Efficiency Fluctuations in a Quantum Battery Charged by a Repeated Interaction Process
Abstract
:1. Introduction
2. Thermodynamic Description for Completely Positive Trace-Preserving Maps
Maps with Thermodynamic Equilibrium
3. The Battery
4. Fluctuations
4.1. Repeated Interaction for a Map with Equilibrium
4.2. Fluctuations in the Equilibrium State
4.3. Recharging Process
4.4. Extracting Process
4.5. Fluctuating Efficiency for the Cycle
5. Examples
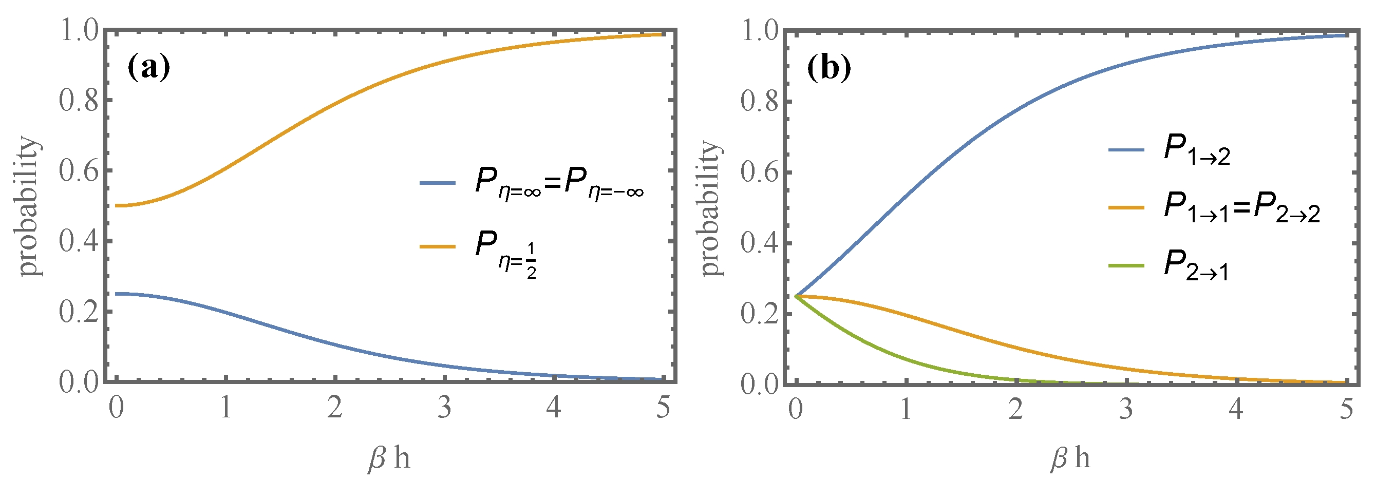
5.1. Single-Qubit Battery
5.1.1. Fluctuating Efficiency
5.1.2. Equilibrium Fluctuation
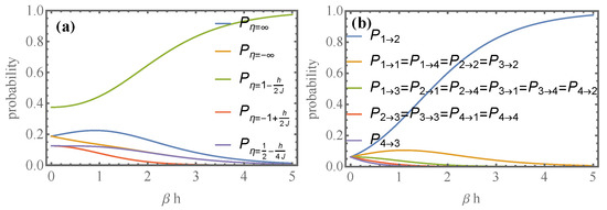
5.2. Two-Qubit Battery
5.2.1. Fluctuating Efficiency
5.2.2. Heat and Work Fluctuations in the Partial Recharging Process
6. Discussion
Funding
Data Availability Statement
Conflicts of Interest
Appendix A. Distributions for Maps with Equilibrium
References
- Attal, S.; Pautrat, Y. From repeated to continuous quantum interactions. Ann. Inst. Henri Poincaré 2006, 7, 59. [Google Scholar] [CrossRef] [Green Version]
- Attal, S.; Joye, A. Weak coupling and continuous limits for repeated quantum interactions. J. Stat. Phys. 2007, 126, 1241. [Google Scholar] [CrossRef] [Green Version]
- Giovannetti, V.; Palma, G.M. Master equations for correlated quantum channels. Phys. Rev. Lett. 2012, 108, 040401. [Google Scholar] [CrossRef] [PubMed] [Green Version]
- Karevski, D.; Platini, T. Quantum nonequilibrium steady states induced by repeated interactions. Phys. Rev. Lett. 2009, 102, 207207. [Google Scholar] [CrossRef] [PubMed] [Green Version]
- Lorenzo, S.; Ciccarello, F.; Palma, G.M.; Vacchini, B. Quantum Non-Markovian Piecewise Dynamics from Collision Models. Open Syst. Inf. Dyn. 2017, 24, 1740011. [Google Scholar] [CrossRef] [Green Version]
- Strasberg, P. Repeated interactions and quantum stochastic thermodynamics at strong coupling. Phys. Rev. Lett. 2019, 123, 180604. [Google Scholar] [CrossRef] [Green Version]
- Cresser, J.D. Quantum-field model of the injected atomic beam in the micromaser. Phys. Rev. A 1992, 46, 5913. [Google Scholar] [CrossRef]
- Englert, B.G.; Morigi, G. Five lectures on dissipative master equations. In Coherent Evolution in Noisy Environments—Lecture Notes in Physics; Buchleitner, A., Hornberger, K., Eds.; Springer: Berlin/Heidelberg, Germany, 2002; p. 611. [Google Scholar]
- Walther, H. The Deterministic Generation of Photons by Cavity Quantum Electrodynamics, Chapter 1 of Elements of Quantum Information; Wiley: Hoboken, NJ, USA, 2007. [Google Scholar]
- Ciccarello, F. Collision models in quantum optics. Quantum Meas. Quantum Metrol. 2017, 4, 53. [Google Scholar] [CrossRef] [Green Version]
- Kosloff, R. Quantum thermodynamics: A dynamical viewpoint. Entropy 2013, 15, 2100. [Google Scholar] [CrossRef] [Green Version]
- Kosloff, R.; Levy, A. Quantum heat engines and refrigerators: Continuous devices. Annu. Rev. Phys. Chem. 2014, 65, 365. [Google Scholar] [CrossRef] [Green Version]
- Vinjanampathy, S.; Anders, J. Quantum thermodynamics. Contemp. Phys. 2016, 57, 545. [Google Scholar] [CrossRef] [Green Version]
- Goold, J.; Huber, M.; Riera, A.; del Rio, L.; Skrzypczyk, P. The role of quantum information in thermodynamics: A topical review. J. Phys. A Math. Theor. 2016, 49, 143001. [Google Scholar] [CrossRef]
- Strasberg, P. Quantum Stochastic Thermodynamics: Foundations and Selected Applications; Oxford University Press: Oxford, UK, 2022. [Google Scholar]
- Deffner, S.; Jarzynski, C. Information processing and the second law of thermodynamics: An inclusive, Hamiltonian approach. Phys. Rev. X 2013, 3, 041003. [Google Scholar] [CrossRef] [Green Version]
- Strasberg, P.; Schaller, G.; Brandes, T.; Esposito, M. Thermodynamics of a physical model implementing a Maxwell demon. Phys. Rev. Lett. 2013, 110, 040601. [Google Scholar] [CrossRef] [Green Version]
- Landi, G.T. Battery charging in collision models with Bayesian risk strategies. Entropy 2021, 23, 1627. [Google Scholar] [CrossRef] [PubMed]
- Strasberg, P.; Schaller, G.; Brandes, T.; Esposito, M. Quantum and information thermodynamics: A unifying framework based on repeated interactions. Phys. Rev. X 2017, 7, 021003. [Google Scholar] [CrossRef] [Green Version]
- Molitor, O.A.D.; Landi, G.T. Stroboscopic two-stroke quantum heat engines. Phys. Rev. A 2020, 102, 042217. [Google Scholar] [CrossRef]
- Denzler, T.; Lutz, E. Efficiency fluctuations of a quantum heat engine. Phys. Rev. Res. 2020, 2, 032062. [Google Scholar] [CrossRef]
- Strasberg, P.; Wächtler, C.W.; Schaller, G. Autonomous Implementation of Thermodynamic Cycles at the Nanoscale. Phys. Rev. Lett. 2021, 126, 180605. [Google Scholar] [CrossRef]
- Purkayastha, A.; Guarnieri, G.; Campbell, S.; Prior, J.; Goold, J. Periodically refreshed quantum thermal machines. arXiv 2022, arXiv:2202.05264. [Google Scholar]
- Seah, S.; Perarnau-Llobet, M.; Haack, G.; Brunner, N.; Nimmrichter, S. Quantum speed-up in collisional battery charging. Phys. Rev. Lett. 2021, 127, 100601. [Google Scholar] [CrossRef] [PubMed]
- Shaghaghi, V.; Palma, G.M.; Benenti, G. Extracting work from random collisions: A model of a quantum heat engine. Phys. Rev. E 2022, 105, 034101. [Google Scholar] [CrossRef] [PubMed]
- Barra, F. Dissipative charging of a quantum battery. Phys. Rev. Lett. 2019, 122, 210601. [Google Scholar] [CrossRef] [PubMed] [Green Version]
- Alicki, R.; Fannes, M. Entanglement boost for extractable work from ensembles of quantum batteries. Phys. Rev. E 2013, 87, 042123. [Google Scholar] [CrossRef] [PubMed] [Green Version]
- Binder, F.C.; Vinjanampathy, S.; Modi, K.; Goold, J. Quantacell: Powerful charging of quantum batteries. New J. Phys. 2015, 17, 075015. [Google Scholar] [CrossRef] [Green Version]
- Campaioli, F.; Pollock, F.A.; Binder, F.C.; Céleri, L.; Goold, J.; Vinjanampathy, S.; Modi, K. Enhancing the charging power of quantum batteries. Phys. Rev. Lett. 2017, 118, 150601. [Google Scholar] [CrossRef] [Green Version]
- Gyhm, J.; Šafránek, D.; Rosa, D. Quantum Charging Advantage Cannot Be Extensive without Global Operations. Phys. Rev. Lett. 2022, 128, 140501. [Google Scholar] [CrossRef]
- Ferraro, D.; Campisi, M.; Andolina, G.M.; Pellegrini, V.; Polini, M. High-power collective charging of a solid-state quantum battery. Phys. Rev. Lett. 2018, 120, 117702. [Google Scholar] [CrossRef] [Green Version]
- Hovhannisyan, K.; Barra, F.; Imparato, A. Charging assisted by thermalization. Phys. Rev. Res. 2020, 2, 033413. [Google Scholar] [CrossRef]
- Barra, F.; Hovhannisyan, K.; Imparato, A. Quantum batteries at the verge of a phase transition. New J. Phys. 2022, 24, 015003. [Google Scholar] [CrossRef]
- Carrasco, J.; Hermann, C.; Maze, J.; Barra, F. Collective enhancement in dissipative quantum batteries. arXiv 2021, arXiv:2110.15490. [Google Scholar]
- Purkayastha, A.; Guarnieri, G.; Campbell, S.; Prior, J.; Goold, J. Periodically refreshed baths to simulate open quantum many-body dynamics. Phys. Rev. B 2021, 104, 045417. [Google Scholar] [CrossRef]
- Ciccarello, F.; Lorenzo, S.; Giovannetti, V.; Palma, G.M. Quantum collision models: Open system dynamics from repeated interactions. Phys. Rep. 2022, 954, 1. [Google Scholar] [CrossRef]
- Campbell, S.; Vacchini, B. Collision models in open system dynamics: A versatile tool for deeper insights? EPL (Europhys. Lett.) 2021, 133, 60001. [Google Scholar] [CrossRef]
- Breuer, H.-P.; Petruccione, F. The Theory of Open Quantum Systems; Oxford University Press: Oxford, UK, 2002. [Google Scholar]
- Quach, J.Q.; Munro, W.J. Using Dark States to Charge and Stabilize Open Quantum Batteries. Phys. Rev. Appl. 2020, 14, 024092. [Google Scholar] [CrossRef]
- Quach, J.Q.; Mcghee, K.E.; Ganzer, L.; Rouse, D.M.; Lovett, B.W.; Gauger, E.M.; Keeling, J.; Cerullo, G.; Lidzey, D.G.; Virgili, T. Superabsorption in an organic microcavity: Toward a quantum battery. Sci. Adv. 2022, 8, eabk3160. [Google Scholar] [CrossRef]
- Salvia, R.; Perarnau-Llobet, M.; Haack, G.; Brunner, N.; Nimmrichter, S. Quantum advantage in charging cavity and spin batteries by repeated interactions. arXiv 2022, arXiv:2205.00026. [Google Scholar]
- Shaghaghi, V.; Singh, V.; Benenti, G.; Rosa, D. Micromasers as Quantum Batteries. arXiv 2022, arXiv:2204.09995. [Google Scholar]
- Perarnau-Llobet, M.; Uzdin, R. Collective operations can extremely reduce work fluctuations. New J. Phys. 2019, 21, 083023. [Google Scholar] [CrossRef] [Green Version]
- Allahverdyan, A.E.; Balian, R.; Nieuwenhuizen, T.M. Maximal work extraction from finite quantum systems. EPL (Europhys. Lett.) 2004, 67, 565. [Google Scholar] [CrossRef] [Green Version]
- Esposito, M.; Harbola, U.; Mukamel, S. Nonequilibrium fluctuations, fluctuation theorems, and counting statistics in quantum systems. Rev. Mod. Phys. 2009, 81, 1665. [Google Scholar] [CrossRef] [Green Version]
- Manzano, G.; Horowitz, J.M.; Parrondo, J.M.R. Nonequilibrium potential and fluctuation theorems for quantum maps. Phys. Rev. E 2015, 92, 032129. [Google Scholar] [CrossRef] [PubMed] [Green Version]
- Horowitz, J.M.; Parrondo, J.M.R. Entropy production along non-equilibrium quantum jump trajectories. New J. Phys. 2013, 15, 085028. [Google Scholar] [CrossRef]
- Manzano, G.; Horowitz, J.M.; Parrondo, J.M.R. Quantum fluctuation theorems for arbitrary environments: Adiabatic and Nonadiabatic Entropy Production. Phys. Rev. X 2018, 8, 031037. [Google Scholar] [CrossRef] [Green Version]
- Campisi, M.; Hänggi, P.; Talkner, P. Colloquium: Quantum fluctuation relations: Foundations and applications. Rev. Mod. Phys. 2011, 83, 771. [Google Scholar] [CrossRef] [Green Version]
- Salvia, R.; Giovannetti, V. On the distribution of the mean energy in the unitary orbit of quantum states. Quantum 2021, 5, 514. [Google Scholar] [CrossRef]
- Caravelli, F.; Coulter-De Wit, G.; García-Pintos, L.P.; Hamma, A. Random quantum batteries. Phys. Rev. Res. 2020, 2, 023095. [Google Scholar] [CrossRef]
- Rosa, D.; Rossini, D.; Andolina, G.M.; Polini, M.; Carrega, M. Ultra-stable charging of fast-scrambling SYK quantum batteries. J. High Energy Phys. 2020, 67, 2020. [Google Scholar] [CrossRef]
- Rossini, D.; Andolina, G.M.; Polini, M. Many-body localized quantum batteries. Phys. Rev. B 2019, 100, 115142. [Google Scholar] [CrossRef] [Green Version]
- Crescente, A.; Carrega, M.; Sassetti, M.; Ferraro, D. Charging and energy fluctuations of a driven quantum battery. New J. Phys. 2020, 22, 063057. [Google Scholar] [CrossRef]
- Friis, N.; Huber, M. Precision and work fluctuations in gaussian battery charging. Quantum 2018, 2, 61. [Google Scholar] [CrossRef] [Green Version]
- McKay, E.; Rodríguez-Briones, N.A.; Martín Martínez, E. Fluctuations of work cost in optimal generation of correlations. Phys. Rev. E 2018, 98, 032132. [Google Scholar] [CrossRef] [Green Version]
- García-Pintos, L.P.; Hamma, A.; del Campo, A. Fluctuations in extractable work bound the charging power of quantum batteries. Phys. Rev. Lett. 2020, 125, 040601. [Google Scholar] [CrossRef] [PubMed]
- Verley, G.; Esposito, M.; Willaert, T.; Van den Broeck, C. The unlikely Carnot efficiency. Nat. Commun. 2014, 5, 4721. [Google Scholar] [CrossRef] [Green Version]
- Verley, G.; Willaert, T.; Van den Broeck, C.; Esposito, M. Universal theory of efficiency fluctuations. Phys. Rev. E 2014, 90, 052145. [Google Scholar] [CrossRef] [Green Version]
- Gingrich, T.R.; Rotskoff, G.M.; Vaikuntanathan, S.; Geissler, P.L. Efficiency and large deviations in time-asymmetric stochastic heat engines. New J. Phys. 2014, 16, 102003. [Google Scholar] [CrossRef] [Green Version]
- Polettini, M.; Verley, G.; Esposito, M. Efficiency statistics at all times: Carnot limit at finite power. Phys. Rev. Lett. 2015, 114, 050601. [Google Scholar] [CrossRef] [Green Version]
- Proesmans, K.; Cleuren, B.; Van den Broeck, C. Stochastic efficiency for effusion as a thermal engine. EPL (Europhys. Lett.) 2015, 109, 20004. [Google Scholar] [CrossRef] [Green Version]
- Proesmans, K.; Van den Broeck, C. Stochastic efficiency: Five case studies. New J. Phys. 2015, 17, 065004. [Google Scholar] [CrossRef] [Green Version]
- Proesmans, K.; Dreher, Y.; Gavrilov, M.; Bechhoefer, J.; Van den Broeck, C. Brownian duet: A novel tale of thermodynamic efficiency. Phys. Rev. X 2016, 6, 041010. [Google Scholar] [CrossRef] [Green Version]
- Vroylandt, H.; Bonfils, A.; Verley, G. Efficiency fluctuations of small machines with unknown losses. Phys. Rev. E 2016, 93, 052123. [Google Scholar] [CrossRef] [PubMed] [Green Version]
- Park, J.-M.; Chun, H.-M.; Noh, J.D. Efficiency at maximum power and efficiency fluctuations in a linear Brownian heat-engine model. Phys. Rev. E 2016, 94, 012127. [Google Scholar] [CrossRef] [PubMed] [Green Version]
- Proesmans, K.; Van den Broeck, C. The underdamped Brownian duet and stochastic linear irreversible thermodynamics. Chaos Interdiscip. J. Nonlinear Sci. 2017, 27, 104601. [Google Scholar] [CrossRef] [PubMed]
- Manikandan, S.K.; Dabelow, L.; Eichhorn, R.; Krishnamurthy, S. Efficiency fluctuations in microscopic machines. Phys. Rev. Lett. 2019, 122, 140601. [Google Scholar] [CrossRef] [Green Version]
- Barra, F. The thermodynamic cost of driving quantum systems by their boundaries. Sci. Rep. 2015, 5, 14873. [Google Scholar] [CrossRef] [Green Version]
- De Chiara, G.; Landi, G.T.; Hewgill, A.; Reid, B.; Ferraro, A.; Rocanglia, A.J.; Antezza, M. Reconciliation of quantum local master equations with thermodynamics. New J. Phys. 2018, 20, 113024. [Google Scholar] [CrossRef]
- Esposito, M.; Lindenberg, K.; Van den Broeck, C. Entropy production as correlation between system and reservoir. New J. Phys. 2010, 12, 013013. [Google Scholar] [CrossRef]
- Barra, F.; Lledó, C. Stochastic thermodynamics of quantum maps with and without equilibrium. Phys. Rev. E 2017, 96, 052114. [Google Scholar] [CrossRef] [Green Version]
- Barra, F.; Lledó, C. The smallest absorption refrigerator: The thermodynamics of a system with quantum local detailed balance. Eur. Phys. J. Spec. Top. 2018, 227, 231. [Google Scholar] [CrossRef]
- Lostaglio, M.; Korzekwa, K.; Jennings, D.; Rudolph, T. Quantum coherence, time-translation symmetry, and thermodynamics. Phys. Rev. X 2015, 5, 021001. [Google Scholar] [CrossRef] [Green Version]
- Lostaglio, M.; Jennings, D.; Rudolph, T. Description of quantum coherence in thermodynamic processes requires constraints beyond free energy. Nat. Commun. 2015, 6, 6383. [Google Scholar] [CrossRef] [PubMed] [Green Version]
- Pusz, W.; Woronowicz, S.L. Passive states and KMS states for general quantum systems. Commun. Math. Phys. 1978, 58, 273. [Google Scholar] [CrossRef]
- Lenard, A. Thermodynamical proof of the Gibbs formula for elementary quantum systems. J. Stat. Phys. 1978, 19, 575. [Google Scholar] [CrossRef]
- Feller, W. An Introduction to Probability Theory and Its Applications; John Wiley & Sons Inc.: New York, NY, USA, 1968; Volume 1. [Google Scholar]
- Mayo, F.; Roncaglia, A.J. Collective effects and quantum coherence in dissipative charging of quantum batteries. arXiv 2022, arXiv:2205.06897. [Google Scholar] [CrossRef]





Publisher’s Note: MDPI stays neutral with regard to jurisdictional claims in published maps and institutional affiliations. |
© 2022 by the author. Licensee MDPI, Basel, Switzerland. This article is an open access article distributed under the terms and conditions of the Creative Commons Attribution (CC BY) license (https://creativecommons.org/licenses/by/4.0/).
Share and Cite
Barra, F. Efficiency Fluctuations in a Quantum Battery Charged by a Repeated Interaction Process. Entropy 2022, 24, 820. https://doi.org/10.3390/e24060820
Barra F. Efficiency Fluctuations in a Quantum Battery Charged by a Repeated Interaction Process. Entropy. 2022; 24(6):820. https://doi.org/10.3390/e24060820
Chicago/Turabian StyleBarra, Felipe. 2022. "Efficiency Fluctuations in a Quantum Battery Charged by a Repeated Interaction Process" Entropy 24, no. 6: 820. https://doi.org/10.3390/e24060820
APA StyleBarra, F. (2022). Efficiency Fluctuations in a Quantum Battery Charged by a Repeated Interaction Process. Entropy, 24(6), 820. https://doi.org/10.3390/e24060820

