Digital Quantum Simulation of the Spin-Boson Model under Markovian Open-System Dynamics
Abstract
1. Introduction
2. Method
2.1. Model
2.2. Circuit Implementation
2.2.1. Encoding of the Hamiltonian
2.2.2. Trotterization of Unitary
2.2.3. Collisional Model
2.2.4. Integration of Dissipative and Unitary Part
2.3. Quantum Hardware Simulation
Reduced-Noise Models
3. Results
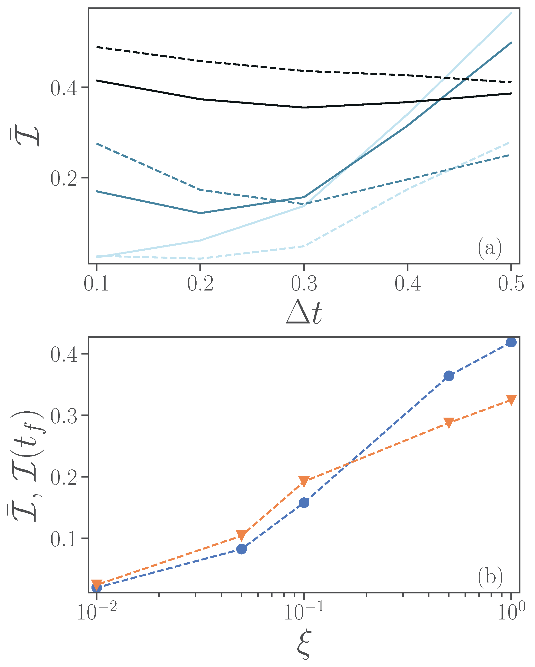
3.1. Error from the Circuit Implementation
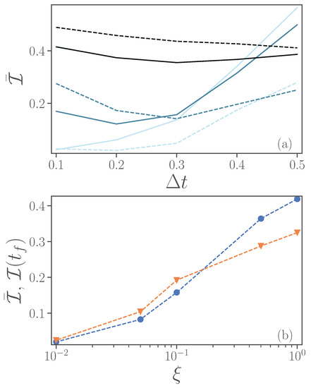
3.2. Error in the Presence of Noise
3.3. Two-Spin System
4. Conclusions
Author Contributions
Funding
Data Availability Statement
Acknowledgments
Conflicts of Interest
Appendix A. Encoding of Bosonic Operators Onto Qubits
- Truncate the infinite-dimensional harmonic oscillator at some level
- Rewrite each bosonic operator as a sum of level transitions
- Assign each level an integer
- Write each integer in binary
- Map each bit pair to Pauli matrices using
Appendix A.1. Gate Requirements

| Standard Binary | Gray Code | |||||
|---|---|---|---|---|---|---|
| Trotter order | Single | CX | Single | CX | ||
| 1 | 4 | First | 53 | 21 | 94 | 43 |
| 1 | 4 | Second | 94 | 34 | 75 | 28 |
| 1 | 8 | First | 156 | 66 | 122 | 60 |
| 1 | 8 | Second | 282 | 124 | 191 | 107 |
| 2 | 4 | First | 106 | 37 | 122 | 36 |
| 2 | 4 | Second | 191 | 65 | 168 | 74 |
| 2 | 8 | First | 270 | 139 | 200 | 156 |
| 2 | 8 | Second | 496 | 272 | 409 | 255 |
Appendix A.2. Mapped Hamiltonian
Appendix B. Noise Model
Appendix B.1. Error Sources
Appendix B.1.1. Thermal Relaxation Error
Appendix B.1.2. Depolarizing Error
Gate Infidelity
Depolarizing Error Probability
Appendix B.1.3. Measurement Error
Appendix B.1.4. Error Sources in the Reference Device
Appendix B.1.5. Calibration Data
Appendix C. Gate Definition
Appendix D. Transpiled Circuits

References
- Lloyd, S. Universal Quantum Simulators. Science 1996, 273, 1073–1078. [Google Scholar] [CrossRef] [PubMed]
- Nielsen, M.A.; Chuang, I.L. Quantum Computation and Quantum Information: 10th Anniversary Edition; Cambridge University Press: Cambridge, UK, 2010. [Google Scholar] [CrossRef]
- Whitfield, J.D.; Biamonte, J.; Aspuru-Guzik, A. Simulation of Electronic Structure Hamiltonians Using Quantum Computers. Mol. Phys. 2011, 109, 735–750. [Google Scholar] [CrossRef]
- Wiebe, N.; Berry, D.W.; Høyer, P.; Sanders, B.C. Simulating quantum dynamics on a quantum computer. J. Phys. A Math. Theor. 2011, 44, 445308. [Google Scholar] [CrossRef]
- Tacchino, F.; Chiesa, A.; Carretta, S.; Gerace, D. Quantum Computers as Universal Quantum Simulators: State-of-the-Art and Perspectives. Adv. Quantum Technol. 2019, 3, 1900052. [Google Scholar] [CrossRef]
- Jaderberg, B.; Eisfeld, A.; Jaksch, D.; Mostame, S. Recompilation-enhanced simulation of electron–phonon dynamics on IBM quantum computers. New J. Phys. 2022, 24, 093017. [Google Scholar] [CrossRef]
- Leggett, A.J.; Chakravarty, S.; Dorsey, A.T.; Fisher, M.P.A.; Garg, A.; Zwerger, W. Dynamics of the dissipative two-state system. Rev. Mod. Phys. 1987, 59, 1–85. [Google Scholar] [CrossRef]
- Weiss, U. Quantum Dissipative Systems; World Scientific: Singapore, 2011. [Google Scholar] [CrossRef]
- Xu, D.; Schulten, K. Coupling of protein motion to electron transfer in a photosynthetic reaction center: Investigating the low temperature behavior in the framework of the spin—Boson model. Chem. Phys. 1994, 182, 91–117. [Google Scholar] [CrossRef]
- Renger, T.; Marcus, R.A. On the relation of protein dynamics and exciton relaxation in pigment–protein complexes: An estimation of the spectral density and a theory for the calculation of optical spectra. J. Chem. Phys. 2002, 116, 9997–10019. [Google Scholar] [CrossRef]
- Fleming, G.R.; Cho, M. Chromophore solvent dynamics. Annu. Rev. Phys. Chem. 1996, 47, 109–134. [Google Scholar] [CrossRef]
- Preskill, J. Quantum Computing in the NISQ era and beyond. Quantum 2018, 2, 79. [Google Scholar] [CrossRef]
- Bharti, K.; Cervera-Lierta, A.; Kyaw, T.H.; Haug, T.; Alperin-Lea, S.; Anand, A.; Degroote, M.; Heimonen, H.; Kottmann, J.S.; Menke, T.; et al. Noisy intermediate-scale quantum algorithms. Rev. Mod. Phys. 2022, 94, 015004. [Google Scholar] [CrossRef]
- Peruzzo, A.; McClean, J.; Shadbolt, P.; Yung, M.H.; Zhou, X.Q.; Love, P.J.; Aspuru-Guzik, A.; O’Brien, J.L. A variational eigenvalue solver on a photonic quantum processor. Nat. Commun. 2014, 5, 4213. [Google Scholar] [CrossRef] [PubMed]
- Farhi, E.; Goldstone, J.; Gutmann, S. A Quantum Approximate Optimization Algorithm. arXiv 2014, arXiv:1411.4028. [Google Scholar] [CrossRef]
- Erbanni, R.; Bharti, K.; Kwek, L.C.; Poletti, D. NISQ algorithm for the matrix elements of a generic observable. arXiv 2022, arXiv:2205.10058. [Google Scholar] [CrossRef]
- Li, Y.; Benjamin, S.C. Efficient Variational Quantum Simulator Incorporating Active Error Minimization. Phys. Rev. X 2017, 7, 021050. [Google Scholar] [CrossRef]
- Temme, K.; Bravyi, S.; Gambetta, J.M. Error Mitigation for Short-Depth Quantum Circuits. Phys. Rev. Lett. 2017, 119, 180509. [Google Scholar] [CrossRef]
- Endo, S.; Cai, Z.; Benjamin, S.C.; Yuan, X. Hybrid Quantum-Classical Algorithms and Quantum Error Mitigation. J. Phys. Soc. Jpn. 2021, 90, 032001. [Google Scholar] [CrossRef]
- Di Paolo, A.; Barkoutsos, P.K.; Tavernelli, I.; Blais, A. Variational Quantum Simulation of Ultrastrong Light-Matter Coupling. Phys. Rev. Res. 2020, 2, 033364. [Google Scholar] [CrossRef]
- Miessen, A.; Ollitrault, P.J.; Tavernelli, I. Quantum algorithms for quantum dynamics: A performance study on the spin-boson model. Phys. Rev. Res. 2021, 3, 043212. [Google Scholar] [CrossRef]
- Fitzpatrick, N.; Apel, H.; Ramo, D.M. Evaluating low-depth quantum algorithms for time evolution on fermion-boson systems. arXiv 2021, arXiv:2106.03985. [Google Scholar] [CrossRef]
- Kamakari, H.; Sun, S.N.; Motta, M.; Minnich, A.J. Digital quantum simulation of open quantum systems using quantum imaginary time evolution. PRX Quantum 2022, 3, 010320. [Google Scholar] [CrossRef]
- McArdle, S.; Jones, T.; Endo, S.; Li, Y.; Benjamin, S.C.; Yuan, X. Variational ansatz-based quantum simulation of imaginary time evolution. Npj Quantum Inf. 2019, 5, 75. [Google Scholar] [CrossRef]
- Endo, S.; Sun, J.; Li, Y.; Benjamin, S.; Yuan, X. Variational quantum simulation of general processes. Phys. Rev. Lett. 2020, 125, 010501. [Google Scholar] [CrossRef] [PubMed]
- Yoshioka, N.; Nakagawa, Y.O.; Mitarai, K.; Fujii, K. Variational quantum algorithm for nonequilibrium steady states. Phys. Rev. Res. 2020, 2, 043289. [Google Scholar] [CrossRef]
- Liu, H.Y.; Sun, T.P.; Wu, Y.C.; Guo, G.P. Variational Quantum Algorithms for the Steady States of Open Quantum Systems. Chin. Phys. Lett. 2021, 38, 080301. [Google Scholar] [CrossRef]
- Bharti, K.; Haug, T. Quantum-assisted simulator. Phys. Rev. A 2021, 104, 042418. [Google Scholar] [CrossRef]
- Macridin, A.; Spentzouris, P.; Amundson, J.; Harnik, R. Digital quantum computation of fermion-boson interacting systems. Phys. Rev. A 2018, 98, 042312. [Google Scholar] [CrossRef]
- Somma, R.D.; Ortiz, G.; Knill, E.H.; Gubernatis, J. Quantum simulations of physics problems. In Proceedings of the Quantum Information and Computation, SPIE, Orlando, FL, USA, 21–25 April 2003; Volume 5105, pp. 96–103. [Google Scholar] [CrossRef]
- Sawaya, N.P.D.; Menke, T.; Kyaw, T.H.; Johri, S.; Aspuru-Guzik, A.; Guerreschi, G.G. Resource-efficient digital quantum simulation of d-level systems for photonic, vibrational, and spin-s Hamiltonians. NPJ Quantum Inf. 2020, 6, 49. [Google Scholar] [CrossRef]
- Hu, Z.; Xia, R.; Kais, S. A quantum algorithm for evolving open quantum dynamics on quantum computing devices. Sci. Rep. 2020, 10, 3301. [Google Scholar] [CrossRef]
- Schlimgen, A.W.; Head-Marsden, K.; Sager, L.M.; Narang, P.; Mazziotti, D.A. Quantum Simulation of Open Quantum Systems Using a Unitary Decomposition of Operators. Phys. Rev. Lett. 2021, 127, 270503. [Google Scholar] [CrossRef]
- Udayakumar, P.; Kumar-Eslami, P. Kraus operator formalism for quantum multiplexer operations for arbitrary two-qubit mixed states. Quantum Inf. Process. 2019, 18, 361. [Google Scholar] [CrossRef]
- García-Pérez, G.; Rossi, M.A.C.; Maniscalco, S. IBM Q Experience as a versatile experimental testbed for simulating open quantum systems. Npj Quantum Inf. 2020, 6, 1–10. [Google Scholar] [CrossRef]
- Wei, S.J.; Ruan, D.; Long, G.L. Duality quantum algorithm efficiently simulates open quantum systems. Sci. Rep. 2016, 6, 30727. [Google Scholar] [CrossRef] [PubMed]
- Cleve, R.; Wang, C. Efficient Quantum Algorithms for Simulating Lindblad Evolution. arXiv 2016, arXiv:1612.09512. [Google Scholar]
- Jo, M.; Kim, M. Simulating open quantum many-body systems using optimised circuits in digital quantum simulation. arXiv 2022, arXiv:2203.14295. [Google Scholar]
- Ciccarello, F.; Lorenzo, S.; Giovannetti, V.; Palma, G.M. Quantum collision models: Open system dynamics from repeated interactions. Phys. Rep. 2022, 954, 1–70. [Google Scholar] [CrossRef]
- Algaba, M.G.; Ponce-Martinez, M.; Munuera-Javaloy, C.; Pina-Canelles, V.; Thapa, M.; Taketani, B.G.; Leib, M.; de Vega, I.; Casanova, J.; Heimonen, H. Co-Design quantum simulation of nanoscale NMR. arXiv 2022, arXiv:2202.05792. [Google Scholar] [CrossRef]
- Rabi, I.I. On the Process of Space Quantization. Phys. Rev. 1936, 49, 324–328. [Google Scholar] [CrossRef]
- Rabi, I.I. Space Quantization in a Gyrating Magnetic Field. Phys. Rev. 1937, 51, 652–654. [Google Scholar] [CrossRef]
- Bloch, F.; Siegert, A. Magnetic Resonance for Nonrotating Fields. Phys. Rev. 1940, 57, 522–527. [Google Scholar] [CrossRef]
- Jaynes, E.; Cummings, F. Comparison of quantum and semiclassical radiation theories with application to the beam maser. Proc. IEEE 1963, 51, 89–109. [Google Scholar] [CrossRef]
- Cummings, F.W. Reminiscing about thesis work with ET Jaynes at Stanford in the 1950s. J. Phys. B At. Mol. Opt. Phys. 2013, 46, 220202. [Google Scholar] [CrossRef]
- Xie, Q.; Zhong, H.; Batchelor, M.T.; Lee, C. The quantum Rabi model: Solution and dynamics. J. Phys. A Math. Theor. 2017, 50, 113001. [Google Scholar] [CrossRef]
- Forn-Díaz, P.; Lisenfeld, J.; Marcos, D.; García-Ripoll, J.J.; Solano, E.; Harmans, C.J.P.M.; Mooij, J.E. Observation of the Bloch-Siegert Shift in a Qubit-Oscillator System in the Ultrastrong Coupling Regime. Phys. Rev. Lett. 2010, 105, 237001. [Google Scholar] [CrossRef] [PubMed]
- Niemczyk, T.; Deppe, F.; Huebl, H.; Menzel, E.P.; Hocke, F.; Schwarz, M.J.; Garcia-Ripoll, J.J.; Zueco, D.; Hümmer, T.; Solano, E.; et al. Circuit quantum electrodynamics in the ultrastrong-coupling regime. Nat. Phys. 2010, 6, 772–776. [Google Scholar] [CrossRef]
- Braumüller, J.; Marthaler, M.; Schneider, A.; Stehli, A.; Rotzinger, H.; Weides, M.; Ustinov, A.V. Analog quantum simulation of the Rabi model in the ultra-strong coupling regime. Nat. Commun. 2017, 8, 779. [Google Scholar] [CrossRef] [PubMed]
- Forn-Díaz, P.; García-Ripoll, J.J.; Peropadre, B.; Orgiazzi, J.L.; Yurtalan, M.A.; Belyansky, R.; Wilson, C.M.; Lupascu, A. Ultrastrong coupling of a single artificial atom to an electromagnetic continuum in the nonperturbative regime. Nat. Phys. 2016, 13, 39–43. [Google Scholar] [CrossRef]
- Yoshihara, F.; Fuse, T.; Ashhab, S.; Kakuyanagi, K.; Saito, S.; Semba, K. Superconducting qubit–oscillator circuit beyond the ultrastrong-coupling regime. Nat. Phys. 2016, 13, 44–47. [Google Scholar] [CrossRef]
- Langford, N.K.; Sagastizabal, R.; Kounalakis, M.; Dickel, C.; Bruno, A.; Luthi, F.; Thoen, D.J.; Endo, A.; DiCarlo, L. Experimentally simulating the dynamics of quantum light and matter at deep-strong coupling. Nat. Commun. 2017, 8, 1715. [Google Scholar] [CrossRef]
- Lv, D.; An, S.; Liu, Z.; Zhang, J.N.; Pedernales, J.S.; Lamata, L.; Solano, E.; Kim, K. Quantum Simulation of the Quantum Rabi Model in a Trapped Ion. Phys. Rev. X 2018, 8, 021027. [Google Scholar] [CrossRef]
- Crespi, A.; Longhi, S.; Osellame, R. Photonic Realization of the Quantum Rabi Model. Phys. Rev. Lett. 2012, 108, 163601. [Google Scholar] [CrossRef] [PubMed]
- Todorov, Y.; Andrews, A.M.; Sagnes, I.; Colombelli, R.; Klang, P.; Strasser, G.; Sirtori, C. Strong Light-Matter Coupling in Subwavelength Metal-Dielectric Microcavities at Terahertz Frequencies. Phys. Rev. Lett. 2009, 102, 186402. [Google Scholar] [CrossRef] [PubMed]
- Günter, G.; Anappara, A.A.; Hees, J.; Sell, A.; Biasiol, G.; Sorba, L.; Liberato, S.D.; Ciuti, C.; Tredicucci, A.; Leitenstorfer, A.; et al. Sub-cycle switch-on of ultrastrong light–matter interaction. Nature 2009, 458, 178–181. [Google Scholar] [CrossRef] [PubMed]
- Lindblad, G. On the generators of quantum dynamical semigroups. Commun. Math. Phys. 1976, 48, 119–130. [Google Scholar] [CrossRef]
- Gorini, V. Completely positive dynamical semigroups of N-level systems. J. Math. Phys. 1976, 17, 821. [Google Scholar] [CrossRef]
- Ritsch, H.; Domokos, P.; Brennecke, F.; Esslinger, T. Cold atoms in cavity-generated dynamical optical potentials. Rev. Mod. Phys. 2013, 85, 553–601. [Google Scholar] [CrossRef]
- Reiserer, A.; Rempe, G. Cavity-based quantum networks with single atoms and optical photons. Rev. Mod. Phys. 2015, 87, 1379–1418. [Google Scholar] [CrossRef]
- Fabre, C.; Sandoghdar, V.; Treps, N.; Cugliandolo, L.F. (Eds.) Quantum Optics and Nanophotonics; Oxford University Press: Oxford, UK, 2017. [Google Scholar] [CrossRef]
- Di Matteo, O.; McCoy, A.; Gysbers, P.; Miyagi, T.; Woloshyn, R.M.; Navrátil, P. Improving Hamiltonian encodings with the Gray code. Phys. Rev. A 2021, 103, 042405. [Google Scholar] [CrossRef]
- Hatano, N.; Suzuki, M. Finding Exponential Product Formulas of Higher Orders. In Quantum Annealing and Other Optimization Methods; Springer: Berlin/Heidelberg, Germany, 2005; pp. 37–68. [Google Scholar] [CrossRef]
- Berry, D.W.; Ahokas, G.; Cleve, R.; Sanders, B.C. Efficient Quantum Algorithms for Simulating Sparse Hamiltonians. Commun. Math. Phys. 2006, 270, 359–371. [Google Scholar] [CrossRef]
- Aleksandrowicz, G.; Alexander, T.; Barkoutsos, P.; Bello, L.; Ben-Haim, Y.; Bucher, D.; Cabrera-Hernández, F.J.; Carballo-Franquis, J.; Chen, A.; Chen, C.F.; et al. Qiskit: An Open-Source Framework for Quantum Computing; CERN: Geneva, Switzerland, 2021. [Google Scholar] [CrossRef]
- Karevski, D.; Platini, T. Quantum Nonequilibrium Steady States Induced by Repeated Interactions. Phys. Rev. Lett. 2009, 102, 207207. [Google Scholar] [CrossRef] [PubMed]
- Jozsa, R. Fidelity for Mixed Quantum States. J. Mod. Opt. 1994, 41, 2315–2323. [Google Scholar] [CrossRef]
- Johansson, J.; Nation, P.; Nori, F. QuTiP 2: A Python framework for the dynamics of open quantum systems. Comput. Phys. Commun. 2013, 184, 1234–1240. [Google Scholar] [CrossRef]
- Bravyi, S.; Sheldon, S.; Kandala, A.; Mckay, D.C.; Gambetta, J.M. Mitigating measurement errors in multiqubit experiments. Phys. Rev. A 2021, 103, 042605. [Google Scholar] [CrossRef]
- Georgopoulos, K.; Emary, C.; Zuliani, P. Modeling and simulating the noisy behavior of near-term quantum computers. Phys. Rev. A 2021, 104, 062432. [Google Scholar] [CrossRef]
- Ursell, H.D. The evaluation of Gibbs’ phase-integral for imperfect gases. Math. Proc. Camb. Philos. Soc. 1927, 23, 685–697. [Google Scholar] [CrossRef]
- Percus, J.K. Correlation inequalities for Ising spin lattices. Commun. Math. Phys. 1975, 40, 283–308. [Google Scholar] [CrossRef]
- Shlosman, S.B. Signs of the Ising model Ursell functions. Commun. Math. Phys. 1986, 102, 679–686. [Google Scholar] [CrossRef]
- IBM. Qiskit Dokumentation; IBM: Armonk, NY, USA, 2022. [Google Scholar]
- IBM. IBMQ Devices; IBM: Armonk, NY, USA, 2022. [Google Scholar]









Publisher’s Note: MDPI stays neutral with regard to jurisdictional claims in published maps and institutional affiliations. |
© 2022 by the authors. Licensee MDPI, Basel, Switzerland. This article is an open access article distributed under the terms and conditions of the Creative Commons Attribution (CC BY) license (https://creativecommons.org/licenses/by/4.0/).
Share and Cite
Burger, A.; Kwek, L.C.; Poletti, D. Digital Quantum Simulation of the Spin-Boson Model under Markovian Open-System Dynamics. Entropy 2022, 24, 1766. https://doi.org/10.3390/e24121766
Burger A, Kwek LC, Poletti D. Digital Quantum Simulation of the Spin-Boson Model under Markovian Open-System Dynamics. Entropy. 2022; 24(12):1766. https://doi.org/10.3390/e24121766
Chicago/Turabian StyleBurger, Andreas, Leong Chuan Kwek, and Dario Poletti. 2022. "Digital Quantum Simulation of the Spin-Boson Model under Markovian Open-System Dynamics" Entropy 24, no. 12: 1766. https://doi.org/10.3390/e24121766
APA StyleBurger, A., Kwek, L. C., & Poletti, D. (2022). Digital Quantum Simulation of the Spin-Boson Model under Markovian Open-System Dynamics. Entropy, 24(12), 1766. https://doi.org/10.3390/e24121766
