MCMCINLA Estimation of Missing Data and Its Application to Public Health Development in China in the Post-Epidemic Era
Abstract
:1. Introduction
2. Model Building
2.1. Missing Mechanism
2.2. The SLM Latent Model
3. Algorithm Description
3.1. Proof of GMRF Structure
3.1.1. GMRF Structure of the Main Model
3.1.2. GMRF Structure of the Imputation Model
3.2. Implementation of the MCMCINLA Algorithm
- Imputation of the missing covariates using INLAIn this paper, we chose to impute the missing covariates using a CAR space model-based approach, which first requires the definition of the mean, precision, hyperparameters, and prior of each hyperparameter in the latent effect . The key codes are as follows:which define the spatial weight matrix (“graph”), precision matrix (“Q”), mean (“mu”), hyperparameter prior (“log.prior”), etc. in the latent effect by the inla.rgeneric.micar.model, respectively, in preparation for defining the imputation model;inla.rgeneric.micar.model = function(cmd = c(“graph”, “Q”, “mu”, “initial”,”log.norm.const”, “log.prior”, “quit”), theta = NULL),which defines the imputation model via the inla.rgeneric.define(), where n denotes the total number of indices, x denotes the covariates containing the missing data, idx.mis denotes the index of each missing datum, and W is the spatial weight matrix; andmodel = inla.rgeneric.define(inla.rgeneric.micar.model, debug = TRUE, n, x, idx.mis, W),where, finally, INLA is used to complete the fit of the imputation model, and where f(idx, model =model) represents the spatial effect of the imputation model. The covariate after imputation via INLA is incorporated into the SLM, at which time there are three parameters to be estimated in the model, namely, the spatial autocorrelation parameter , the covariate coefficient , and the error term precision . Here, we use MH estimation for the parameter and BMA estimation for the remaining parameters.inla(x~0 + f(idx, model = model),data,…),
- Estimation of the spatial autocorrelation parameter using MHThe estimation of using MH is carried out in three main steps, as follows:
- Step 1: Assume that starting from the initial point , the model is fitted conditionally with to obtain , , and ;
- Step 2: Use the MH algorithm to sample from the posterior of , propose a new point for by proposing the distribution , fit the model conditionally on to obtain , , and , and calculate , , and ;
- Step 3: Calculate the acceptance probability of and determine whether the proposal is acceptable (or not), where:
- 3.
- Estimation of the coefficient and precision using BMAFor the parameter and hyperparameter , the conditional margins and generated by the MH algorithm in each iteration can be obtained using BMA, and further, the posterior margins of and are derived by integrating over namely:
4. Simulation Study
4.1. Data Generation
- In the main model, , and Y is generated by Equation (14) and we randomly remove 15% data as the missing values in using the MAR mechanism;
- In the imputation model, ; and
- The spatial weight matrices in both the main model and the imputation model are selected as Queen-type adjoints, created in the regular lattice, and all error terms in the model obey the normal distribution , taking the sample size = 250, pre-burn simulation of 20 times, interval rejection after pre-burn to keep one of the 5 iterations, and, finally, a total of 80 iterations of simulation are completed.
4.2. Fitting Effect Evaluation Indicators
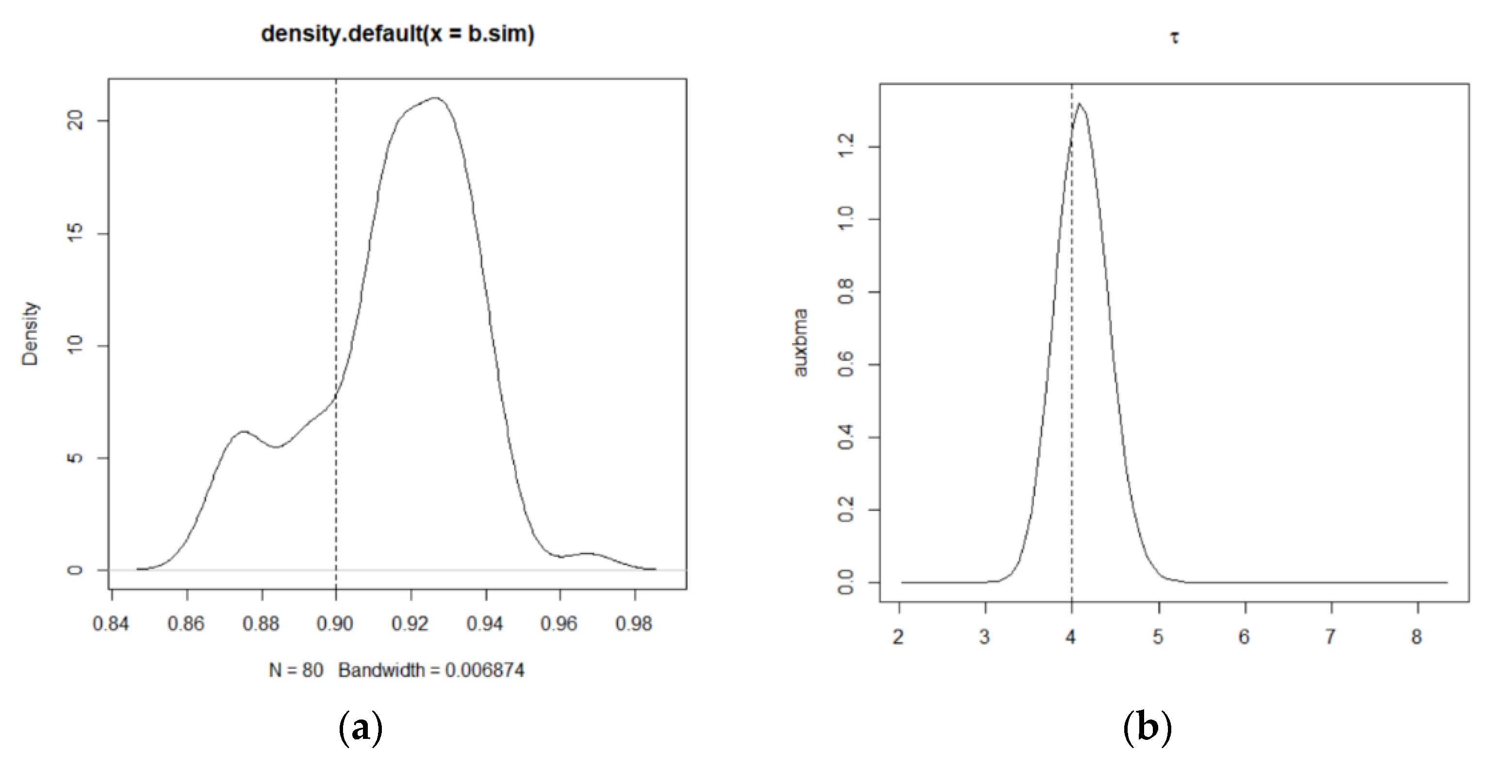
4.3. Results Analysis
5. Empirical Analysis
5.1. Subject Presents
5.2. Exploring the Development of Public Health in China in the Post-Epidemic Era
5.3. Imputation of Missing Predictor Values
5.4. Comparison of Different Imputation Methods
6. Conclusions and Discussion
Author Contributions
Funding
Data Availability Statement
Acknowledgments
Conflicts of Interest
References
- Natal, J.; Ávila, I.; Tsukahara, V.B.; Pinheiro, M.; Maciel, C.D. Entropy: From Thermodynamics to Information Processing. Entropy 2021, 23, 1340. [Google Scholar] [CrossRef]
- Little, R.; Rubin, D.B. Statistical Analysis with Missing Data; John Wiley & Sons: Hoboken, NJ, USA, 2002. [Google Scholar]
- Buuren, S.V.; Groothuis-Oudshoorn, K. Mice: Multivariate imputation by chained equations in r. J. Stat. Softw. 2011, 3, 1–67. [Google Scholar] [CrossRef] [Green Version]
- Ghahramani, Z. Supervised learning from incomplete data via an EM approach. Adv. Neural Inf. Process. Syst. 1984, 6, 120–127. [Google Scholar]
- Annas, S.; Kartikasari, P.; Arisandi, R. Handling Incomplete Data with Regression Imputation. J. Phys. Conf. Ser. 2021, 1752, 012049. [Google Scholar] [CrossRef]
- Rubin, D.B. Multiple Imputation for Nonresponse in Surveys; John Wiley & Sons: Hoboken, NJ, USA, 1987. [Google Scholar]
- Razavi-Far, R.; Cheng, B.; Saif, M.; Ahmadi, M. Similarity-learning information-fusion schemes for missing data imputation. Knowl. Based Syst. 2020, 187, 104805.1–104805.13. [Google Scholar] [CrossRef]
- Raja, P.; Thangavel, K. Soft Clustering Based Missing Value Imputation. In Convention of the Computer Society of India; Springer: Singapore, 2016; pp. 119–133. [Google Scholar]
- Ye, C.; Wang, H.; Lu, W.; Li, J. Effective Bayesian-network-based missing value imputation enhanced by crowdsourcing. Knowl. Based Syst. 2019, 190, 105199. [Google Scholar] [CrossRef]
- Mason, A.J. Bayesian Methods for Modelling Non-Random Missing Data Mechanisms in Longitudinal Studies; Imperial College London: London, UK, 2009. [Google Scholar]
- Erler, N.S.; Rizopoulos, D.; Rosmalen, J.V.; Jaddoe, V.W.V.; Franco, O.H.; Lesaffre, E.M.E.H. Dealing with missing covariates in epidemiologic studies: A comparison between multiple imputation and a full bayesian approach. Stat. Med. 2016, 17, 2955–2974. [Google Scholar] [CrossRef]
- Zhang, W.; Jiang, Y.; Yin, G.; Yu, L. A software workload missing data processing method based on plain Bayesian and EM algorithms. Syst. Eng. Theory Pract. 2017, 37, 2965–2974. (In Chinese) [Google Scholar]
- Ding, M. A comparison of Bayesian and Jackknife multiple imputation methods for missing data of normal models. Comput. Technol. Autom. 2020, 39, 119–123. (In Chinese) [Google Scholar]
- Doğan, O.; Taşpinar, S. Bayesian Inference in Spatial Sample Selection Models. Oxf. Bull. Econ. Stat. 2018, 1, 90–121. [Google Scholar] [CrossRef]
- Seya, H.; Tomari, M.; Uno, S.; Phillips, A. Parameter estimation in spatial econometric models with non-random missing data. Appl. Econ. Lett. 2020, 28, 440–446. [Google Scholar] [CrossRef]
- Rue, H.; Martino, S.; Chopin, N. Approximate Bayesian inference for latent Gaussian models by using integrated nested Laplace approximations. J. R. Stat. Soc. Ser. B 2009, 2, 319–392. [Google Scholar] [CrossRef]
- Gómez-Rubio, V.; Bivand, R.S.; Rue, H. Estimating spatial econometrics models with integrated nested Laplace approximation. Mathematics 2017, 17, 2044. [Google Scholar] [CrossRef]
- Gómez-Rubio, V.; Rue, H. Markov Chain Monte Carlo with the Integrated Nested Laplace Approximation. Stat. Comput. 2018, 28, 1033–1051. [Google Scholar] [CrossRef] [Green Version]
- Gómez-Rubio, V.; Cameletti, M.; Blangiardo, M. Missing Data Analysis and Imputation via Latent Gaussian Markov Random Fields. arXiv 2019, arXiv:1912.10981. [Google Scholar]
- Xiong, Z.; Guo, H.; Wu, Y. A review of missing data processing methods. Comput. Eng. Appl. 2021, 14, 12. (In Chinese) [Google Scholar]
- Hoeting, J.; David Madigan, A.R.; Volinsky, C. Bayesian model averaging: A tutorial. Stat. Sci. 2001, 14, 382–401. [Google Scholar]
- Zhong, R.; Chen, L. Study on the reform of public health financial investment in Hunan Province in the context of the COVID-19. Econ. Res. Ref. 2021, 20, 99–112. (In Chinese) [Google Scholar]
- Zhang, H.; Mu, G.; Dang, J.; Li, C.; Liu, J. Missing data filling method in cardiac diagnosis system. J. Adv. Sci. 2021, 41, 44–49. (In Chinese) [Google Scholar]
- Hjertqvist, M.; Klein, S.L.; Ahlm, C. Mortality rate patterns for hemorrhagic fever with renal syndrome caused by Puumala virus. Emerg. Infect. Dis. 2010, 16, 1584–1586. [Google Scholar] [CrossRef]
- Shan, Y.; Kong, F.; Li, J.; Nie, W.; Li, S. Research progress of public health institutional mechanism reform in the late epidemic period. China Rural. Health Manag. 2021, 41, 581–585. (In Chinese) [Google Scholar]
- Hao, S.J.; Xiong, L.P. Normalization of public health system for major infectious disease epidemics. J. PLA Hosp. Manag. 2021, 28, 1104–1106. (In Chinese) [Google Scholar]
- Xiao, H.; Tian, H.; Cazelles, B. Atmospheric moisture variability and transmission of hemorrhagic fever with renal syndrome in Changsha City, Mainland China, 1991–2010. PLoS Negl. Trop. Dis. 2013, 7, e2260. [Google Scholar] [CrossRef] [PubMed]
- Song, Z.; Guo, L.; Zheng, T. Comparison of data processing methods for cognitive diagnostic deficits: Zero replacement, multiple imputation and great likelihood estimation. J. Psychol. 2022, 54, 426–444. (In Chinese) [Google Scholar]
- Dempster, A.P.; Laird, N.M.; Rubin, D.B. Maximum likelihood from incomplete data via the EM algorithm. Proc. R. Stat. Soc. 1977, 39, 1–22. [Google Scholar]
- Graham, W. Missing data analysis: Making it work in the real world. Annu. Rev. Psychol. 2009, 60, 549. [Google Scholar] [CrossRef] [PubMed] [Green Version]
- Zhang, B.; Song, G. An Empirical Study on the Methods of Missing Data in Large-scale Air Quality Monitoring. China Environ. Sci. 2022, 42, 2078–2087. (In Chinese) [Google Scholar]




| Mean | 0.2970 | 0.5040 | 0.9153 | 4.1133 |
| Standard Deviation | 0.0744 | 0.0840 | 0.0210 | 0.3036 |
| 95% Credible interval | (0.2463, 0.3466) | (0.4468, 0.5599) | (0.8711, 0.9432) | (3.9036, 4.3127) |
| MSE | 2.25 × 10−8 | 4 × 10−8 | 5.929 × 10−7 | 3.209 × 10−5 |
| DIC | 12.7841 | |||
| Mean | 95%CI | True Value | Accuracy | |
|---|---|---|---|---|
| V1 | 0.1732 | (0.1010, 0.2454) | 0.1848 | 0.9372 |
| V2 | 0.6821 | (0.6502, 0.7140) | 0.7023 | 0.9712 |
| V3 | 0.5500 | (0.4928, 0.6073) | 0.5733 | 0.9593 |
| V4 | 0.1720 | (0.1405, 0.2033) | 0.1680 | 0.9791 |
| V5 | 0.9578 | (0.9284, 0.9872) | 0.9438 | 0.9853 |
| V6 | 0.9276 | (0.9020, 0.9534) | 0.9434 | 0.9832 |
| V7 | 0.1101 | (0.0118, 0.2084) | 0.1291 | 0.8528 |
| V8 | 0.8169 | (0.7875, 0.8461) | 0.8334 | 0.9802 |
| V9 | 0.4790 | (0.4479, 0.5105) | 0.4680 | 0.9770 |
| V10 | 0.5222 | (0.4633, 0.5813) | 0.5499 | 0.9496 |
| V11 | 0.5312 | (0.4862, 0.5763) | 0.5526 | 0.9612 |
| V12 | 0.2510 | (0.1945, 0.3055) | 0.2388 | 0.9513 |
| V13 | 0.7798 | (0.7504, 0.8092) | 0.7605 | 0.9752 |
| V14 | 0.1673 | (0.0911, 0.2435) | 0.1808 | 0.9253 |
| V15 | 0.4223 | (0.3773, 0.4673) | 0.4052 | 0.9595 |
| V16 | 0.8467 | (0.8292, 0.8644) | 0.8535 | 0.9920 |
| V17 | 0.9601 | (0.9390, 0.9810) | 0.9763 | 0.9834 |
| V18 | 0.2333 | (0.2039,0.2627) | 0.2258 | 0.9678 |
| V19 | 0.4298 | (0.4006,0.4594) | 0.4448 | 0.9662 |
| V20 | 0.0800 | (0.0075,0.1558) | 0.0749 | 0.9362 |
| V21 | 0.6472 | (0.6215, 0.6729) | 0.6618 | 0.9779 |
| V22 | 0.3664 | (0.3075, 0.4253) | 0.3875 | 0.9455 |
| V23 | 0.8468 | (0.8269, 0.8667) | 0.8368 | 0.9881 |
| V24 | 0.1436 | (0.0908, 0.1967) | 0.1505 | 0.9541 |
| V25 | 0.3280 | (0.2684, 0.3872) | 0.3472 | 0.9447 |
| V26 | 0.5998 | (0.5814, 0.6186) | 0.6114 | 0.9810 |
| V27 | 0.3776 | (0.3254, 0.4230) | 0.3949 | 0.9561 |
| V28 | 0.5401 | (0.5300, 0.5500) | 0.5396 | 0.9990 |
| V29 | 0.8579 | (0.8455, 0.8703) | 0.8616 | 0.9957 |
| V30 | 0.7492 | (0.7491, 0.7618) | 0.7524 | 0.9957 |
| V31 | 0.7376 | (0.7083, 0.7695) | 0.7582 | 0.9728 |
| V32 | 0.9165 | (0.9066, 0.9264) | 0.9238 | 0.9920 |
| V33 | 0.3179 | (0.2753, 0.3605) | 0.3289 | 0.9665 |
| V34 | 0.1323 | (0.0294, 0.2355) | 0.1563 | 0.8464 |
| V35 | 0.2290 | (0.1604, 0.2976) | 0.2151 | 0.9393 |
| V36 | 0.1075 | (0.0586, 0.1564) | 0.1128 | 0.9530 |
| V37 | 0.2001 | (0.1712, 0.2232) | 0.1957 | 0.9780 |
| V38 | 0.8436 | (0.8235, 0.8640) | 0.8576 | 0.9836 |
| V39 | 0.2179 | (0.1712, 0.2646) | 0.2277 | 0.9569 |
| V40 | 0.7447 | (0.7214, 0.7683) | 0.7670 | 0.9709 |
| Variables | Mean | Standard Deviation | 95% Credible Interval |
|---|---|---|---|
| The number of infectious disease cases | −0.0421 | 0.0429 | (−0.0711, −0.0135) |
| Economic development | 1.2719 | 0.1001 | (1.2043, 1.3385) |
| Scientific and technological development | −0.3777 | 0.0925 | (−0.4399, −0.3160) |
| Mean | 95%CI | True Value | Accuracy | |
|---|---|---|---|---|
| Ningxia (2016) | 4.3678 | (2.8478, 5.8889) | 4 | 0.9157 |
| Tibet (2016) | 1.1752 | (0.1642, 2.1894) | 1 | 0.8509 |
| Hubei (2016) | 248.4683 | (226.5048, 270.4318) | 236 | 0.9498 |
| Guangdong (2016) | 436.1809 | (391.1957, 481.1663) | 410 | 0.9399 |
| Gansu (2016) | 20.4501 | (11.3075, 29.5927) | 19 | 0.9290 |
| Hebei (2016) | 456.7421 | (406.4227, 510.0615) | 434 | 0.9502 |
| Guangxi (2017) | 14.9736 | (9.7006, 20.2477) | 14 | 0.9349 |
| Beijing (2017) | 7.7038 | (4.8404, 10.5663) | 7 | 0.9086 |
| Xinjiang (2018) | 1.1431 | (0.0471, 2.2392) | 1 | 0.8748 |
| Shanxi (2018) | 22.5906 | (14.3455, 30.8357) | 21 | 0.9295 |
| Tibet (2018) | 1.1620 | (0.1601, 2.1639) | 1 | 0.8605 |
| Shandong (2018) | 1268.9431 | (1025.2239, 1512.6623) | 1218 | 0.9598 |
| Fujian (2018) | 447.8379 | (408.5648, 487.1110) | 430 | 0.9601 |
| Tianjin (2018) | 21.0547 | (12.3284, 29.7810) | 20 | 0.9499 |
| Chongqing (2018) | 13.0454 | (7.7685, 18.3223) | 12 | 0.9198 |
| Mean | 95%CI | True Value | Accuracy | |
|---|---|---|---|---|
| Ningxia (2016) | 4.3922 | (2.8294, 5.9552) | 4 | 0.9107 |
| Tibet (2016) | 1.1610 | (0.1573, 2.1647) | 1 | 0.8613 |
| Hubei (2016) | 255.4665 | (212.1427, 298.7903) | 236 | 0.9238 |
| Guangdong (2016) | 444.9267 | (372.6629, 517.1905) | 410 | 0.9215 |
| Gansu (2016) | 20.6387 | (10.9749, 30.3025) | 19 | 0.9206 |
| Hebei (2016) | 457.8542 | (401.1974, 514.5110) | 434 | 0.9479 |
| Guangxi (2017) | 15.3475 | (9.0223, 21.6727) | 14 | 0.9122 |
| Beijing (2017) | 7.9113 | (4.1923, 11.6303) | 7 | 0.8848 |
| Xinjiang (2018) | 1.1326 | (0.0012, 2.2640) | 1 | 0.8829 |
| Shanxi (2018) | 22.9332 | (13.5426, 32.3238) | 21 | 0.9157 |
| Tibet (2018) | 1.1372 | (0.1477, 2.1266) | 1 | 0.8793 |
| Shandong (2018) | 1292.1705 | (1009.3498, 1574.9912) | 1218 | 0.9426 |
| Fujian (2018) | 453.3473 | (396.4419, 510.2527) | 430 | 0.9485 |
| Tianjin (2018) | 21.4799 | (11.3123, 31.6475) | 20 | 0.9311 |
| Chongqing (2018) | 13.3288 | (7.0392, 19.6184) | 12 | 0.9003 |
| Mean | 95%CI | True Value | Accuracy | |
|---|---|---|---|---|
| Ningxia (2016) | 4.4400 | (2.7943, 6.0857) | 4 | 0.9009 |
| Tibet (2016) | 1.1219 | (0.1621, 2.0817) | 1 | 0.8913 |
| Hubei (2016) | 256.9686 | (210.1379, 303.7993) | 236 | 0.9184 |
| Guangdong (2016) | 450.1042 | (368.4492, 531.7592) | 410 | 0.9109 |
| Gansu (2016) | 20.9320 | (10.8787, 30.9853) | 19 | 0.9077 |
| Hebei (2016) | 468.7837 | (392.1163, 545.4583) | 434 | 0.9258 |
| Guangxi (2017) | 15.5936 | (8.9372, 22.2501) | 14 | 0.8978 |
| Beijing (2017) | 7.8431 | (4.3958, 11.2904) | 7 | 0.8925 |
| Xinjiang (2018) | 1.1282 | (0.0297, 2.2267) | 1 | 0.8863 |
| Shanxi (2018) | 23.2970 | (12.4424, 34.1517) | 21 | 0.9014 |
| Tibet (2018) | 1.1462 | (0.1392, 2.1532) | 1 | 0.8724 |
| Shandong (2018) | 1312.6414 | (1004.2167, 1621.0661) | 1218 | 0.9279 |
| Fujian (2018) | 457.3981 | (391.2553, 523.5409) | 430 | 0.9401 |
| Tianjin (2018) | 21.7936 | (11.0744, 32.5128) | 20 | 0.9177 |
| Chongqing (2018) | 13.5379 | (7.0102, 20.0656) | 12 | 0.8864 |
| Evaluation Indicators | MCMCINLA | EM | FIML |
|---|---|---|---|
| MSE | 4.27 × 10−5 | 9.44 × 10−5 | 2.153 × 10−4 |
| MAPE | 3.498 × 10−5 | 7.2 × 10−5 | 1.058 × 10−4 |
| r | 0.9222 | 0.9122 | 0.9051 |
Publisher’s Note: MDPI stays neutral with regard to jurisdictional claims in published maps and institutional affiliations. |
© 2022 by the authors. Licensee MDPI, Basel, Switzerland. This article is an open access article distributed under the terms and conditions of the Creative Commons Attribution (CC BY) license (https://creativecommons.org/licenses/by/4.0/).
Share and Cite
Teng, J.; Ding, S.; Shi, X.; Zhang, H.; Hu, X. MCMCINLA Estimation of Missing Data and Its Application to Public Health Development in China in the Post-Epidemic Era. Entropy 2022, 24, 916. https://doi.org/10.3390/e24070916
Teng J, Ding S, Shi X, Zhang H, Hu X. MCMCINLA Estimation of Missing Data and Its Application to Public Health Development in China in the Post-Epidemic Era. Entropy. 2022; 24(7):916. https://doi.org/10.3390/e24070916
Chicago/Turabian StyleTeng, Jiaqi, Shuzhen Ding, Xiaoping Shi, Huiguo Zhang, and Xijian Hu. 2022. "MCMCINLA Estimation of Missing Data and Its Application to Public Health Development in China in the Post-Epidemic Era" Entropy 24, no. 7: 916. https://doi.org/10.3390/e24070916
APA StyleTeng, J., Ding, S., Shi, X., Zhang, H., & Hu, X. (2022). MCMCINLA Estimation of Missing Data and Its Application to Public Health Development in China in the Post-Epidemic Era. Entropy, 24(7), 916. https://doi.org/10.3390/e24070916
