Optimal Convergence Analysis of Two-Level Nonconforming Finite Element Iterative Methods for 2D/3D MHD Equations
Abstract
:1. Introduction
2. Preliminaries
3. Nonconforming Discretization
4. Iterative Methods
5. Two-Level Iterative Methods
5.1. Two-Level Iterative Method with
5.2. Two-Level Iterative Method with
5.3. Two-Level Iterative Method with
5.4. One-Level Oseen Iterative Method with
6. Numerical Experiments
6.1. A Fluid Problem with Smooth True Solution
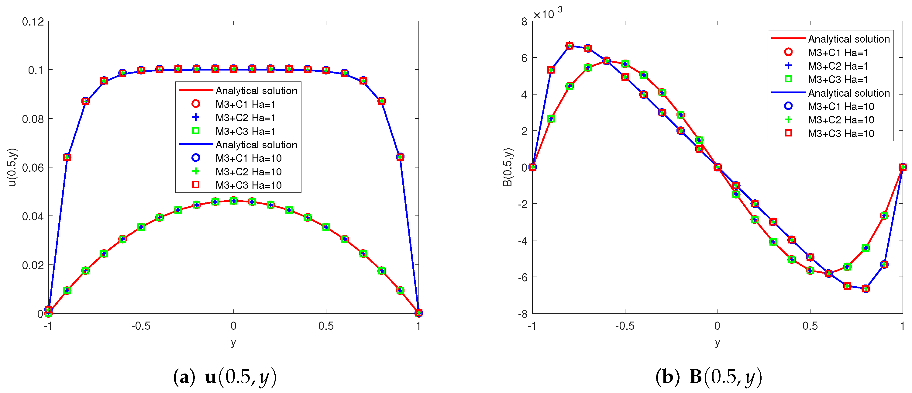
6.2. The Hartmann Flow
6.3. Driven Cavity Flow
7. Conclusions
Author Contributions
Funding
Conflicts of Interest
References
- Gunzburger, M.D.; Ladyzhenskaya, O.A.; Peterson, J.S. On the global unique solvabiity and initial boundary value problems for coupled modified Navier–Stokes and Maxwell equations. J. Math. Fluid. Mech. 2004, 6, 462–482. [Google Scholar] [CrossRef]
- Gunzburger, M.; Meir, A.; Peterson, J. On the existence, uniqueness, and finite element approximation of solutions of the equations of stationary, incompressible magnetohydrodynamics. Math. Comp. 1991, 56, 523–563. [Google Scholar] [CrossRef]
- He, C.; Wang, Y. On the regularity criteria for weak solutions to the magnetohydrodynamic equations. J. Differ. Equ. 2007, 238, 1–17. [Google Scholar] [CrossRef] [Green Version]
- Schonbek, M.E.; Schonbek, T.P.; Süli, E. Large-time behaviour of solutions to the magneto-hydrodynamics equations. Math. Ann. 1996, 304, 717–756. [Google Scholar] [CrossRef]
- Greif, C.; Li, D.; Schötzau, D.; Wei, X. A mixed finite element method with exactly divergence-free velocities for incompressible magnetohydrodynamics. Comput. Methods Appl. Mech. Eng. 2010, 199, 2840–2855. [Google Scholar] [CrossRef]
- Schötzau, D. Mixed finite element methods for stationary incompressible magneto-hydrodynamics. Numer. Math. 2004, 96, 771–800. [Google Scholar] [CrossRef]
- Hasler, U.; Schneebeli, A.; Schözau, D. Mixed finite element approximation of incompressible MHD problems based on weighted regularization. Appl. Numer. Math. 2004, 51, 19–45. [Google Scholar] [CrossRef]
- Houston, P.; Schötzau, D.; Wei, X. A mixed DG method for linearized incompressible magnetohydrodynamics. J. Sci. Comput. 2009, 40, 281–314. [Google Scholar] [CrossRef]
- Prohl, A. Convergent finite element discretizations of the nonstationary incompressible magnetohydrodynamics system. ESAIM Math. Model. Numer. Anal. 2008, 42, 1065–1087. [Google Scholar] [CrossRef] [Green Version]
- Dong, X.; He, Y.; Zhang, Y. Convergence analysis of three finite element iterative methods for the 2D/3D stationary incompressible magnetohydrodynamics. Comput. Methods Appl. Mech. Eng. 2014, 276, 287–311. [Google Scholar] [CrossRef]
- Zhang, G.; He, Y.; Yang, D. Analysis of coupling iterations based on the finite element method for stationary magnetohydrodynamics on a general domain. Comput. Math. Appl. 2014, 68, 770–788. [Google Scholar] [CrossRef]
- Cai, Z.; Douglas, J.; Ye, X. A stable nonconforming quadrilateral finite element method for the stationary Stokes and Navier–Stokes equations. Calcolo 1999, 36, 215–232. [Google Scholar] [CrossRef]
- Shi, D.; Ren, J.; Gong, W. A new nonconforming mixed finite element scheme for the stationary Navier–Stokes equations. Acta Math. Sci. 2011, 31, 367–382. [Google Scholar]
- Li, J.; Chen, Z. A new local stabilized nonconforming finite element method for the Stokes equations. Computing 2008, 82, 157–170. [Google Scholar] [CrossRef]
- Zhu, L.; Li, J.; Chen, Z. A new local stabilized nonconforming finite element method for solving stationary Navier–Stokes equations. J. Comput. Appl. Math. 2011, 235, 2821–2831. [Google Scholar] [CrossRef] [Green Version]
- Zhu, L.; Chen, Z. A two-level stabilized nonconforming finite element method for the stationary Navier–Stokes equations. Math. Comput. Simulat. 2015, 114, 37–48. [Google Scholar] [CrossRef]
- Huang, P.; Zhao, J.; Feng, X. An Oseen scheme for the conduction-convection equations based on a stabilized nonconforming method. Appl. Math. Model. 2014, 38, 535–547. [Google Scholar] [CrossRef]
- Shi, D.; Yu, Z. Nonconforming mixed finite element methods for stationary incompressible magnetohydrodynamics. Int. J. Numer. Anal. Model. 2013, 10, 904–919. [Google Scholar]
- Shi, D.; Yu, Z. Low-order nonconforming mixed finite element methods for stationary incompressible magnetohydrodynamics equations. J. Appl. Math. 2012, 2012, 331–353. [Google Scholar] [CrossRef]
- Layton, W.J.; Lenferink, W. Two-level Picard and modified Picard methods for the Navier–Stokes equations. Appl. Math. Comput. 1995, 69, 263–274. [Google Scholar] [CrossRef]
- Layton, W.J.; Tobiska, L. A two-level method with backtracking for the Navier–Stokes equations. SIAM J. Numer. Anal. 1998, 35, 2035–2054. [Google Scholar] [CrossRef] [Green Version]
- Girault, V.; Lions, J.L. Two-grid finite element schemes for the steady Navier–Stokes problem in polyhedra. Portugal. Math. 2001, 58, 25–27. [Google Scholar]
- Girault, V.; Lions, J.L. Two-grid finite element schemes for the transient Navier–Stokes problem. ESAIM Math. Model. Numer. Anal. 2001, 35, 945–980. [Google Scholar] [CrossRef] [Green Version]
- Turner, D.Z.; Nakshatrala, K.B.; Hjelmstad, K.D. A variational multiscale Newton-Schur approach for the incompressible Navier–Stokes equations. Int. J. Numer. Meth. Fluids 2009, 62, 119–137. [Google Scholar] [CrossRef] [Green Version]
- Aydin, S.H.; Nesliturk, A.I.; Tezer-Sezgin, M. Two-level finite element method with a stabilizing subgrid for the incompressible MHD equations. Int. J. Numer. Meth. Fluids 2010, 62, 188–210. [Google Scholar] [CrossRef] [Green Version]
- Zhang, G.; Zhang, Y.; He, Y. Two-level coupled and decoupled parallel correction methods for stationary incompressible magnetohydrodynamics. J. Sci. Comput. 2015, 65, 920–939. [Google Scholar] [CrossRef]
- Dong, X.; He, Y. Two-level Newton iterative method for the 2D/3D stationary incompressible magnetohydrodynamics. J. Sci. Comput. 2015, 63, 426–451. [Google Scholar] [CrossRef]
- Layton, W.; Lenferink, H.; Peterson, J. A two-level Newton finite element algorithm for approximating electrically conducting incompressible fluid flows. Comput. Math. Appl. 1994, 28, 21–31. [Google Scholar] [CrossRef] [Green Version]
- Layton, W.; Meir, A.; Schmidtz, P. A two-level discretization method for the stationary MHD equations. Electron. Trans. Numer. Anal. 1997, 6, 198–210. [Google Scholar]
- Dong, X.; He, Y. Convergence of some finite element iterative methods related to different Reynolds numbers for the 2D/3D stationary incompressible magnetohydrodynamics. Sci. China Math. 2016, 59, 589–608. [Google Scholar] [CrossRef]
- Xu, J.; Su, H.; Li, Z. Optimal convergence of three iterative methods based on nonconforming finite element discretization for 2D/3D MHD equations. Numer. Algorithms 2021, 1–35. [Google Scholar] [CrossRef]
- Gerbeau, J.; Bris, C.; Lelièvre, T. Mathematical Methods for the Magnetohydrodynamics of Liquid Metals; Oxford University Press: Oxford, UK, 2006. [Google Scholar]
- Heywood, J.; Rannacher, R. Finite element approximation of the nonstationary Navier–Stokes problem. I. Regularityof solutions and second-order error estimates for spatial discretization. SIAM J. Numer. Anal. 1982, 19, 275–311. [Google Scholar] [CrossRef]
- Lamichhane, B.P. A nonconforming finite element method for the Stokes equations using the Crouzeix-Raviart element for the velocity and the standard linear element for the pressure. Int. J. Numer. Meth. Fluids 2013, 74, 222–228. [Google Scholar] [CrossRef] [Green Version]
- Shi, D.; Ren, J. Nonconforming mixed finite element method for the stationary conduction-convection problem. Int. J. Numer. Anal. Model. 2009, 6, 293–310. [Google Scholar]
- Shi, D.; Zhang, Y. A nonconforming anisotropic finite element approximation with moving grids for Stokes problem. J. Comput. Math. 2006, 24, 561–578. [Google Scholar]
- Li, J.; He, Y. A stabilized finite element method based on two local Gauss integrations for the Stokes equations. J. Comput. Appl. Math. 2008, 214, 58–65. [Google Scholar] [CrossRef] [Green Version]
- Ciarlet, P. The Finite Element Method for Elliptic Problems; North-Holland Publishing: Amsterdam, The Netherlands, 1978. [Google Scholar]












| H | h | |||||||
|---|---|---|---|---|---|---|---|---|
| 5.11 × 10 | ∖ | 3.58 × 10 | ∖ | 2.84 × 10 | ∖ | |||
| 5.10 × 10 | ∖ | 3.57 × 10 | ∖ | 2.73 × 10 | ∖ | |||
| 5.12 × 10 | ∖ | 3.56 × 10 | ∖ | 2.81 × 10 | ∖ | |||
| 1.38 × 10 | 0.94 | 9.70 × 10 | 0.94 | 2.47 × 10 | 1.76 | |||
| 1.38 × 10 | 0.94 | 9.29 × 10 | 0.97 | 1.83 × 10 | 1.95 | |||
| 1.38 × 10 | 0.95 | 9.36 × 10 | 0.99 | 2.46 × 10 | 1.76 | |||
| 3.47 × 10 | 1.00 | 2.52 × 10 | 0.97 | 5.30 × 10 | 1.11 | |||
| 3.47 × 10 | 1.00 | 2.33 × 10 | 1.00 | 2.21 × 10 | 1.53 | |||
| 3.47 × 10 | 1.00 | 2.35 × 10 | 1.00 | 5.96 × 10 | 1.02 | |||
| 8.69 × 10 | 1.00 | 6.39 × 10 | 0.96 | 1.30 × 10 | 1.01 | |||
| 8.68 × 10 | 1.00 | 5.82 × 10 | 1.00 | 2.75 × 10 | 1.50 | |||
| 8.69 × 10 | 1.00 | 5.89 × 10 | 1.00 | 1.54 × 10 | 0.98 |
| H | h | |||||||
|---|---|---|---|---|---|---|---|---|
| 5.68 × 10 | ∖ | 3.56 × 10 | ∖ | 6.21 × 10 | ∖ | |||
| 5.68 × 10 | ∖ | 3.56 × 10 | ∖ | 6.21 × 10 | ∖ | |||
| 5.68 × 10 | ∖ | 3.56 × 10 | ∖ | 6.22 × 10 | ∖ | |||
| 1.52 × 10 | 0.95 | 9.34 × 10 | 0.97 | 7.66 × 10 | 1.51 | |||
| 1.52 × 10 | 0.95 | 9.29 × 10 | 0.97 | 6.57 × 10 | 1.62 | |||
| 1.52 × 10 | 0.95 | 9.36 × 10 | 0.96 | 9.18 × 10 | 1.38 | |||
| 3.79 × 10 | 1.00 | 2.35 × 10 | 0.99 | 1.38 × 10 | 1.23 | |||
| 3.78 × 10 | 1.00 | 2.33 × 10 | 1.00 | 7.41 × 10 | 1.57 | |||
| 3.79 × 10 | 1.00 | 2.38 × 10 | 0.99 | 2.36 × 10 | 0.98 | |||
| 9.46 × 10 | 1.00 | 5.88 × 10 | 1.00 | 3.12 × 10 | 1.07 | |||
| 9.44 × 10 | 1.00 | 5.82 × 10 | 1.00 | 8.98 × 10 | 1.52 | |||
| 9.47 × 10 | 1.00 | 5.97 × 10 | 1.00 | 6.12 × 10 | 0.98 |
| H | h | ||||||
|---|---|---|---|---|---|---|---|
| 6.38 × 10 | ∖ | 6.63 × 10 | ∖ | 2.38 × 10 | ∖ | ||
| 4.09 × 10 | 1.00 | 4.24 × 10 | 1.00 | 1.22 × 10 | 1.49 | ||
| 2.84 × 10 | 1.00 | 2.95 × 10 | 1.00 | 7.09 × 10 | 1.49 | ||
| 2.09 × 10 | 1.00 | 2.16 × 10 | 1.00 | 4.47 × 10 | 1.50 |
Publisher’s Note: MDPI stays neutral with regard to jurisdictional claims in published maps and institutional affiliations. |
© 2022 by the authors. Licensee MDPI, Basel, Switzerland. This article is an open access article distributed under the terms and conditions of the Creative Commons Attribution (CC BY) license (https://creativecommons.org/licenses/by/4.0/).
Share and Cite
Su, H.; Xu, J.; Feng, X. Optimal Convergence Analysis of Two-Level Nonconforming Finite Element Iterative Methods for 2D/3D MHD Equations. Entropy 2022, 24, 587. https://doi.org/10.3390/e24050587
Su H, Xu J, Feng X. Optimal Convergence Analysis of Two-Level Nonconforming Finite Element Iterative Methods for 2D/3D MHD Equations. Entropy. 2022; 24(5):587. https://doi.org/10.3390/e24050587
Chicago/Turabian StyleSu, Haiyan, Jiali Xu, and Xinlong Feng. 2022. "Optimal Convergence Analysis of Two-Level Nonconforming Finite Element Iterative Methods for 2D/3D MHD Equations" Entropy 24, no. 5: 587. https://doi.org/10.3390/e24050587
APA StyleSu, H., Xu, J., & Feng, X. (2022). Optimal Convergence Analysis of Two-Level Nonconforming Finite Element Iterative Methods for 2D/3D MHD Equations. Entropy, 24(5), 587. https://doi.org/10.3390/e24050587
