Numerical Study on Heat-Transfer Characteristics of Convection Melting in Metal Foam under Sinusoidal Temperature Boundary Conditions
Abstract
1. Introduction
2. Model Description
2.1. Physical Model
2.2. Governing Equations
3. Numerical Method
3.1. MRT-LB Equation for Flow Field
3.2. MRT-LB Equation for the Temperature Field of the PCM
3.3. MRT-LB Equation for the Temperature Field of Metal Foam
4. Numerical Results
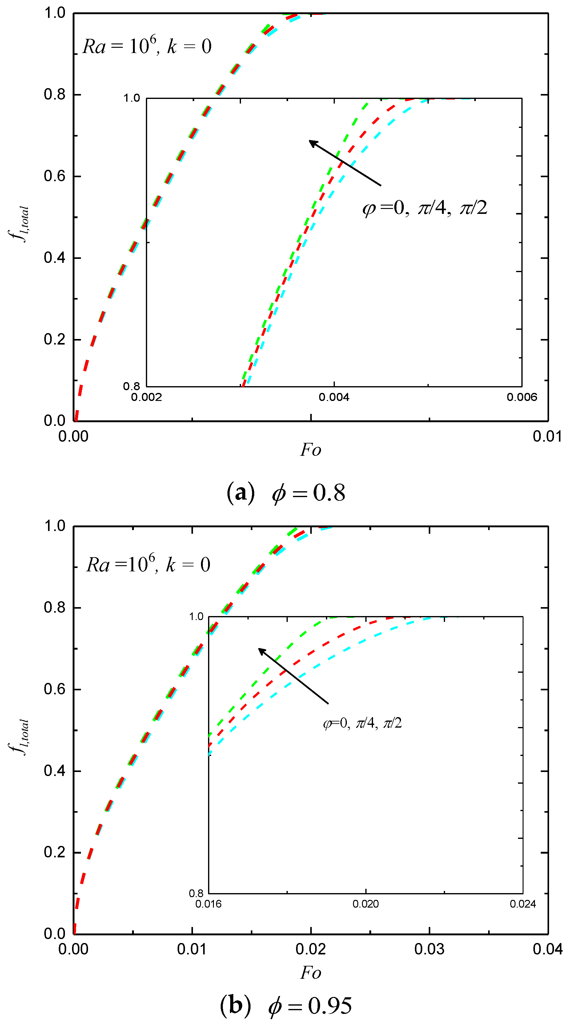
4.1. Effects of the Porosity and Phase Deviation
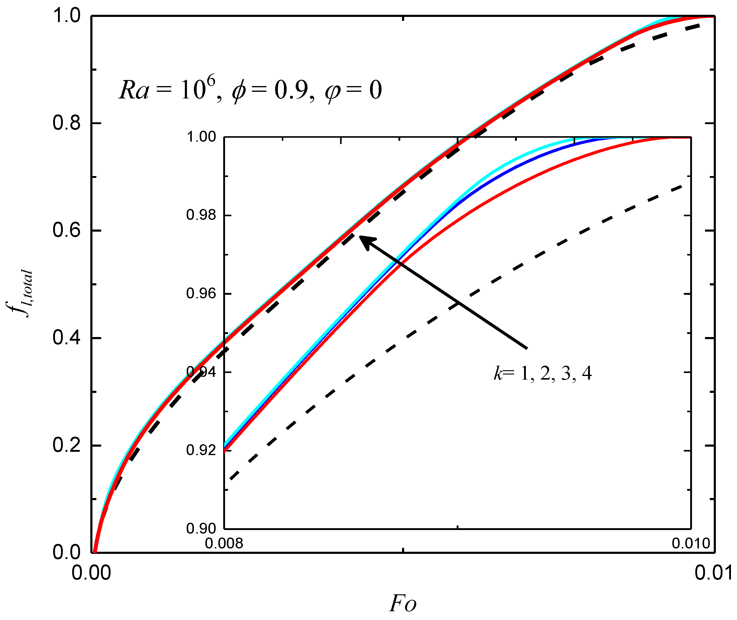
4.2. Effects of the Periodicity Parameter
5. Conclusions
- (1)
- The melting rate decreases as increases. The influence of the porosity on the melting rate is induced by two factors: one is that the mass of the metal foam decreases as the porosity increases, which reduces the effective thermal conductivity; the other is that the mass of the PCM increases as the porosity increases, which results in melting time augmentation.
- (2)
- The melting rate increases as the phase deviation increases from 0 to . Although the effects of the phase deviation on the melting rate (total liquid fraction) are weak, the melting front can be significantly affected by the phase deviation.
- (3)
- The effects of the periodicity parameter on the total liquid fraction are weak. However, the melting process can also be affected by the periodicity parameter. The above results provide a valuable reference for practical applications of LHS systems.
Author Contributions
Funding
Conflicts of Interest
References
- Zalba, B.; Marín, J.M.; Cabeza, L.F.; Mehling, H. Review on thermal energy storage with phase change: Materials, heat transfer analysis and applications. Appl. Therm. Eng. 2003, 23, 251–283. [Google Scholar] [CrossRef]
- Farid, M.M.; Khudhair, A.M.; Razack, S.A.K.; Al-Hallaj, S. A review on phase change energy storage: Materials and applications. Energy Convers. Manag. 2004, 45, 1597–1615. [Google Scholar] [CrossRef]
- Nazir, H.; Batool, M.; Osorio, F.J.B.; Isaza-Ruiz, M.; Xu, X.; Vignarooban, K.; Phelan, P.; Inamuddin; Kannan, A.M. Recent developments in phase change materials for energy storage applications: A review. Int. J. Heat Mass Transf. 2019, 129, 491–523. [Google Scholar] [CrossRef]
- Pielichowska, K.; Pielichowski, K. Phase change materials for thermal energy storag. Prog. Mater. Sci. 2014, 65, 67–123. [Google Scholar] [CrossRef]
- Tao, Y.B.; He, Y.L. A review of phase change material and performance enhancement method for latent heat storage syste. Renew. Sust. Energy. Rev. 2018, 93, 245–259. [Google Scholar] [CrossRef]
- Weaver, J.A.; Viskanta, R. Melting of frozen, porous media contained in a horizontal or a vertical, cylindrical capsule. Int. J. Heat Mass Transf. 1986, 29, 1943–1951. [Google Scholar] [CrossRef]
- Beckermann, C.; Viskanta, R. Natural convection solid/liquid phase change in porous media. Int. J. Heat Mass Transf. 1988, 31, 35–46. [Google Scholar] [CrossRef]
- Tong, X.; Khan, J.A.; Amin, M.R. Enhancement of heat transfer by inserting a metal matrix into a phase change material. Numer. Heat Transf. A 1996, 30, 125–141. [Google Scholar] [CrossRef]
- Harris, K.T.; Haji-Sheikh, A.; Nnanna, A.G.A. Phase-change phenomena in porous media—A non-local thermal equilibrium model. Int. J. Heat Mass Transf. 2001, 44, 1619–1625. [Google Scholar] [CrossRef]
- Mesalhy; Lafdi, K.; Elgafy, A.; Bowman, K. Numerical study for enhancing the thermal conductivity of phase change material (PCM) storage using high thermal conductivity porous matrix. Energy Convers. Manag. 2005, 46, 847–867. [Google Scholar] [CrossRef]
- Krishnan, S.; Murthy, J.Y.; Garimella, S.V. A two-temperature model for solid-liquid phase change in metal foams. J. Heat Transf. 2005, 127, 995–1004. [Google Scholar] [CrossRef]
- Yang, Z.; Garimella, S.V. Melting of phase change materials with volume change in metal foams. J. Heat Transf. 2010, 132, 062301. [Google Scholar] [CrossRef]
- Li, W.Q.; Qu, Z.G.; He, Y.L.; Tao, W.Q. Experimental and numerical studies on melting phase change heat transfer in open-cell metallic foams filled with paraffin. Appl. Therm. Eng. 2012, 37, 1–9. [Google Scholar] [CrossRef]
- Zhao, Y.; Zhao, C.Y.; Xu, Z.G.; Xu, H.J. Modeling metal foam enhanced phase change heat transfer in thermal energy storage by using phase field method. Int. J. Heat Mass Transf. 2016, 99, 170–181. [Google Scholar] [CrossRef]
- Wang, G.; Wei, G.S.; Xu, C.; Ju, X.; Yang, Y.; Du, X. Numerical simulation of effective thermal conductivity and pore-scale melting process of PCMs in foam metals. Appl. Therm. Eng. 2019, 147, 464–472. [Google Scholar] [CrossRef]
- Deng, Q.H.; Chang, J.J. Natural convection in a rectangular enclosure with sinusoidal temperature distributions on both side walls. Numer. Heat Transf. A 2008, 54, 507–524. [Google Scholar] [CrossRef]
- Sivasankaran, S.; Malleswaran, A.; Lee, J.; Sundar, P. Hydro-magnetic combined convection in a lid-driven cavity with sinusoidal boundary conditions on both sidewalls. Int. J. Heat Mass Transf. 2011, 54, 512–525. [Google Scholar] [CrossRef]
- Wu, F.; Zhou, W.; Ma, X. Natural convection in a porous rectangular enclosure with sinusoidal temperature distributions on both side walls using a thermal non-equilibrium model. Int. J. Heat Mass Transf. 2015, 85, 756–771. [Google Scholar] [CrossRef]
- Gao, D.; Tian, F.B.; Chen, Z.; Zhang, D. An improved lattice Boltzmann method for solid-liquid phase change in porous media under local thermal non-equilibrium conditions. Int. J. Heat Mass Transf. 2017, 110, 58–62. [Google Scholar] [CrossRef]
- Gao, D.; Chen, Z.; Chen, L. A thermal lattice Boltzmann model for natural convection in porous media under local thermal non-equilibrium conditions. Int. J. Heat Mass Transf. 2014, 70, 979–989. [Google Scholar] [CrossRef]
- Liu, Q.; He, Y.L.; Li, Q. Enthalpy-based multiple-relaxation-time lattice Boltzmann method for solid-liquid phase-change heat transfer in metal foams. Phys. Rev. E 2017, 96, 023303. [Google Scholar] [CrossRef] [PubMed]
- Nithiarasu, P.; Seetharamu, K.N.; Sundararajan, T. Natural convective heat transfer in a fluid saturated variable porosity medium. Int. J. Heat Mass Transf. 1997, 40, 3955–3967. [Google Scholar] [CrossRef]
- Hsu, C.T.; Cheng, P. Thermal dispersion in a porous medium. Int. J. Heat Mass Transf. 1990, 33, 1587–1597. [Google Scholar] [CrossRef]
- Vafai, K. Convective flow and heat transfer in variable-porosity media. J. Fluid Mech. 1984, 147, 233–259. [Google Scholar] [CrossRef]
- Calmidi, V.V. Transport Phenomena in High Porosity Fibrous Metal Foams; University of Colorado Denver: Denver, CO, USA, 1998. [Google Scholar]
- Calmidi, V.V.; Mahajan, R.L. The effective thermal conductivity of high porosity fibrous metal foams. J. Heat Transf. 1999, 121, 466–471. [Google Scholar] [CrossRef]
- Churchill, S.W.; Chu, H.H.S. Correlating equations for laminar and turbulent free convection from a horizontal cylinder. Int. J. Heat Mass Transf. 1975, 18, 1049–1053. [Google Scholar] [CrossRef]
- Likozar, B.; Krajnc, M. Kinetic and heat transfer modeling of rubber blends’ sulfur vulcanization with N-t-butylbenzothiazole-sulfenamide and N, N-di-t-butylbenzothiazole-sulfenamide. J. Appl. Polym. Sci. 2007, 103, 293–307. [Google Scholar] [CrossRef]
- Likozar, B.; Krajnc, M. A study of heat transfer during molding of elastomers. Chem. Eng. Sci. 2008, 63, 3181–3192. [Google Scholar] [CrossRef]
- Likozar, B.; Krajnc, M. Cross-linking of polymers: Kinetics and transport phenomena. Ind. Eng. Chem. Res. 2011, 50, 1558–1570. [Google Scholar] [CrossRef]
- Frisch, U.; Hasslacher, B.; Pomeau, Y. Lattice-gas automata for the Navier-Stokes equation. Phys. Rev. Lett. 1986, 56, 1505–1508. [Google Scholar] [CrossRef]
- McNamara, G.R.; Zanetti, G. Use of the Boltzmann equation to simulate lattice-gas automata. Phys. Rev. Lett. 1988, 61, 2332–2335. [Google Scholar] [CrossRef] [PubMed]
- Higuera, F.J.; Succi, S.; Benzi, R. Lattice gas dynamics with enhanced collisions. Europhys. Lett. 1989, 9, 345–349. [Google Scholar] [CrossRef]
- Qian, Y.H.; d’Humières, D.; Lallemand, P. Lattice BGK models for Navier-Stokes equation. Europhys. Lett. 1992, 17, 479–484. [Google Scholar] [CrossRef]
- Li, Q.; Luo, K.H.; Kang, Q.J.; He, Y.L.; Chen, Q.; Liu, Q. Lattice Boltzmann methods for multiphase flow and phase-change heat transfer. Prog. Energy Combust. Sci. 2016, 52, 62–105. [Google Scholar] [CrossRef]
- He, Y.L.; Liu, Q.; Li, Q.; Tao, W.Q. Lattice Boltzmann methods for single-phase and solid-liquid phase-change heat transfer in porous media: A review. Int. J. Heat Mass Transf. 2019, 129, 160–197. [Google Scholar] [CrossRef]
- Lallemand, P.; Luo, L.-S. Theory of the lattice Boltzmann method: Dispersion, dissipation, isotropy, Galilean invariance, and stability. Phys. Rev. E 2000, 61, 6546–6562. [Google Scholar] [CrossRef]
- McCracken, M.E.; Abraham, J. Multiple-relaxation-time lattice-Boltzmann model for multiphase flow. Phys. Rev. E 2005, 71, 036701. [Google Scholar] [CrossRef]
- Liu, Q.; He, Y.L.; Li, D.; Li, Q. Non-orthogonal multiple-relaxation-time lattice Boltzmann method for incompressible thermal flows. Int. J. Heat Mass Transf. 2016, 102, 1334–1344. [Google Scholar] [CrossRef]
- Huang, R.; Wu, H. Total enthalpy-based lattice Boltzmann method with adaptive mesh refinement for solid-liquid phase change. J. Comput. Phys. 2016, 315, 65–83. [Google Scholar] [CrossRef]
- Guo, Z.; Zhao, T.S. Lattice Boltzmann model for incompressible flows through porous media. Phys. Rev. E 2002, 66, 036304. [Google Scholar] [CrossRef]
- Huang, R.; Wu, H. Phase interface effects in the total enthalpy-based lattice Boltzmann model for solid-liquid phase change. J. Comput. Phys. 2015, 294, 346–362. [Google Scholar] [CrossRef]
- Guo, Z.L.; Zheng, C.G.; Shi, B.C. Non-equilibrium extrapolation method for velocity and pressure boundary conditions in the lattice Boltzmann method. Chin. Phys. 2002, 11, 366. [Google Scholar]











Publisher’s Note: MDPI stays neutral with regard to jurisdictional claims in published maps and institutional affiliations. |
© 2022 by the authors. Licensee MDPI, Basel, Switzerland. This article is an open access article distributed under the terms and conditions of the Creative Commons Attribution (CC BY) license (https://creativecommons.org/licenses/by/4.0/).
Share and Cite
Feng, X.-B.; Huo, S.-F.; Xu, X.-T.; Liu, F.; Liu, Q. Numerical Study on Heat-Transfer Characteristics of Convection Melting in Metal Foam under Sinusoidal Temperature Boundary Conditions. Entropy 2022, 24, 1779. https://doi.org/10.3390/e24121779
Feng X-B, Huo S-F, Xu X-T, Liu F, Liu Q. Numerical Study on Heat-Transfer Characteristics of Convection Melting in Metal Foam under Sinusoidal Temperature Boundary Conditions. Entropy. 2022; 24(12):1779. https://doi.org/10.3390/e24121779
Chicago/Turabian StyleFeng, Xiang-Bo, Shi-Fan Huo, Xiao-Tao Xu, Fei Liu, and Qing Liu. 2022. "Numerical Study on Heat-Transfer Characteristics of Convection Melting in Metal Foam under Sinusoidal Temperature Boundary Conditions" Entropy 24, no. 12: 1779. https://doi.org/10.3390/e24121779
APA StyleFeng, X.-B., Huo, S.-F., Xu, X.-T., Liu, F., & Liu, Q. (2022). Numerical Study on Heat-Transfer Characteristics of Convection Melting in Metal Foam under Sinusoidal Temperature Boundary Conditions. Entropy, 24(12), 1779. https://doi.org/10.3390/e24121779

