Thermodynamically Consistent Models for Coupled Bulk and Surface Dynamics
Abstract
1. Introduction
- Jing–Wang model [24]:We firstly define the free energy of the system as followswhere is the order parameter, is the surface gradient. The corresponding governing equation system is given bywhere , and are mobilities, and are parameters, and are chemical potentials, and is the conjugate variable, which are defined in Section 2.
- Knopf–Lam model [28]:We define the free energy as followswhere and are two order parameters to describe the materials in the bulk and on the boundary surface, respectively. , , and K are model parameters, is a function of . The governing equations in the bulk and on the boundary are given by
- Liu–Wu model [27]:By setting and , in the Knopf–Lam model, the Liu–Wu model is obtained which are given by
- Knopf–Signori model [29]:Once the bulk and surface free energies are non-local as in Section 3.3 below, the non-local dynamics are given by
2. Thermodynamically Consistent Phase Field Models with Consistent Dynamic Boundary Conditions
2.1. Generalized Onsager Principle
2.2. Models with the Free Energy up to Second Spatial Derivatives
2.2.1. Dynamics in the Bulk
2.2.2. Dynamics on the Boundary
2.3. Effect of Mobilities in the Bulk and on the Surface
3. Reduction to Limiting Cases
3.1. The Jing–Wang Model [24]
3.2. The Knopf–Lam Model [28] and the Liu–Wu Model [27]
3.3. Non-Local Models including the Knopf–Signori Model [29]
3.4. Reactive Transport Equation in a Binary Polymeric System
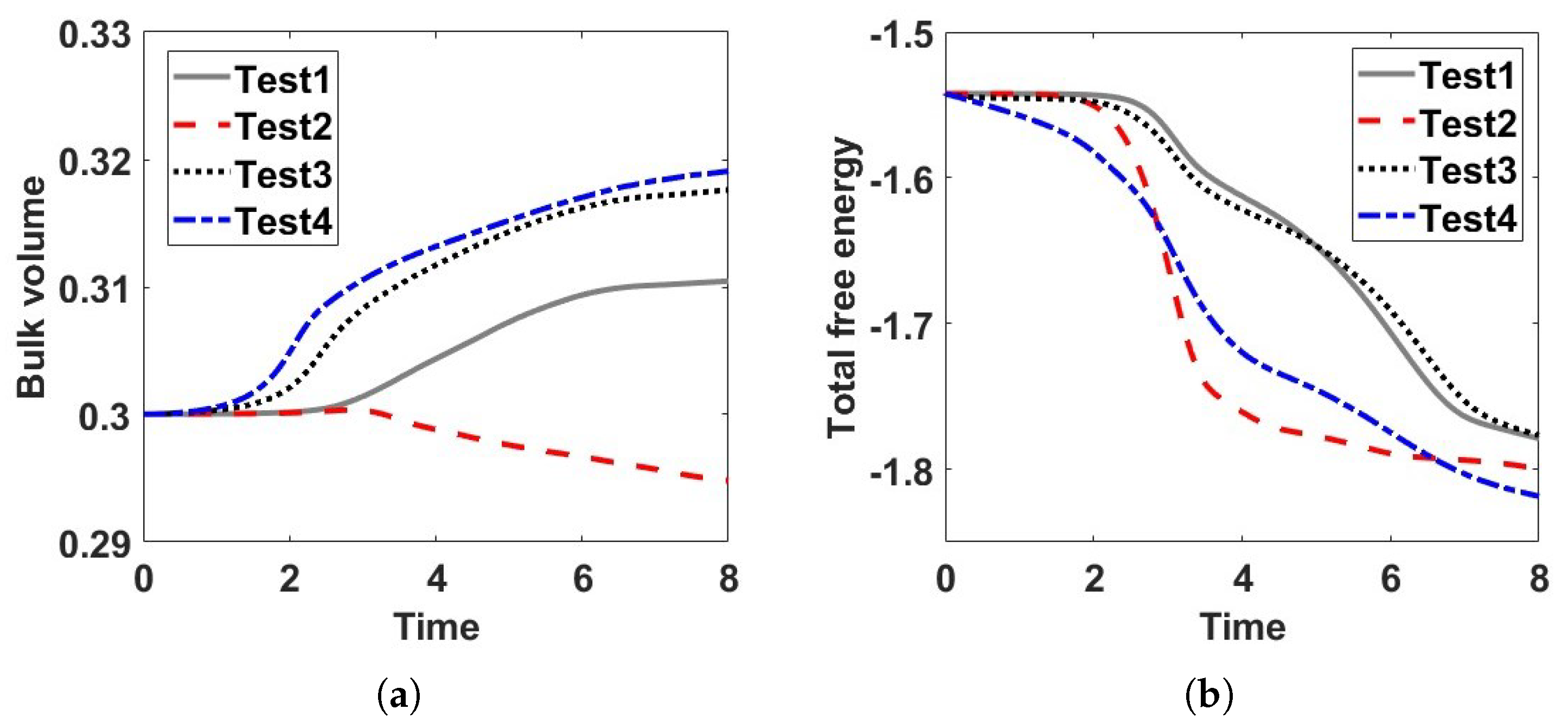
4. Numerical Results for a Binary Reactive System
5. Conclusions
Author Contributions
Funding
Institutional Review Board Statement
Data Availability Statement
Conflicts of Interest
References
- Wang, Q. Generalized Onsager Principle and its Application. In Frontiers and Progress of Current Soft Matter Research; Liu, X.Y., Ed.; Springer Nature: Cham, Switzerland, 2020. [Google Scholar]
- Onsager, L. Reciprocal relations in irreversible processes. I. Phys. Rev. 1931, 37, 405. [Google Scholar] [CrossRef]
- Yang, X.; Li, J.; Forest, M.G.; Wang, Q. Hydrodynamic theories for flows of active liquid crystals and the generalized Onsager principle. Entropy 2016, 18, 202. [Google Scholar] [CrossRef]
- Onsager, L. Reciprocal relations in irreversible processes. II. Phys. Rev. 1931, 38, 2265. [Google Scholar] [CrossRef]
- Li, J.; Zhao, J.; Wang, Q. Energy and entropy preserving numerical approximations of thermodynamically consistent crystal growth models. J. Comput. Phys. 2019, 382, 202–220. [Google Scholar] [CrossRef]
- Zhao, X.; Qian, T.; Wang, Q. Thermodynamically Consistent Hydrodynamic Models of Multi-Component Compressible Fluid Flows. Commun. Math. Sci. 2020, 18, 1441–1468. [Google Scholar] [CrossRef]
- Zhao, J.; Yang, X.; Gong, Y.; Zhao, X.; Yang, X.; Li, J.; Wang, Q. A general strategy for numerical approximations of non-equilibrium models part I: Thermodynamical systems. Int. J. Numer. Anal. Model. 2018, 15, 884–918. [Google Scholar]
- Sun, S.; Li, J.; Zhao, J.; Wang, Q. Structure-Preserving Numerical Approximations to a Non-isothermal Hydrodynamic Model of Binary Fluid Flows. J. Sci. Comput. 2020, 83, 50. [Google Scholar] [CrossRef]
- Xing, X. Topology and geometry of smectic order on compact curved substrates. J. Stat. Phys. 2009, 134, 487–536. [Google Scholar] [CrossRef]
- Steinbach, I.; Pezzolla, F.; Nestler, B.; Seeßelberg, M.; Prieler, R.; Schmitz, G.J.; Rezende, J.L. A phase field concept for multiphase systems. Phys. D 1996, 94, 135–147. [Google Scholar] [CrossRef]
- Singer-Loginova, I.; Singer, H. The phase field technique for modeling multiphase materials. Rep. Prog. Phys. 2008, 71, 106501. [Google Scholar] [CrossRef]
- Steinbach, I. Phase-field models in materials science. Model. Simul. Mater. Sci. Eng. 2009, 17, 073001. [Google Scholar] [CrossRef]
- Chen, L.Q. Phase-field models for microstructure evolution. Annu. Rev. Mater. Res. 2002, 32, 113–140. [Google Scholar] [CrossRef]
- Galenko, P.; Jou, D. Rapid solidification as non-ergodic phenomenon. Phys. Rep. 2019, 818, 1–70. [Google Scholar] [CrossRef]
- Salhoumi, A.; Galenko, P. Gibbs-Thomson condition for the rapidly moving interface in a binary system. Phys. A Stat. Mech. Appl. 2016, 447, 161–171. [Google Scholar] [CrossRef]
- Elder, K.; Grant, M.; Provatas, N.; Kosterlitz, J. Sharp interface limits of phase-field models. Phys. Rev. E 2001, 64, 021604. [Google Scholar] [CrossRef]
- Cahn, J.W.; Hilliard, J.E. Free energy of a nonuniform system. I. Interfacial free energy. J. Chem. Phys. 1958, 28, 258–267. [Google Scholar] [CrossRef]
- Qin, R.; Bhadeshia, H. Phase field method. Mater. Sci. Technol. 2010, 26, 803–811. [Google Scholar] [CrossRef]
- Cirillo, E.N.; Ianiro, N.; Sciarra, G. Allen–Cahn and Cahn–Hilliard like equations for dissipative dynamics of saturated porous media. J. Mech. Phys. Solids 2013, 61, 629–651. [Google Scholar] [CrossRef][Green Version]
- Nestler, B.; Choudhury, A. Phase-field modeling of multi-component systems. Curr. Opin. Solid State Mater. Sci. 2011, 15, 93–105. [Google Scholar] [CrossRef]
- Kim, J. Phase-field models for multi-component fluid flows. Commun. Comput. Phys. 2012, 12, 613–661. [Google Scholar] [CrossRef]
- Provatas, N.; Elder, K. Phase-Field Methods in Materials Science and Engineering; John Wiley & Sons: Hoboken, NJ, USA, 2011. [Google Scholar]
- Knopf, P.; Lam, K.F.; Liu, C.; Metzger, S. Phase-field dynamics with transfer of materials: The Cahn–Hilliard equation with reaction rate dependent dynamic boundary conditions. ESAIM Math. Model. Numer. Anal. 2021, 55, 229–282. [Google Scholar] [CrossRef]
- Jing, X.; Wang, Q. Thermodynamically Consistent Dynamic Boundary Conditions of Phase Field Models. arXiv 2022, arXiv:2211.04966. [Google Scholar]
- Gal, C.G. A Cahn–Hilliard model in bounded domains with permeable walls. Math. Method Appl. Sci. 2006, 29, 2009–2036. [Google Scholar] [CrossRef]
- Goldstein, G.R.; Miranville, A.; Schimperna, G. A Cahn–Hilliard model in a domain with non-permeable walls. Phys. D 2011, 240, 754–766. [Google Scholar] [CrossRef]
- Liu, C.; Wu, H. An energetic variational approach for the Cahn–Hilliard equation with dynamic boundary condition: Model derivation and mathematical analysis. Arch. Ration. Mech. Anal. 2019, 233, 167–247. [Google Scholar] [CrossRef]
- Knopf, P.; Lam, K.F. Convergence of a Robin boundary approximation for a Cahn–Hilliard system with dynamic boundary conditions. Nonlinearity 2020, 33, 4191. [Google Scholar] [CrossRef]
- Knopf, P.; Signori, A. On the nonlocal Cahn–Hilliard equation with nonlocal dynamic boundary condition and boundary penalization. J. Differ. Equ. 2021, 280, 236–291. [Google Scholar] [CrossRef]
- Yoon, G.H. Topology optimization for nonlinear dynamic problem with multiple materials and material-dependent boundary condition. Finite Elem. Anal. Des. 2011, 47, 753–763. [Google Scholar] [CrossRef]
- Gavrilyuk, S.; Gouin, H. Dynamic boundary conditions for membranes whose surface energy depends on the mean and Gaussian curvatures. Math. Mech. Complex Syst. 2019, 7, 131–157. [Google Scholar] [CrossRef]
- Rakita, Y.; Lubomirsky, I.; Cahen, D. When defects become dynamic: Halide perovskites: A new window on materials? Mater. Horiz. 2019, 6, 1297–1305. [Google Scholar] [CrossRef]
- Martínez-González, J.A.; Zhou, Y.; Rahimi, M.; Bukusoglu, E.; Abbott, N.L.; de Pablo, J.J. Blue-phase liquid crystal droplets. Proc. Natl. Acad. Sci. USA 2015, 112, 13195–13200. [Google Scholar] [CrossRef] [PubMed]
- Chen, C.W.; Hou, C.T.; Li, C.C.; Jau, H.C.; Wang, C.T.; Hong, C.L.; Guo, D.Y.; Wang, C.Y.; Chiang, S.P.; Bunning, T.J.; et al. Large three-dimensional photonic crystals based on monocrystalline liquid crystal blue phases. Nat. Commun. 2017, 8, 727. [Google Scholar] [CrossRef] [PubMed]
- Rahman, M.A.; Said, S.M.; Balamurugan, S. Blue phase liquid crystal: Strategies for phase stabilization and device development. Sci. Technol. Adv. Mater. 2015, 16, 033501. [Google Scholar] [CrossRef] [PubMed]
- Colli, P.; Fukao, T.; Lam, K.F. On a coupled bulk–surface Allen–Cahn system with an affine linear transmission condition and its approximation by a Robin boundary condition. Nonlinear Anal. 2019, 184, 116–147. [Google Scholar] [CrossRef]
- Fukao, T.; Wu, H. Separation property and convergence to equilibrium for the equation and dynamic boundary condition of Cahn–Hilliard type with singular potential. Asymptot. Anal. 2021, 124, 303–341. [Google Scholar] [CrossRef]
- Gal, C.G.; Wu, H. Asymptotic behavior of a Cahn–Hilliard equation with Wentzell boundary conditions and mass conservation. Discret. Contin. Dyn. Syst. 2008, 22, 1041. [Google Scholar] [CrossRef]
- Garcke, H.; Knopf, P. Weak Solutions of the Cahn–Hilliard System with Dynamic Boundary Conditions: A Gradient Flow Approach. SIAM J. Math. Anal. 2020, 52, 340–369. [Google Scholar] [CrossRef]
- Colli, P.; Fukao, T. Cahn–Hilliard equation with dynamic boundary conditions and mass constraint on the boundary. J. Math. Anal. Appl. 2015, 429, 1190–1213. [Google Scholar] [CrossRef]
- Fukao, T.; Yoshikawa, S.; Wada, S. Structure-preserving finite difference schemes for the Cahn–Hilliard equation with dynamic boundary conditions in the one-dimensional case. Commun. Pure Appl. Anal. 2017, 16, 1915. [Google Scholar] [CrossRef]
- Okumura, M.; Furihata, D. A structure-preserving scheme for the Allen–Cahn equation with a dynamic boundary condition. Discret. Contin. Dyn. Syst. 2020, 40, 4927. [Google Scholar] [CrossRef]
- Onsager, L.; Machlup, S. Fluctuations and irreversible processes. Phys. Rev. 1953, 91, 1505. [Google Scholar] [CrossRef]
- Machlup, S.; Onsager, L. Fluctuations and irreversible process. II. Systems with kinetic energy. Phys. Rev. 1953, 91, 1512. [Google Scholar] [CrossRef]
- Dziuk, G.; Elliott, C.M. Finite element methods for surface PDEs. Acta Numer. 2013, 22, 289–396. [Google Scholar] [CrossRef]
- Brenner, H. Interfacial Transport Processes and Rheology; Elsevier: Amsterdam, The Netherlands, 2013. [Google Scholar]
- Giacomin, G.; Lebowitz, J.L. Phase segregation dynamics in particle systems with long range interactions. I. Macroscopic limits. J. Stat. Phys. 1997, 87, 37–61. [Google Scholar] [CrossRef]
- Gal, C.G. Doubly nonlocal Cahn–Hilliard equations. Annales de l’Institut Henri Poincaré C Analyse non Linéaire 2018, 35, 357–392. [Google Scholar] [CrossRef]
- Jing, X.; Forest, M.G.; Zhao, J.; Wang, Q. Thermodynamically Consistent Models for Reactive Transport in Multi-phase Incompressible Polymeric Systems. 2022; to be submitted. [Google Scholar]
- Doi, M. Introduction to Polymer Physics; Oxford University Press: Oxford, UK, 1996. [Google Scholar]
- Levine, H.; Rappel, W.J. Membrane-bound Turing patterns. Phys. Rev. E 2005, 72, 061912. [Google Scholar] [CrossRef]
- Novak, I.L.; Gao, F.; Choi, Y.S.; Resasco, D.; Schaff, J.C.; Slepchenko, B.M. Diffusion on a curved surface coupled to diffusion in the volume: Application to cell biology. J. Comput. Phys. 2007, 226, 1271–1290. [Google Scholar] [CrossRef]
- Yang, W.; Rånby, B. Bulk surface photografting process and its applications. I. Reactions and kinetics. J. Appl. Polym. Sci. 1996, 62, 533–543. [Google Scholar] [CrossRef]
- Garcke, H.; Kampmann, J.; Rätz, A.; Röger, M. A coupled surface-Cahn–Hilliard bulk-diffusion system modeling lipid raft formation in cell membranes. Math. Model. Methods Appl. Sci. 2016, 26, 1149–1189. [Google Scholar] [CrossRef]
- Yang, W.; Rånby, B. Bulk surface photografting process and its applications. II. Principal factors affecting surface photografting. J. Appl. Polym. Sci. 1996, 62, 545–555. [Google Scholar] [CrossRef]
- Jing, X.; Li, J.; Zhao, X.; Wang, Q. Second order linear energy stable schemes for Allen-Cahn equations with nonlocal constraints. J. Sci. Comput. 2019, 80, 500–537. [Google Scholar] [CrossRef]
- Zhao, J.; Wang, Q.; Yang, X. Numerical approximations for a phase field dendritic crystal growth model based on the invariant energy quadratization approach. Int. J. Numer. Meth. Eng. 2017, 110, 279–300. [Google Scholar] [CrossRef]







Publisher’s Note: MDPI stays neutral with regard to jurisdictional claims in published maps and institutional affiliations. |
© 2022 by the authors. Licensee MDPI, Basel, Switzerland. This article is an open access article distributed under the terms and conditions of the Creative Commons Attribution (CC BY) license (https://creativecommons.org/licenses/by/4.0/).
Share and Cite
Jing, X.; Wang, Q. Thermodynamically Consistent Models for Coupled Bulk and Surface Dynamics. Entropy 2022, 24, 1683. https://doi.org/10.3390/e24111683
Jing X, Wang Q. Thermodynamically Consistent Models for Coupled Bulk and Surface Dynamics. Entropy. 2022; 24(11):1683. https://doi.org/10.3390/e24111683
Chicago/Turabian StyleJing, Xiaobo, and Qi Wang. 2022. "Thermodynamically Consistent Models for Coupled Bulk and Surface Dynamics" Entropy 24, no. 11: 1683. https://doi.org/10.3390/e24111683
APA StyleJing, X., & Wang, Q. (2022). Thermodynamically Consistent Models for Coupled Bulk and Surface Dynamics. Entropy, 24(11), 1683. https://doi.org/10.3390/e24111683

