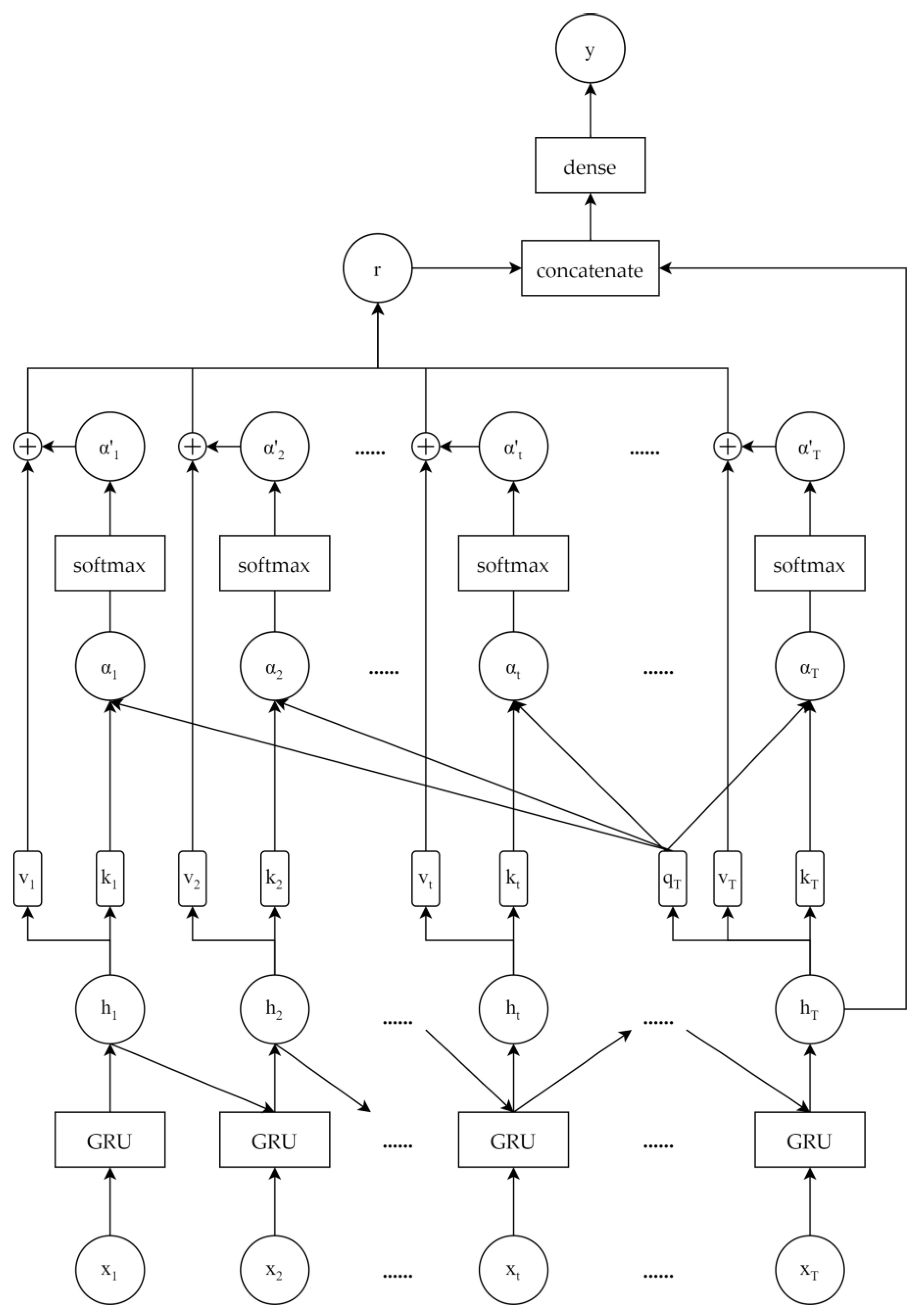
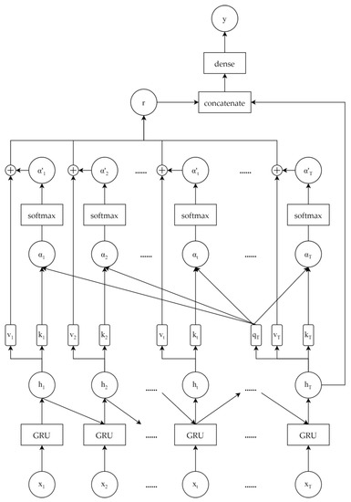
2.4. GRU-HA
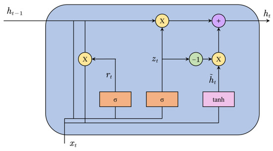
2.4.1. GRU
2.4.2. History Attention
3. Experiments
3.1. Data
3.2. Decomposing and Denoising
3.3. Grouping and Forecasting
3.3.1. Grouping
3.3.2. Forecasting
4. Results and Discussion
4.1. Evaluation Metric
4.2. Baseline Methods
4.3. Group Results
4.4. Ensemble Results
5. Conclusions
Author Contributions
Funding
Institutional Review Board Statement
Data Availability Statement
Conflicts of Interest
References
- Valaskova, K.; Kliestik, T.; Gajdosikova, D. Distinctive Determinants of Financial Indebtedness: Evidence from Slovak and Czech Enterprises. Equilibrium. Q. J. Econ. Econ. Policy 2021, 16, 639–659. [Google Scholar] [CrossRef]
- Cavalcante, R.C.; Brasileiro, R.C.; Souza, V.L.F.; Nobrega, J.P.; Oliveira, A.L.I. Computational Intelligence and Financial Markets: A Survey and Future Directions. Expert Syst. Appl. 2016, 55, 194–211. [Google Scholar] [CrossRef]
- Gu, S.; Kelly, B.; Xiu, D. Empirical Asset Pricing via Machine Learning. Rev. Financ. Stud. 2020, 33, 2223–2273. [Google Scholar] [CrossRef]
- Sezer, O.B.; Gudelek, M.U.; Ozbayoglu, A.M. Financial Time Series Forecasting with Deep Learning: A Systematic Literature Review: 2005–2019. Appl. Soft Comput. 2020, 90, 106181. [Google Scholar] [CrossRef]
- Hu, Z.; Zhao, Y.; Khushi, M. A Survey of Forex and Stock Price Prediction Using Deep Learning. ASI 2021, 4, 9. [Google Scholar] [CrossRef]
- Thakkar, A.; Chaudhari, K. A Comprehensive Survey on Deep Neural Networks for Stock Market: The Need, Challenges, and Future Directions. Expert Syst. Appl. 2021, 177, 114800. [Google Scholar] [CrossRef]
- Fischer, T.; Krauss, C. Deep Learning with Long Short-Term Memory Networks for Financial Market Predictions. Eur. J. Oper. Res. 2018, 270, 654–669. [Google Scholar] [CrossRef]
- Zhao, J.; Zeng, D.; Liang, S.; Kang, H.; Liu, Q. Prediction Model for Stock Price Trend Based on Recurrent Neural Network. J. Ambient Intell. Hum. Comput. 2021, 12, 745–753. [Google Scholar] [CrossRef]
- Sako, K.; Mpinda, B.N.; Rodrigues, P.C. Neural Networks for Financial Time Series Forecasting. Entropy 2022, 24, 657. [Google Scholar] [CrossRef]
- Galassi, A.; Lippi, M.; Torroni, P. Attention in Natural Language Processing. IEEE Trans. Neural Netw. Learn. Syst. 2020, 1–18. [Google Scholar] [CrossRef]
- Guo, M.-H.; Xu, T.-X.; Liu, J.-J.; Liu, Z.-N.; Jiang, P.-T.; Mu, T.-J.; Zhang, S.-H.; Martin, R.R.; Cheng, M.-M.; Hu, S.-M. Attention Mechanisms in Computer Vision: A Survey. Comp. Vis. Media 2022, 8, 331–368. [Google Scholar] [CrossRef]
- Chaudhari, S.; Mithal, V.; Polatkan, G.; Ramanath, R. An Attentive Survey of Attention Models. arXiv 2020, arXiv:1904.02874. [Google Scholar] [CrossRef]
- Bahdanau, D.; Cho, K.; Bengio, Y. Neural Machine Translation by Jointly Learning to Align and Translate. arXiv 2014, arXiv:1409.0473. [Google Scholar]
- Luong, M.-T.; Pham, H.; Manning, C.D. Effective Approaches to Attention-Based Neural Machine Translation. arXiv 2015, arXiv:1508.04025. [Google Scholar]
- Vaswani, A.; Shazeer, N.; Parmar, N.; Uszkoreit, J.; Jones, L.; Gomez, A.N.; Kaiser, Ł.; Polosukhin, I. Attention Is All You Need. In Advances in Neural Information Processing Systems 30; Guyon, I., Luxburg, U.V., Bengio, S., Wallach, H., Fergus, R., Vishwanathan, S., Garnett, R., Eds.; Curran Associates, Inc.: Red Hook, NY, USA, 2017; pp. 5998–6008. [Google Scholar]
- Zhou, H.; Zhang, S.; Peng, J.; Zhang, S.; Li, J.; Xiong, H.; Zhang, W. Informer: Beyond Efficient Transformer for Long Sequence Time-Series Forecasting. arXiv 2021, arXiv:2012.07436. [Google Scholar] [CrossRef]
- Sukhbaatar, S.; Szlam, A.; Weston, J.; Fergus, R. End-To-End Memory Networks. In Proceedings of the Advances in Neural Information Processing Systems; Curran Associates, Inc.: Red Hook, NY, USA, 2015; Volume 28. [Google Scholar]
- Zhang, Q.; Yang, L.; Zhou, F. Attention Enhanced Long Short-Term Memory Network with Multi-Source Heterogeneous Information Fusion: An Application to BGI Genomics. Inf. Sci. 2021, 553, 305–330. [Google Scholar] [CrossRef]
- Teng, X.; Zhang, X.; Luo, Z. Multi-Scale Local Cues and Hierarchical Attention-Based LSTM for Stock Price Trend Prediction. Neurocomputing 2022, 505, 92–100. [Google Scholar] [CrossRef]
- Xu, H.; Chai, L.; Luo, Z.; Li, S. Stock Movement Prediction via Gated Recurrent Unit Network Based on Reinforcement Learning with Incorporated Attention Mechanisms. Neurocomputing 2022, 467, 214–228. [Google Scholar] [CrossRef]
- Wang, J.; Zhang, Y.; Tang, K.; Wu, J.; Xiong, Z. AlphaStock: A Buying-Winners-and-Selling-Losers Investment Strategy Using Interpretable Deep Reinforcement Attention Networks. In Proceedings of the 25th ACM SIGKDD International Conference on Knowledge Discovery & Data Mining, Anchorage, AK, USA, 4–8 August 2019; Association for Computing Machinery: New York, NY, USA, 2019; pp. 1900–1908. [Google Scholar]
- Huang, N.E.; Shen, Z.; Long, S.R.; Wu, M.C.; Shih, H.H.; Zheng, Q.; Yen, N.-C.; Tung, C.C.; Liu, H.H. The Empirical Mode Decomposition and the Hilbert Spectrum for Nonlinear and Non-Stationary Time Series Analysis. Proc. R. Soc. Lond. A 1998, 454, 903–995. [Google Scholar] [CrossRef]
- Wu, Z.; Huang, N.E. Ensemble empirical mode decomposition: A noise-assisted data analysis method. Adv. Adapt. Data Anal. 2009, 1, 1–41. [Google Scholar] [CrossRef]
- Torres, M.E.; Colominas, M.A.; Schlotthauer, G.; Flandrin, P. A Complete Ensemble Empirical Mode Decomposition with Adaptive Noise. In Proceedings of the 2011 IEEE International Conference on Acoustics, Speech and Signal Processing (ICASSP), Prague, Czech Republic, 22–27 May 2011; pp. 4144–4147. [Google Scholar]
- Cao, J.; Li, Z.; Li, J. Financial Time Series Forecasting Model Based on CEEMDAN and LSTM. Phys. A Stat. Mech. Its Appl. 2019, 519, 127–139. [Google Scholar] [CrossRef]
- Zhang, Y.; Yan, B.; Aasma, M. A Novel Deep Learning Framework: Prediction and Analysis of Financial Time Series Using CEEMD and LSTM. Expert Syst. Appl. 2020, 159, 113609. [Google Scholar] [CrossRef]
- Rezaei, H.; Faaljou, H.; Mansourfar, G. Stock Price Prediction Using Deep Learning and Frequency Decomposition. Expert Syst. Appl. 2021, 169, 114332. [Google Scholar] [CrossRef]
- Lv, P.; Wu, Q.; Xu, J.; Shu, Y. Stock Index Prediction Based on Time Series Decomposition and Hybrid Model. Entropy 2022, 24, 146. [Google Scholar] [CrossRef]
- Delgado-Bonal, A.; Marshak, A. Approximate Entropy and Sample Entropy: A Comprehensive Tutorial. Entropy 2019, 21, 541. [Google Scholar] [CrossRef]
- Vințe, C.; Ausloos, M. The Cross-Sectional Intrinsic Entropy—A Comprehensive Stock Market Volatility Estimator. Entropy 2022, 24, 623. [Google Scholar] [CrossRef]
- Olbryś, J.; Majewska, E. Regularity in Stock Market Indices within Turbulence Periods: The Sample Entropy Approach. Entropy 2022, 24, 921. [Google Scholar] [CrossRef]
- Raubitzek, S.; Neubauer, T. An Exploratory Study on the Complexity and Machine Learning Predictability of Stock Market Data. Entropy 2022, 24, 332. [Google Scholar] [CrossRef]
- Chou, L.-W.; Chang, K.-M.; Wei, Y.-C.; Lu, M.-K. Empirical Mode Decomposition-Derived Entropy Features Are Beneficial to Distinguish Elderly People with a Falling History on a Force Plate Signal. Entropy 2021, 23, 472. [Google Scholar] [CrossRef]
- Shang, H.; Li, Y.; Xu, J.; Qi, B.; Yin, J. A Novel Hybrid Approach for Partial Discharge Signal Detection Based on Complete Ensemble Empirical Mode Decomposition with Adaptive Noise and Approximate Entropy. Entropy 2020, 22, 1039. [Google Scholar] [CrossRef]
- Pincus, S.M. Approximate Entropy as a Measure of System Complexity. Proc. Natl. Acad. Sci. USA 1991, 88, 2297–2301. [Google Scholar] [CrossRef] [PubMed]
- Richman, J.S.; Moorman, J.R. Physiological Time-Series Analysis Using Approximate Entropy and Sample Entropy. Am. J. Physiol. Heart Circ. Physiol. 2000, 278, H2039–H2049. [Google Scholar] [CrossRef] [PubMed]
- Kingma, D.P.; Ba, J. Adam: A Method for Stochastic Optimization. arXiv 2017, arXiv:1412.6980. [Google Scholar]
- Hochreiter, S.; Schmidhuber, J. Long Short-Term Memory. Neural Comput. 1997, 9, 1735–1780. [Google Scholar] [CrossRef] [PubMed]
- Chung, J.; Gulcehre, C.; Cho, K.; Bengio, Y. Empirical Evaluation of Gated Recurrent Neural Networks on Sequence Modeling. arXiv 2014, arXiv:1412.3555. [Google Scholar]
- Lin, Y.; Lin, Z.; Liao, Y.; Li, Y.; Xu, J.; Yan, Y. Forecasting the Realized Volatility of Stock Price Index: A Hybrid Model Integrating CEEMDAN and LSTM. Expert Syst. Appl. 2022, 206, 117736. [Google Scholar] [CrossRef]
- Lv, P.; Shu, Y.; Xu, J.; Wu, Q. Modal Decomposition-Based Hybrid Model for Stock Index Prediction. Expert Syst. Appl. 2022, 202, 117252. [Google Scholar] [CrossRef]






| IMF | SP500 | CSI300 | ||||
|---|---|---|---|---|---|---|
| ApEn | SampEn | std | ApEn | SampEn | std | |
| IMF1 | 1.5097 | 1.0883 | 0.2128 | 1.3405 | 1.0185 | 9.5485 |
| IMF2 | 1.2393 | 0.9526 | 0.2224 | 0.9256 | 0.6293 | 9.9564 |
| IMF3 | 0.6819 | 0.5577 | 0.3087 | 0.6645 | 0.5572 | 13.3986 |
| IMF4 | 0.5909 | 0.4734 | 0.4841 | 0.5105 | 0.3777 | 25.4280 |
| IMF5 | 0.4468 | 0.3271 | 0.7496 | 0.3611 | 0.2668 | 32.2427 |
| IMF6 | 0.2071 | 0.1546 | 1.0234 | 0.1132 | 0.0863 | 56.3356 |
| IMF7 | 0.0758 | 0.0646 | 1.6871 | 0.0419 | 0.0370 | 91.7791 |
| IMF8 | 0.0316 | 0.0293 | 2.5416 | 0.0120 | 0.0069 | 206.8343 |
| IMF9 | 0.0089 | 0.0076 | 5.7662 | 0.0036 | 0.0032 | 358.5965 |
| IMF10 | 0.0029 | 0.0028 | 5.6095 | 0.0010 | 0.0009 | 207.4260 |
| IMF11 | 0.0001 | 0.0002 | 32.6616 | 0.0001 | 0.0003 | 175.7148 |
| Parameters | Values |
|---|---|
| Types of layers | Dense, GRU, Attention |
| Time steps | 40 |
| Number of hidden layers | 1, 2, 3, 4, 5 |
| Number of units | 2, 4, 8, 16, 32 |
| Activation function | ReLU |
| Optimizer | Adam |
| Loss function | MSE |
| Regularization | Early stopping |
| Epochs | 500 |
| Group | Method | SP500 | CSI300 | ||
|---|---|---|---|---|---|
| MAE | RMSE | MAE | RMSE | ||
| Control group | FNN | 0.6110 | 1.1336 | 10.4914 | 15.6528 |
| LSTM | 0.6069 | 1.1224 | 10.3923 | 15.4842 | |
| GRU | 0.6057 | 1.1220 | 10.3889 | 15.4876 | |
| GRU-HA | 0.6060 | 1.1209 | 10.3866 | 15.4379 | |
| High group | FNN | 0.0774 | 0.2698 | 1.1830 | 1.9700 |
| LSTM | 0.0312 | 0.0551 | 0.6829 | 1.0783 | |
| GRU | 0.0308 | 0.0533 | 0.4744 | 0.8126 | |
| GRU-HA | 0.0252 | 0.0412 | 0.4416 | 0.7841 | |
| Med group | FNN | 0.1271 | 0.3566 | 3.8023 | 6.4337 |
| LSTM | 0.1105 | 0.3324 | 2.4664 | 4.0836 | |
| GRU | 0.0671 | 0.2591 | 2.2344 | 3.4608 | |
| GRU-HA | 0.0121 | 0.1102 | 1.4439 | 2.3653 | |
| Low group | FNN | 0.4972 | 0.6638 | 7.3824 | 9.2645 |
| Trend group | FNN | 0.1031 | 0.1061 | 0.1035 | 0.1192 |
| Methods | SP500 | CSI300 | |||
|---|---|---|---|---|---|
| MAE | RMSE | MAE | RMSE | ||
| Undecomposed model | FNN | 1.3696 | 1.9580 | 41.2979 | 51.2116 |
| LSTM | 2.1711 | 2.8756 | 73.9993 | 83.5591 | |
| GRU | 1.9814 | 2.5009 | 30.3358 | 42.6427 | |
| GRU-HA | 1.0864 | 1.6937 | 21.1347 | 30.0292 | |
| Decomposition-based model | CEEMD-GRU-HA | 0.9373 | 1.3438 | 13.0379 | 17.9178 |
| CEGH | 0.8761 | 1.2528 | 12.1849 | 16.8103 | |
Disclaimer/Publisher’s Note: The statements, opinions and data contained in all publications are solely those of the individual author(s) and contributor(s) and not of MDPI and/or the editor(s). MDPI and/or the editor(s) disclaim responsibility for any injury to people or property resulting from any ideas, methods, instructions or products referred to in the content. |
© 2022 by the authors. Licensee MDPI, Basel, Switzerland. This article is an open access article distributed under the terms and conditions of the Creative Commons Attribution (CC BY) license (https://creativecommons.org/licenses/by/4.0/).
Share and Cite
Liu, Y.; Liu, X.; Zhang, Y.; Li, S. CEGH: A Hybrid Model Using CEEMD, Entropy, GRU, and History Attention for Intraday Stock Market Forecasting. Entropy 2023, 25, 71. https://doi.org/10.3390/e25010071
Liu Y, Liu X, Zhang Y, Li S. CEGH: A Hybrid Model Using CEEMD, Entropy, GRU, and History Attention for Intraday Stock Market Forecasting. Entropy. 2023; 25(1):71. https://doi.org/10.3390/e25010071
Chicago/Turabian StyleLiu, Yijiao, Xinghua Liu, Yuxin Zhang, and Shuping Li. 2023. "CEGH: A Hybrid Model Using CEEMD, Entropy, GRU, and History Attention for Intraday Stock Market Forecasting" Entropy 25, no. 1: 71. https://doi.org/10.3390/e25010071
APA StyleLiu, Y., Liu, X., Zhang, Y., & Li, S. (2023). CEGH: A Hybrid Model Using CEEMD, Entropy, GRU, and History Attention for Intraday Stock Market Forecasting. Entropy, 25(1), 71. https://doi.org/10.3390/e25010071
