Effect of Back Pressure on Performances and Key Geometries of the Second Stage in a Highly Coupled Two-Stage Ejector
Abstract
1. Introduction
- CFD modelling and model validation of the highly coupled TSE;
- Optimization of primary nozzle geometry of the second-stage ejector under varied primary nozzle of the second stage;
- Evaluation the influence of variable back pressure on entrainment ratio (ER) of the TSE;
- Identification of the effect of the variable back pressure on the key geometries of the second-stage ejector.
2. System Description and Numerical Method
2.1. System and Initial TSE Geometries
2.2. CFD Modelling
3. Model Validation
3.1. Experimental Setup
3.2. Validation of the CFD Model
4. Results and Discussion
4.1. Optimization of Nozzle Geometry of the Second-Stage Ejector
4.1.1. Optimization of Nozzle Length and Angle of the Second-Stage Ejector When PNTD2 Is 4.1 mm
4.1.2. Optimization of Nozzle Length and Angle of Second-Stage Ejector When PNTD2 Is 4.7 mm
4.1.3. Optimization of Nozzle Length and Angle of Second-Stage Ejector When PNTD2 Is 5.3 mm
4.2. Influence of Variable Back Pressure on ERs of the TSE
4.3. Effect of the Variable Back Pressure on the Key Geometries of the TSE
4.3.1. Optimized AR2
4.3.2. Optimized NXP2
5. Conclusions
- (1)
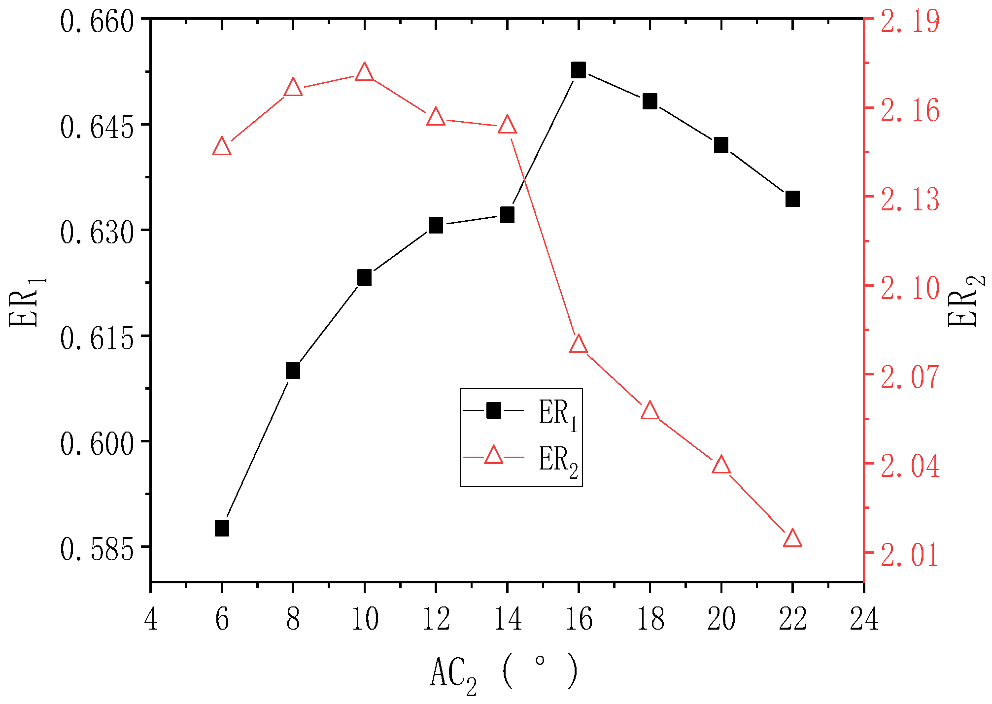
- When LC2 and AC2 change, the maximum values of ER1 and ER2 do not appear at the same length or angle. LC2 = 25 mm and AC2 = 12° are the relative optimal combination of values for the second-stage ejector nozzle;
- (2)
- With the increase of PNTD2, ER1 and ER2 decrease with the increase of LC2 and AC2, and the PLR range of the ejector in the critical mode gradually increases;
- (3)
- The change of PLR has no effect on the performance of the first-stage ejector, but has a significant effect on the performance of the second-stage ejector; with the increase of PNTD2, the influence of PLR on the performance of the second stage is gradually weakened;
- (4)
- When PNTD2 is 4.1 mm, the optimal value of AR2 decreases from 23.5 to 14.5 with the increase of PLR, and the peak value of ER2 decreases from 3.354 to 2.480. When PNTD2 is 4.7 mm, the optimal value of AR2 decreases from 20.1 to 13.1 with the increase of PLR, and the maximum value of ER2 decreases from 3.022 to 2.383. When PNTD2 is 5.3 mm, with the change of PLR from 102% to 106%, the optimal value of AR2 is from 16.9 to 10.9, and the peak value of ER2 is reduced from 3.354 to 2.382;
- (5)
- The optimal value of NXP2 is not affected by the change of PLR. When PNTD2 is 4.1 mm, 4.7 mm and 5.3 mm, the corresponding optimal value of NXP2 is 26 mm, 24 mm and 22 mm, respectively.
Author Contributions
Funding
Institutional Review Board Statement
Informed Consent Statement
Conflicts of Interest
Nomenclature
| Symbols | |
| primary nozzle throat diameter of first-stage ejector, mm | |
| primary nozzle throat diameter of second-stage ejector, mm | |
| convergent section length of primary nozzle, mm | |
| divergent section length of primary nozzle, mm | |
| convergent section angle of primary nozzle, mm | |
| divergent section angle of primary nozzle, mm | |
| mass flow rate, g s−1 | |
| P | pressure, kPa |
| T | temperature, K or °C |
| Abbreviations | |
| AR | area ratio |
| CFD | Computational Fluid Dynamics |
| COP | coefficient of performance |
| EMERC | ejector-based multi-evaporator refrigeration cycle |
| ER | entrainment ratio |
| ERC | ejector-based refrigeration cycle |
| NXP | nozzle exit position |
| PRR | pressure recovery ratio |
| PRV | pressure regulating valve |
| TSE | two-stage ejector |
| Subscripts | |
| p | primary flow |
| s | secondary flow |
| o | outflow, optimum |
| 1 | first-stage ejector |
| 2 | second-stage ejector |
References
- Hong, B.; Li, X.; Li, Y.; Chen, S.; Tan, Y.; Fan, D.; Song, S.; Zhu, B.; Gong, J. An improved hydraulic model of gathering pipeline network integrating pressure-exchange ejector. Energy 2022, 260, 125101. [Google Scholar] [CrossRef]
- Zhao, Y.; Yu, J. Thermodynamic analysis of a modified vapor-injection heat pump cycle using an ejector. Int. J. Refrig. 2023, 145, 137–147. [Google Scholar] [CrossRef]
- Zhang, Y.; He, C.; Sun, L. Optimization of an ejector to mitigate cavitation phenomena with coupled CFD/BP neural network and particle swarm optimization algorithm. Prog. Nucl. Energy 2022, 153, 104412. [Google Scholar] [CrossRef]
- Wilhelmsen, O.; Aasen, A.; Banasiak, K.; Herlyng, H.; Hafner, A. One-dimensional mathematical modeling of two-phase ejectors: Extension to mixtures and mapping of the local exergy destruction. Appl. Therm. Eng. 2022, 217, 119228. [Google Scholar] [CrossRef]
- Kulkarni, A.; Yadav, S.; Kumar, A. A comprehensive study on solar ejector cooling system: A review. Mater. Today Proc. 2022, 69, 463–467. [Google Scholar] [CrossRef]
- Kumar, V.; Yadav, S.; Ram, S. A comprehensive studies on constant area mixing (CAM) and constant pressure mixing (CPM) Ejectors: A review. Mater. Today Proc. 2022, 69, 513–518. [Google Scholar] [CrossRef]
- Kong, F.; Kim, H. Optimization study of a two-stage ejector–diffuser system. Int. J. Heat Mass Transf. 2016, 101, 1151–1162. [Google Scholar] [CrossRef]
- Kong, F.; Kim, H. Analytical and computational studies on the performance of a two-stage ejector–diffuser system. Int. J. Heat Mass Transf. 2015, 85, 71–87. [Google Scholar] [CrossRef]
- Liu, Y.; Liu, J.; Yu, J. Theoretical analysis on a novel two-stage compression transcritical CO2 dual-evaporator refrigeration cycle with an ejector. Int. J. Refrig. 2020, 119, 268–275. [Google Scholar] [CrossRef]
- Wang, P.; Ma, H.; Spitzenberger, J.; Abu-Heiba, A.; Nawaz, K. Thermal performance of an absorption-assisted two-stage ejector air-to-water heat pump. Energy Convers. Manag. 2021, 230, 113761. [Google Scholar] [CrossRef]
- Liu, J.; Zhou, L.; Lyu, N.; Lin, Z.; Zhang, S.; Zhang, X. Analysis of a modified transcritical CO2 two-stage ejector-compression cycle for domestic hot water production. Energy Convers. Manag. 2022, 269, 116094. [Google Scholar] [CrossRef]
- Yan, J.; Wen, N.; Wang, L.; Li, X.; Liu, Z.; Li, S. Optimization on ejector key geometries of a two-stage ejector-based mul-ti-evaporator refrigeration system. Energ. Convers. Manag. 2018, 175, 142–150. [Google Scholar] [CrossRef]
- Ierin, V.; Chen, G.; Volovyk, O.; Shestopalov, K. Hybrid two–stage CO2 transcritical mechanical compression–ejector cooling cycle: Thermodynamic analysis and optimization. Int. J. Refrig. 2021, 132, 45–55. [Google Scholar] [CrossRef]
- Ghorbani, B.; Ebrahimi, A.; Moradi, M.; Ziabasharhagh, M. Continuous production of cryogenic energy at low-temperature using two-stage ejector cooling system, Kalina power cycle, cold energy storage unit, and photovoltaic system. Energy Convers. Manag. 2021, 227, 113541. [Google Scholar] [CrossRef]
- Cao, X.; Liang, X.; Shao, L.; Zhang, C. Performance analysis of an ejector-assisted two-stage evaporation single-stage va-por-compression cycle. Appl. Therm. Eng. 2022, 205, 118005. [Google Scholar] [CrossRef]
- Sun, W.; Liu, C.; Zhang, H.; Sun, W.; Xue, H.; Jia, L. Numerical analysis of two-stage vacuum ejector performance considering the influence of phase transition and non-condensable gases. Appl. Therm. Eng. 2022, 213, 118730. [Google Scholar] [CrossRef]
- Chen, W.; Xue, K.; Wang, Y.; Chong, D.; Yan, J. Numerical assessment on the performance of two-stage ejector to boost the low-pressure natural gas. J. Nat. Gas Sci. Eng. 2016, 34, 575–584. [Google Scholar] [CrossRef]
- Yadav, S.; Pandey, K.; Kumar, V.; Gupta, R. Computational analysis of a supersonic two-stage ejector. Mater. Today Proc. 2021, 38, 2700–2705. [Google Scholar] [CrossRef]
- Yang, D.; Li, Y.; Xie, J.; Wang, J. Exergy destruction characteristics of a transcritical carbon dioxide two-stage compres-sion/ejector refrigeration system for low-temperature cold storage. Energy Rep. 2022, 8, 8546–8562. [Google Scholar] [CrossRef]
- Yang, D.; Jie, Z.; Zhang, Q.; Li, Y.; Xie, J. Evaluation of the ejector two-stage compression refrigeration cycle with work perfor-mance from energy, conventional exergy and advanced exergy perspectives. Energy Rep. 2022, 8, 12944–12957. [Google Scholar] [CrossRef]
- Surendran, A.; Seshadri, S. An ejector based Transcritical Regenerative Series Two-Stage Organic Rankine Cycle for du-al/multi-source heat recovery applications. Therm. Sci. Eng. Prog. 2022, 27, 101158. [Google Scholar] [CrossRef]
- Ali, E.S.; Asfahan, H.M.; Sultan, M.; Askalany, A.A. A novel ejectors integration with two-stages adsorption desalination: Away to scavenge the ambient energy. Sustain. Energy Technol. Assess. 2021, 48, 101658. [Google Scholar] [CrossRef]
- Ding, Z.; Wang, L.; Zhao, H.; Zhang, H.; Wang, C. Numerical study and design of a two-stage ejector for subzero refrigeration. Appl. Therm. Eng. 2016, 108, 436–448. [Google Scholar] [CrossRef]
- Eskandari Manjili, F.; Cheraghi, M. Performance of a new two-stage transcritical CO2 refrigeration cycle with two ejectors. Appl. Therm. Eng. 2019, 156, 402–409. [Google Scholar] [CrossRef]
- Xue, H.; Wang, L.; Jia, L.; Xie, C.; Lv, Q. Design and investigation of a two-stage vacuum ejector for MED-TVC system. Appl. Therm. Eng. 2020, 167, 114713. [Google Scholar] [CrossRef]
- Expósito-Carrillo, J.A.; La Flor, F.J.S.-D.; Perís-Pérez, B.; Salmerón-Lissén, J.M. Thermodynamic analysis of the optimal operating conditions for a two-stage CO2 refrigeration unit in warm climates with and without ejector. Appl. Therm. Eng. 2021, 185, 116284. [Google Scholar] [CrossRef]
- Wang, X.; Wang, L.; Song, Y.; Deng, J.; Zhan, Y. Optimal design of two-stage ejector for subzero refrigeration system on fishing vessel. Appl. Therm. Eng. 2021, 187, 116565. [Google Scholar] [CrossRef]
- Viscito, L.; Lillo, G.; Napoli, G.; Mauro, A.W. Waste Heat Driven Multi-Ejector Cooling Systems: Optimization of Design at Partial Load; Seasonal Performance and Cost Evaluation. Energies 2021, 14, 5663. [Google Scholar] [CrossRef]
- Lillo, G.; Mastrullo, R.; Mauro, A.W.; Trinchieri, R.; Viscito, L. Thermo-Economic Analysis of a Hybrid Ejector Refrigerating System Based on a Low Grade Heat Source. Energies 2020, 13, 562. [Google Scholar] [CrossRef]
- Li, H.; Wang, X.; Huang, H.; Ning, J.; Tu, J. A Numerical Analysis of the Influence of Nozzle Geometric Structure on Spontaneous Steam Condensation and Irreversibility in the Steam Ejector Nozzle. Appl. Sci. 2021, 11, 11954. [Google Scholar] [CrossRef]
- Wen, N.; Wang, L.; Yan, J.; Li, X.; Liu, Z.; Li, S.; Zou, G. Effects of operating conditions and cooling loads on two-stage ejector perfor-mances. Appl Therm. Eng. 2019, 150, 770–780. [Google Scholar] [CrossRef]
- Yan, J.; Cai, Q.; Wen, H. Optimization on key geometries of a highly coupled two-stage ejector. Appl. Therm. Eng. 2021, 197, 117362. [Google Scholar] [CrossRef]
- Allouche, Y.; Bouden, C.; Varga, S. A CFD analysis of the flow structure inside a steam ejector to identify the suitable experi-mental operating conditions for a solardriven refrigeration system. Int. J. Refrig. 2014, 39, 186–195. [Google Scholar] [CrossRef]
- He, S.; Li, Y.; Wang, R. Progress of mathematical modeling on ejectors. Renew. Sustain. Energy Rev. 2009, 13, 1760–1780. [Google Scholar] [CrossRef]
- Wen, H.; Yan, J.; Li, X. Influence of liquid volume fraction on ejector performance: A numerical study. Appl. Therm. Eng. 2021, 190, 116845. [Google Scholar] [CrossRef]
- NIST Chemistry WebBook. NIST Standard Reference Database Number 69. Available online: http://webbook.nist.gov/chemistry (accessed on 1 February 2010).





















| Boundary Conditions | P (kPa) | T (K) |
|---|---|---|
| First-stage primary flow | 374.6 | 290 |
| First-stage secondary flow | 243.4 | 278 |
| Second-stage secondary flow | 84.4 | 253 |
| Outlet flow | 91.15 | 260 |
| Sensors | Position | Unit | Range | Accuracy |
|---|---|---|---|---|
| Temperature | T1, T2, T3 | °C | −40~40 | |
| T4, T5, T6 | °C | 0~100 | ||
| Pressure | P1, P2, P3 | Bar | −1~8 | |
| P4, P5, P6 | Bar | −1~16 | ||
| Volume flow rate | Flowmeter 1 | 6~60 | ±1.6% | |
| Flowmeter 2 | 6~60 | ±1.6% | ||
| Flowmeter 3 | 6~60 | ±1.6% |
| First-Stage Primary Flow | First-Stage Secondary Flow | Second-Stage Secondary Flow | Outflow | ||||
|---|---|---|---|---|---|---|---|
| P | T | P | T | P | T | P | |
| (kPa) | (K) | (kPa) | (K) | (kPa) | (K) | (kPa) | |
| Group 1 | 414.6 | 294 | 243.4 | 278 | 84.4 | 253 | 91.15 |
| 394.6 | 292 | ||||||
| 374.6 | 290 | ||||||
| 354.6 | 288 | ||||||
| 334.6 | 286 | ||||||
| Group 2 | 374.6 | 290 | 283.4 | 282 | 84.4 | 253 | |
| 263.4 | 280 | ||||||
| 243.4 | 278 | ||||||
| 223.4 | 276 | ||||||
| 203.4 | 274 | ||||||
| Group 3 | 374.6 | 290 | 243.4 | 278 | 88.4 | 254 | |
| 86.4 | 253.5 | ||||||
| 84.4 | 253 | ||||||
| 82.4 | 252.5 | ||||||
| 80.4 | 252 | ||||||
Publisher’s Note: MDPI stays neutral with regard to jurisdictional claims in published maps and institutional affiliations. |
© 2022 by the authors. Licensee MDPI, Basel, Switzerland. This article is an open access article distributed under the terms and conditions of the Creative Commons Attribution (CC BY) license (https://creativecommons.org/licenses/by/4.0/).
Share and Cite
Yan, J.; Shu, Y.; Wang, C. Effect of Back Pressure on Performances and Key Geometries of the Second Stage in a Highly Coupled Two-Stage Ejector. Entropy 2022, 24, 1847. https://doi.org/10.3390/e24121847
Yan J, Shu Y, Wang C. Effect of Back Pressure on Performances and Key Geometries of the Second Stage in a Highly Coupled Two-Stage Ejector. Entropy. 2022; 24(12):1847. https://doi.org/10.3390/e24121847
Chicago/Turabian StyleYan, Jia, Yuetong Shu, and Chen Wang. 2022. "Effect of Back Pressure on Performances and Key Geometries of the Second Stage in a Highly Coupled Two-Stage Ejector" Entropy 24, no. 12: 1847. https://doi.org/10.3390/e24121847
APA StyleYan, J., Shu, Y., & Wang, C. (2022). Effect of Back Pressure on Performances and Key Geometries of the Second Stage in a Highly Coupled Two-Stage Ejector. Entropy, 24(12), 1847. https://doi.org/10.3390/e24121847

