Levitated Micromagnets in Superconducting Traps: A New Platform for Tabletop Fundamental Physics Experiments
Abstract
1. Introduction
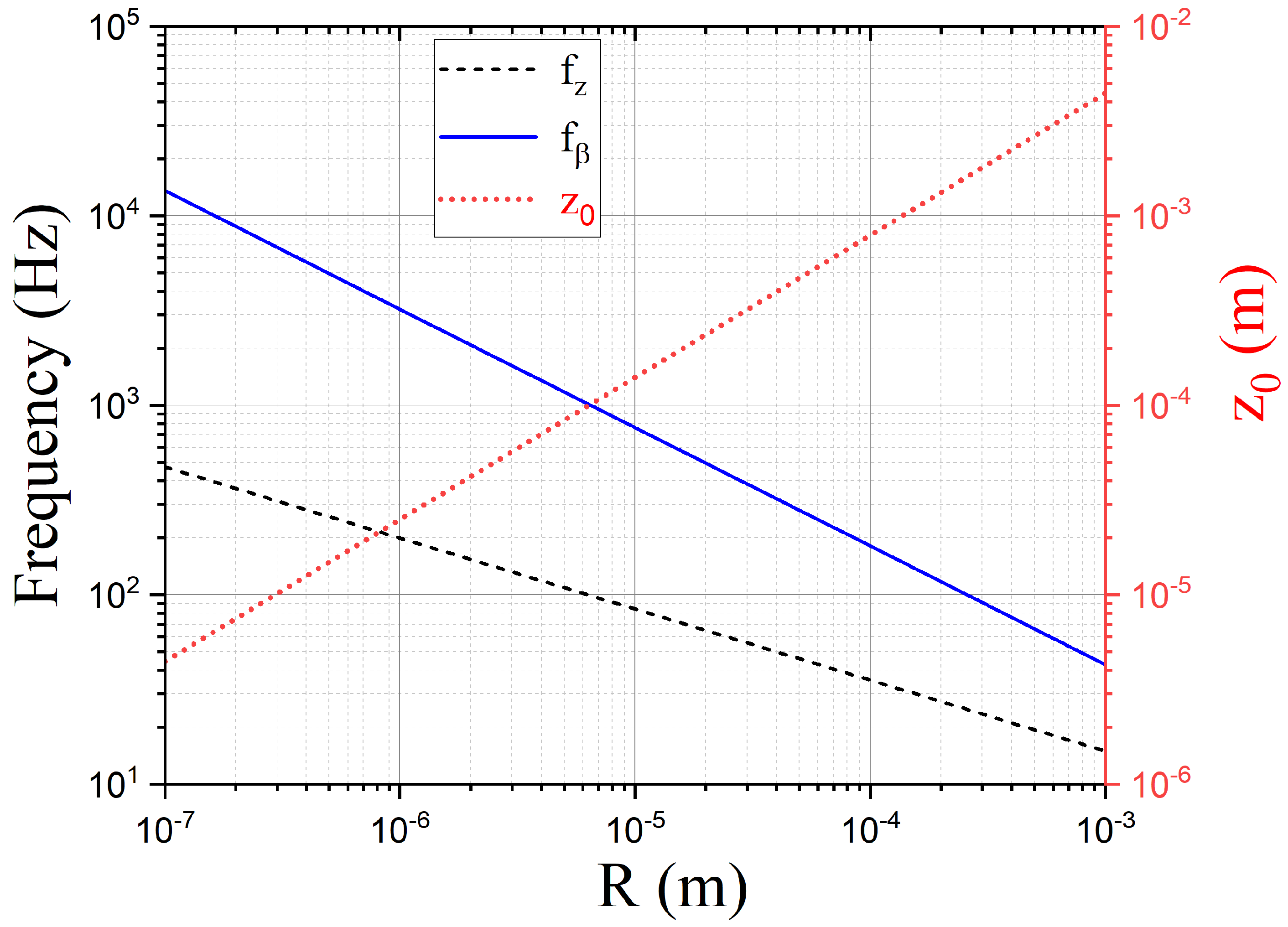
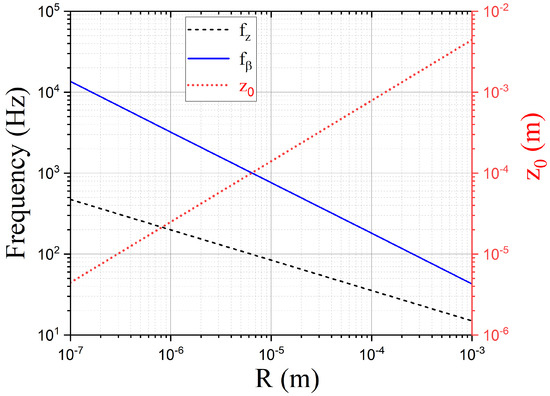
2. Theoretical Models
3. Review of Existing Experiments
3.1. Type-II Superconductors
3.2. Type-I Superconductors
3.3. Foreseen Near-Future Improvement and Challenges
4. Applications
4.1. Magnetometry and Torque Sensing
4.1.1. Gyroscopic Regime
4.1.2. Librational Regime
4.2. Fundamental Physics
4.2.1. Non-Interferometric Experiments
4.2.2. Interferometric Experiments
4.2.3. New Ideas to Test the Interplay between Gravity and Quantum Mechanics
4.2.4. Testing Modified Gravity as an Alternative to Dark Matter
5. Conclusions
Funding
Institutional Review Board Statement
Informed Consent Statement
Conflicts of Interest
References
- Gonzalez-Ballestero, C.; Aspelmeyer, M.; Novotny, L.; Quidant, R.; Romero-Isart, O. Levitodynamics: Levitation and control of microscopic objects in vacuum. Science 2021, 374, eabg3027. [Google Scholar] [CrossRef] [PubMed]
- Jain, V.; Gieseler, J.; Moritz, C.; Dellago, C.; Quidant, R.; Novotny, L. Direct Measurement of Photon Recoil from a Levitated Nanoparticle. Phys. Rev. Lett. 2016, 116, 243601. [Google Scholar] [CrossRef] [PubMed]
- Timberlake, C.; Gasbarri, G.; Vinante, A.; Setter, A.; Ulbricht, H. Acceleration sensing with magnetically levitated oscillators above a superconductor. Appl. Phys. Lett. 2019, 115, 224101. [Google Scholar] [CrossRef]
- Prat-Camps, J.; Teo, C.; Rusconi, C.; Wieczorek, W.; Romero-Isart, O. Ultrasensitive Inertial and Force Sensors with Diamagnetically Levitated Magnets. Phys. Rev. Appl. 2017, 9, 034002. [Google Scholar] [CrossRef]
- Jackson Kimball, D.F.; Sushkov, A.O.; Budker, D. Precessing Ferromagnetic Needle Magnetometer. Phys. Rev. Lett. 2016, 116, 190801. [Google Scholar] [CrossRef] [PubMed]
- Vinante, A.; Timberlake, C.; Budker, D.; Jackson Kimball, D.F.; Sushkov, A.O.; Ulbricht, H. Surpassing the Energy Resolution Limit with ferromagnetic torque sensors. Phys. Rev. Lett. 2021, 127, 070801. [Google Scholar] [CrossRef]
- Fadeev, P.; Timberlake, C.; Wang, T.; Vinante, A.; Band, Y.B.; Budker, D.; Sushkov, A.O.; Ulbricht, H.; Jackson Kimball, D.F. Ferromagnetic gyroscopes for tests of fundamental physics. Quantum Sci. Technol. 2021, 6, 024006. [Google Scholar] [CrossRef]
- Pino, H.; Prat-Camps, J.; Sinha, K.; Venkatesh, B.P.; Romero-Isart, O. On-chip quantum interference of a superconducting microsphere. Quantum Sci. Technol. 2018, 3, 025001. [Google Scholar] [CrossRef]
- Vinante, A.; Pontin, A.; Rashid, M.; Toroš, M.; Barker, P.F.; Ulbricht, H. Testing collapse models with levitated nanoparticles: Detection challenge. Phys. Rev. A 2019, 100, 012119. [Google Scholar] [CrossRef]
- Wang, T.; Lourette, S.; O’Kelley, S.R.; Kayci, M.; Band, Y.; Kimball, D.F.J.; Sushkov, A.O.; Budker, D. Dynamics of a Ferromagnetic Particle Levitated over a Superconductor. Phys. Rev. Appl. 2019, 11, 044041. [Google Scholar] [CrossRef]
- Gieseler, J.; Kabcenell, A.; Rosenfeld, E.; Schaefer, J.; Safira, A.; Schuetz, M.J.; Gonzalez-Ballestero, C.; Rusconi, C.C.; Romero-Isart, O.; Lukin, M.D. Single-spin magnetomechanics with levitated micromagnets. Phys. Rev. Lett. 2020, 124, 163604. [Google Scholar] [CrossRef] [PubMed]
- Vinante, A.; Falferi, P.; Gasbarri, G.; Setter, A.; Timberlake, C.; Ulbricht, H. Ultralow Mechanical Damping with Meissner-Levitated Ferromagnetic Microparticles. Phys. Rev. Appl. 2020, 13, 064027. [Google Scholar] [CrossRef]
- Landau, L.; Lifshitz, E. Electrodynamics of Continuous Media, 2nd ed.; Pergamon Press: Oxford, UK, 1984; p. 185. [Google Scholar]
- Lin, Q.G. Theoretical development of the image method for a general magnetic source in the presence of a superconducting sphere or a long superconducting cylinder. Phys. Rev. B 2006, 74, 024510. [Google Scholar] [CrossRef]
- Raut, N.K.; Miller, J.; Pate, J.; Chiao, R.; Sharping, J.E. Meissner levitation of a millimeter-size neodymium magnet within a superconducting radio frequency cavity. arXiv 2021, arXiv:2011.03144. [Google Scholar] [CrossRef]
- Nimmrichter, S.; Hornberger, K. Optomechanical sensing of spontaneous wave-function collapse. Phys. Rev. Lett. 2015, 113, 020405. [Google Scholar] [CrossRef]
- Mitchell, M.W.; Alvarez, S.P. Colloquium: Quantum limits to the energy resolution of magnetic field sensors. Rev. Mod. Phys. 2020, 92, 021001. [Google Scholar]
- Palacios Alvarez, S.; Gomez, P.; Coop, S.; Zamora-Zamora, R.; Mazzinghi, C.; Mitchell, M.W. Single-domain Bose condensate magnetometer achieves energy resolution per bandwidth below ℏ. Proc. Natl. Acad. Sci. USA 2022, 119, e2115339119. [Google Scholar] [CrossRef]
- Rashid, M.; Tufarelli, T.; Bateman, J.; Vovrosh, J.; Hempston, D.; Kim, M.S.; Ulbricht, H. Experimental Realization of a Thermal Squeezed State of Levitated Optomechanics. Phys. Rev. Lett. 2016, 117, 05509. [Google Scholar] [CrossRef]
- Aspelmeyer, M.; Kippenberg, T.J.; Marquardt, F. Cavity optomechanics. Rev. Mod. Phys. 2014, 86, 1391. [Google Scholar] [CrossRef]
- Fein, Y.Y.; Geyer, P.; Zwick, P.; Kiałka, F.; Pedalino, S.; Mayor, M.; Gerlich, S.; Arndt, M. Quantum superposition of molecules beyond 25 kDa. Nat. Phys. 2019, 15, 1242–1245. [Google Scholar] [CrossRef]
- Belenchia, A.; Carlesso, M.; Bayraktar, Ö.; Dequal, D.; Derkach, I.; Gasbarri, G.; Herr, W.; Li, Y.L.; Rademacher, M.; Sidhu, J.; et al. Quantum physics in space. Phys. Rep. 2022, 951, 1–70. [Google Scholar] [CrossRef]
- Arvanitaki, A.; Geraci, A.A. Detecting high-frequency gravitational waves with optically levitated sensors. Phys. Rev. Lett. 2013, 110, 071105. [Google Scholar] [CrossRef] [PubMed]
- Pontin, A.; Mourounas, L.S.; Geraci, A.A.; Barker, P.F. Levitated optomechanics with a fiber Fabry–Perot interferometer. New J. Phys. 2018, 20, 023017. [Google Scholar] [CrossRef]
- Qvarfort, S.; Serafini, A.; Barker, P.F.; Bose, S. Gravimetry through non-linear optomechanics. Nat. Commun. 2018, 9, 3690. [Google Scholar] [CrossRef] [PubMed]
- Hebestreit, E.; Frimmer, M.; Reimann, R.; Novotny, L. Sensing static forces with free-falling nanoparticles. Phys. Rev. Lett. 2018, 121, 063602. [Google Scholar] [CrossRef] [PubMed]
- Carney, D.; Krnjaic, G.; Moore, D.C.; Regal, C.A.; Afek, G.; Bhave, S.; Brubaker, B.; Corbitt, T.; Cripe, J.; Crisosto, N.; et al. Mechanical quantum sensing in the search for dark matter. Quantum Sci. Technol. 2021, 6, 024002. [Google Scholar] [CrossRef]
- Carney, D.; Hook, A.; Liu, Z.; Taylor, J.M.; Zhao, Y. Ultralight dark matter detection with mechanical quantum sensors. New J. Phys. 2021, 23, 023041. [Google Scholar] [CrossRef]
- Rider, A.D.; Moore, D.C.; Blakemore, C.P.; Louis, M.; Lu, M.; Gratta, G. Search for Screened Interactions Associated with Dark Energy Below the 100 μm Length Scale. Phys. Rev. Lett. 2016, 117, 101101. [Google Scholar] [CrossRef]
- Carlesso, M.; Bassi, A.; Paternostro, M.; Ulbricht, H. Testing the gravitational field generated by a quantum superposition. New J. Phys. 2019, 21, 093052. [Google Scholar] [CrossRef]
- Carlesso, M.; Paternostro, M.; Ulbricht, H.; Bassi, A. When Cavendish meets Feynman: A quantum torsion balance for testing the quantumness of gravity. Phys. Rev. D 2021, 103, 044056. [Google Scholar]
- Fadeev, P.; Wang, T.; Band, Y.; Budker, D.; Graham, P.W.; Sushkov, A.O.; Kimball, D.F.J. Gravity Probe Spin: Prospects for measuring general-relativistic precession of intrinsic spin using a ferromagnetic gyroscope. Phys. Rev. D 2021, 103, 044056. [Google Scholar] [CrossRef]
- Vinante, A.; Carlesso, M.; Bassi, A.; Chiasera, A.; Varas, S.; Falferi, P.; Margesin, B.; Mezzena, R.; Ulbricht, H. Narrowing the Parameter Space of Collapse Models with Ultracold Layered Force Sensors. Phys. Rev. Lett. 2020, 125, 100404. [Google Scholar] [CrossRef] [PubMed]
- Riedel, C.J. Direct detection of classically undetectable dark matter through quantum decoherence. Phys. Rev. D 2013, 88, 116005. [Google Scholar] [CrossRef]
- Bateman, J.; McHardy, I.; Merle, A.; Morris, T.R.; Ulbricht, H. On the existence of low-mass dark matter and its direct detection. Sci. Rep. 2015, 5, 8058. [Google Scholar] [CrossRef]
- Riedel, C.J.; Yavin, I. Decoherence as a way to measure extremely soft collisions with dark matter. Phys. Rev. D 2017, 96, 023007. [Google Scholar] [CrossRef]
- Bateman, J.; Nimmrichter, S.; Hornberger, K.; Ulbricht, H. Near-field interferometry of a free-falling nanoparticle from a point-like source. Nat. Commun. 2014, 5, 4788. [Google Scholar] [CrossRef]
- Belenchia, A.; Gasbarri, G.; Kaltenbaek, R.; Ulbricht, H.; Paternostro, M. Talbot-Lau effect beyond the point-particle approximation. Phys. Rev. A 2019, 100, 033813. [Google Scholar] [CrossRef]
- Wan, C.; Scala, M.; Morley, G.; Rahman, A.A.; Ulbricht, H.; Bateman, J.; Barker, P.; Bose, S.; Kim, M. Free nano-object Ramsey interferometry for large quantum superpositions. Phys. Rev. Lett. 2016, 117, 143003. [Google Scholar]
- Stickler, B.A.; Papendell, B.; Kuhn, S.; Schrinski, B.; Millen, J.; Arndt, M.; Hornberger, K. Probing macroscopic quantum superpositions with nanorotors. New J. Phys. 2018, 20, 122001. [Google Scholar] [CrossRef]
- Carlesso, M.; Paternostro, M.; Ulbricht, H.; Vinante, A.; Bassi, A. Non-interferometric test of the continuous spontaneous localization model based on rotational optomechanics. New J. Phys. 2018, 20, 083022. [Google Scholar] [CrossRef]
- Millen, J.; Stickler, B.A. Quantum experiments with microscale particles. Contemp. Phys. 2020, 61, 155. [Google Scholar]
- Grossardt, A.; Bateman, J.; Ulbricht, H.; Bassi, A. Optomechanical test of the Schrödinger-Newton equation. Phys. Rev. D 2016, 93, 096003. [Google Scholar] [CrossRef]
- Bassi, A.; Grossardt, A.; Ulbricht, H. Gravitational decoherence. Class. Quantum Gravity 2017, 34, 193002. [Google Scholar] [CrossRef]
- Bahrami, M.; Smirne, A.; Bassi, A. Role of gravity in the collapse of a wave function: A probe into the Diósi-penrose model. Phys. Rev. A 2014, 90, 062105. [Google Scholar] [CrossRef]
- Penrose, R. On Gravity’s role in Quantum State Reduction. Gen. Relativ. Gravit. 1996, 28, 581–600. [Google Scholar] [CrossRef]
- Penrose, R. On the gravitization of quantum mechanics 2: Conformal cyclic cosmology. Found. Phys. 2014, 44, 873–890. [Google Scholar] [CrossRef]
- Diósi, L. Models for universal reduction of macroscopic quantum fluctuations. Phys. Rev. A 1989, 40, 1165. [Google Scholar] [CrossRef]
- Hu, B.L.; Verdaguer, E. Stochastic gravity: Theory and applications. Living Rev. Relativ. 2008, 11, 3. [Google Scholar] [CrossRef]
- Hu, B.L.; Roura, A.; Verdaguer, E. Induced quantum metric fluctuations and the validity of semiclassical gravity. Phys. Rev. D 2004, 70, 044002. [Google Scholar] [CrossRef]
- Roura, A.; Verdaguer, E. Cosmological perturbations from stochastic gravity. Phys. Rev. D 2008, 78, 064010. [Google Scholar] [CrossRef]
- Fröb, M.B.; Roura, A.; Verdaguer, E. One-loop gravitational wave spectrum in de Sitter spacetime. J. Cosmol. Astropart. Phys. 2012, 1208, 009. [Google Scholar] [CrossRef]
- Bose, S.; Mazumdar, A.; Morley, G.W.; Ulbricht, H.; Toroš, M.; Paternostro, M.; Geraci, A.A.; Barker, P.F.; Kim, M.; Milburn, G. Spin entanglement witness for quantum gravity. Phys. Rev. Lett. 2017, 119, 240401. [Google Scholar] [CrossRef] [PubMed]
- Belenchia, A.; Wald, R.M.; Giacomini, F.; Castro-Ruiz, E.; Brukner, Č.; Aspelmeyer, M. Quantum superposition of massive objects and the quantization of gravity. Phys. Rev. D 2018, 98, 126009. [Google Scholar] [CrossRef]
- Belenchia, A.; Benincasa, D.M.; Liberati, S.; Marin, F.; Marino, F.; Ortolan, A. Testing quantum gravity induced nonlocality via optomechanical quantum oscillators. Phys. Rev. Lett. 2016, 116, 161303. [Google Scholar] [CrossRef] [PubMed]
- Belenchia, A.; Benincasa, D.; Marin, F.; Marino, F.; Ortolan, A.; Paternostro, M.; Liberati, S. Tests of Quantum Gravity-Induced Non-Locality: Hamiltonian formulation of a non-local harmonic oscillator. Class. Quantum Gravity 2019, 36, 155006. [Google Scholar]
- Pikovski, I.; Zych, M.; Costa, F.; Brukner, Č. Universal decoherence due to gravitational time dilation. Nat. Phys. 2015, 11, 668–672. [Google Scholar]
- Toroš, M.; Grossardt, A.; Bassi, A. Quantum mechanics for non-inertial observers. arXiv 2017, arXiv:1701.04298. [Google Scholar]
- Roura, A. Gravitational Redshift in Quantum-Clock Interferometry. Phys. Rev. X 2020, 10, 021014. [Google Scholar] [CrossRef]
- Fink, M.; Rodriguez-Aramendia, A.; Handsteiner, J.; Ziarkash, A.; Steinlechner, F.; Scheidl, T.; Fuentes, I.; Pienaar, J.; Ralph, T.C.; Ursin, R. Experimental test of photonic entanglement in accelerated reference frames. Nat. Commun. 2017, 8, 15304. [Google Scholar] [CrossRef]
- Restuccia, S.; Toroš, M.; Gibson, G.M.; Ulbricht, H.; Faccio, D.; Padgett, M.J. Photon bunching in a rotating reference frame. Phys. Rev. Lett. 2019, 123, 110401. [Google Scholar] [CrossRef]
- Toroš, M.; Restuccia, S.; Gibson, G.M.; Cromb, M.; Ulbricht, H.; Padgett, M.; Faccio, D. Revealing and concealing entanglement with noninertial motion. Phys. Rev. A 2020, 101, 043837. [Google Scholar] [CrossRef]
- Milgrom, M. A modification of the Newtonian dynamics as a possible alternative to the hidden mass hypothesis. Astrophys. J. 1983, 270, 365–370. [Google Scholar] [CrossRef]
- Zwicky, F. On the Masses of Nebulae and of Clusters of Nebulae. Astrophys. J. 1937, 86, 217. [Google Scholar] [CrossRef]
- Brouwer, M.M.; Oman, K.A.; Valentijn, E.A.; Bilicki, M.; Heymans, C.; Hoekstra, H.; Napolitano, N.R.; Roy, N.; Tortora, C.; Wright, A.H.; et al. The weak lensing radial acceleration relation: Constraining modified gravity and cold dark matter theories with KiDS-1000. Astron. Astrophys. 2021, 650, A113. [Google Scholar] [CrossRef]
- Milgrom, M. MOND fiducial specific angular momentum of disc galaxies. Phys. Rev. D 2021, 104, 064030. [Google Scholar] [CrossRef]
- Gundlach, J.H.; Schlamminger, S.; Spitzer, C.D.; Choi, K.Y.; Woodahl, B.A.; Coy, J.J.; Fischbach, E. Laboratory test of Newton’s second law for small accelerations. Phys. Rev. Lett. 2007, 98, 150801. [Google Scholar] [CrossRef]
- Little, S.; Little, M. Laboratory test of Newtons law of gravity for small accelerations. Class. Quantum Gravity 2014, 31, 195008. [Google Scholar] [CrossRef]
- Klein, N. Evidence for modified Newtonian dynamics from Cavendish-type gravitational constant experiments. Class. Quantum Gravity 2020, 37, 065002. [Google Scholar] [CrossRef]
- Timberlake, C.; Vinante, A.; Shankar, F.; Lapi, A.; Ulbricht, H. Probing modified gravity with magnetically levitated resonators. Phys. Rev. D 2021, 104, L101101. [Google Scholar] [CrossRef]
- Das, S.; Patitsas, S.N. Can MOND type hypotheses be tested in a free fall laboratory environment? Phys. Rev. D 2013, 87, 107101. [Google Scholar] [CrossRef]


Publisher’s Note: MDPI stays neutral with regard to jurisdictional claims in published maps and institutional affiliations. |
© 2022 by the authors. Licensee MDPI, Basel, Switzerland. This article is an open access article distributed under the terms and conditions of the Creative Commons Attribution (CC BY) license (https://creativecommons.org/licenses/by/4.0/).
Share and Cite
Vinante, A.; Timberlake, C.; Ulbricht, H. Levitated Micromagnets in Superconducting Traps: A New Platform for Tabletop Fundamental Physics Experiments. Entropy 2022, 24, 1642. https://doi.org/10.3390/e24111642
Vinante A, Timberlake C, Ulbricht H. Levitated Micromagnets in Superconducting Traps: A New Platform for Tabletop Fundamental Physics Experiments. Entropy. 2022; 24(11):1642. https://doi.org/10.3390/e24111642
Chicago/Turabian StyleVinante, Andrea, Chris Timberlake, and Hendrik Ulbricht. 2022. "Levitated Micromagnets in Superconducting Traps: A New Platform for Tabletop Fundamental Physics Experiments" Entropy 24, no. 11: 1642. https://doi.org/10.3390/e24111642
APA StyleVinante, A., Timberlake, C., & Ulbricht, H. (2022). Levitated Micromagnets in Superconducting Traps: A New Platform for Tabletop Fundamental Physics Experiments. Entropy, 24(11), 1642. https://doi.org/10.3390/e24111642

