Abstract
In this work we have studied the Shannon information entropy for two hyperbolic single-well potentials in the fractional Schrödinger equation (the fractional derivative number by calculating position and momentum entropy. We find that the wave function will move towards the origin as the fractional derivative number n decreases and the position entropy density becomes more severely localized in more fractional system, i.e., for smaller values of n, but the momentum probability density becomes more delocalized. And then we study the Beckner Bialynicki-Birula–Mycieslki (BBM) inequality and notice that the Shannon entropies still satisfy this inequality for different depth u even though this inequality decreases (or increases) gradually as the depth u of the hyperbolic potential (or ) increases. Finally, we also carry out the Fisher entropy and observe that the Fisher entropy increases as the depth u of the potential wells increases, while the fractional derivative number n decreases.
Keywords:
hyperbolic potential well; fractional Schrödinger equation; Shannon entropy; Fisher entropy PACS:
03. 67. -w; 03. 67.-a
1. Introduction
Quantum information entropy has been studied widely since Shannon proposed the classical concept in 1948 [1,2,3,4,5,6,7,8,9,10,11,12,13,14,15,16,17,18,19,20,21,22,23,24,25,26,27,28,29,30,31]. This is because the Shannon entropy as a measure of uncertainty is a generalization to the traditional Heisenberg relation. It should be recognized that all the contributions to this topic are concerned with the traditional Schrödinger equation, i.e., the fractional derivative number n is taken as an integer 2. That is to say, this research has been widely applied in many fields such as Harper model [27], complex quasi-periodic potential models [28] and the nanoelectronic dispositives [32]. Since the pioneering work on the fractional Schrödinger equation by the Laskin and others [30,33,34,35], however, this topic has attracted attention to many authors [36,37,38,39,40,41,42,43,44,45]. This is because the fractional Schrödinger equation can exhibit some quantum effects on quantum quantities due to the fractional derivative number n. For instance, the typical applications of fractional calculus in quantum mechanics include the energy band structures [36], the position-dependent mass fractional Schrödinger equation [37], the fractional harmonic oscillator [38], the nuclear dynamics of molecular ion [39], the propagation dynamics of light beams [40], the spatial soliton propagation [41], the Rabi oscillations [42], the self focusing and wave collapse [43] and others.
As mentioned above, the Shannon information entropy has been studied for many quantum soluble potentials. Based on their analytical wave functions, it is not difficult to calculate the wave function in the momentum space by studying the traditional Fourier transformation. Among these soluble potentials, the hyperbolic potentials have played an important role in semiconductor physics, e.g., the development of related research on graphene [14,46,47,48,49]. Nevertheless, a number of quantum systems cannot be solved analytically except for numerical study. Stimulated by our previous work [30,45], we are going to study the quantum information entropy for hyperbolic potentials in the time-independent fractional Schrödinger equation. The hyperbolic potential wells, which belong to single-well potentials with a minimum value u, are defined as [29,50]
Up to now, due to the computational complexity of quantum information of the fractional Schrödinger equation including the calculation of the wave function and the Fourier transform, almost all authors have paid attention to the quantum information of the traditional Schrödinger equation, i.e., the derivative number except for our previous study [45], in which was taken. In that work [45], we have carried out the quantum information entropies of multiple quantum well systems in fractional Schrödinger equations. Recently, we have studied the Shannon entropy of the traditional () Schrödinger equation [29] with these two potentials (1) as shown in Figure 1, but we do not show how the fractional derivative n affects the wave function and the relevant physical quantities such as the position and momentum probability density as well as the Shannon entropy. Moreover, in the present study we will display their behaviours through taking the noninteger , which is different from our previous study taken in Ref. [45]. Certainly, we will see that the calculation results would become not ideal when n is taken too small. On the other hand, in order to compare with the global characteristic of Shannon entropy, it is necessary to study the locality of Fisher entropy.
Figure 1.
Plot of single quantum wells (multiplied by a unit ) as a function of variable x with a depth of potential well .
This work is organized as follows. In Section 2 we present the formalism to solve a fractional Schrödinger equation system in numerical way for hyperbolic potentials (). In Section 3 we present the obtained results including the wave functions of hyperbolic potential wells, the position and momentum entropy densities and the position and momentum Shannon entropies by varying the depth u of the potential wells. Furthermore, we show the characteristics of the 11th excited state case except for the ground, first, second and sixth states. In particular, we show how the fractional derivative number n affects their physical features. Finally, to compare with the Shannon entropy, we also study the Fisher entropy. In Section 4 we summarize our conclusions.
2. Formalism
Let us start with the one dimensional fractional Schrödinger equation
where the fractional derivative with a noninteger number n is defined as follows:
The E and represent the eigenvalues and the eigenfunctions, respectively.
To solve this Equation (2), we have to use a numerical method to calculate the fractional derivative. Let us define
where , then one has
Now, the fractional centered difference is defined by
In this way, we have
When h tends to 0, then becomes the fractional derivative for . Now, we can rewrite Equation (2) as,
This matrix eigenvalue problem can be diagonalized by the available routine libraries [51].
After solving this equation, the eigenfunction can be obtained by this way. As shown in Figure 2, we notice that the wave function will move towards the origin as the fractional derivative number n decreases and the crest of the wave functions rises up gradually. This makes the wave function localized near the origin.
Figure 2.
The normalized wave functions as a function of position x for single-well potentials (see Panel (a)) and (Panel (b)), respectively. The solid blue line, red dotted line and green dashed line denote the ground state, the 1st and 2nd excited states, respectively. The noninteger n is taken as , respectively.
Once the wave function is obtained, then the Shannon information entropy densities and can be calculated as,
where the wave function in the momentum space can be calculated by the Fourier transformation
For the present study, however, we have to use the fast Fourier method to obtain the integrals numerically.
Based on them (9), the Shannon information entropies for position and momentum can be calculated respectively by
For the sum of the position and momentum entropy and , Beckner, Bialynicki-Birula and Mycieslky found an important uncertainly relation [52,53]
where D stands for the spatial dimension ( here). This inequality implies that if the momentum entropy increases then the position entropy will decrease and vice versa.
Before ending this section, let us consider the Fisher information. Its importance was noticed by Sears et al. [54], who found that the kinetic energy could be considered as a measure of the information distribution. To know its wide applications, the reader can refer to our recent study [55] for more information. It should be pointed out that the local character of Fisher entropy is a main difference compared with Shannon information. The Fisher entropy is defined as an expectation value of the logarithmic gradient of density or as the gradient functional of density, i.e., its explicit definition is given by [56]
where the probability density is defined as .
3. Results and Discussions
We are now in the position to present the results of this work. Motivated by our recent study about Shannon entropy in multiple well quantum well system in fractional Schrödinger equations [45], we present the normalized wave function, the position and momentum entropy densities and as well as the Shannon entropy. For simplicity, we show the results for the ground, the first, second, sixth excited states and much higher excited 11-th state. As shown in Figure 3 and Figure 4, we show the variation of the position and momentum entropy density as functions of the variables x and p, respectively. The ground, the first, second and sixth excited states are denoted by solid blue line, red dotted line, green dashed line and black dash-dotted line, respectively. Likewise, the values of noninteger n are taken as , respectively. It is found that the position entropy density becomes more localized but the momentum entropy density is more delocalized as the noninteger n decreases. For example, the crest of the wave function for the ground state decreases gradually but those for the excited states increase gradually with the decreasing n. However, for the case of momentum entropy density as shown in Figure 4, the crest of the wave function for the ground state decreases gradually as the n decreases.
Figure 3.
Plots of the position entropy density as a function of the position x for potential wells (Panel (a)) and (Panel (b)). For each panel, Panels (a–d) are plotted for different values of noninteger n, say , respectively. The ground state, the first, second and sixth excited states are denoted by solid blue line, red dotted line, green dashed line and black dash-dotted line, respectively.
Figure 4.
Same as above Figure 3 but for the momentum p case for the potentials .
In addition, we study the position and momentum entropy densities for higher excited states, say 11-th excited state, as shown in Figure 5 and Figure 6. It is found that the crest of position entropy density gradually becomes larger as the noninteger n decreases, but it is contrary to the momentum entropy density except that the position and momentum entropy density becomes more localized and delocalized, respectively.
Figure 5.
Plots of position entropy density for normalized 11-th excited state for potential wells (see Panel (a)) and (see Panel (b)). For each Panel, Panels (a–d) are plotted for different values of n.
Figure 6.
Same as Figure 5 but for the momentum entropy density.
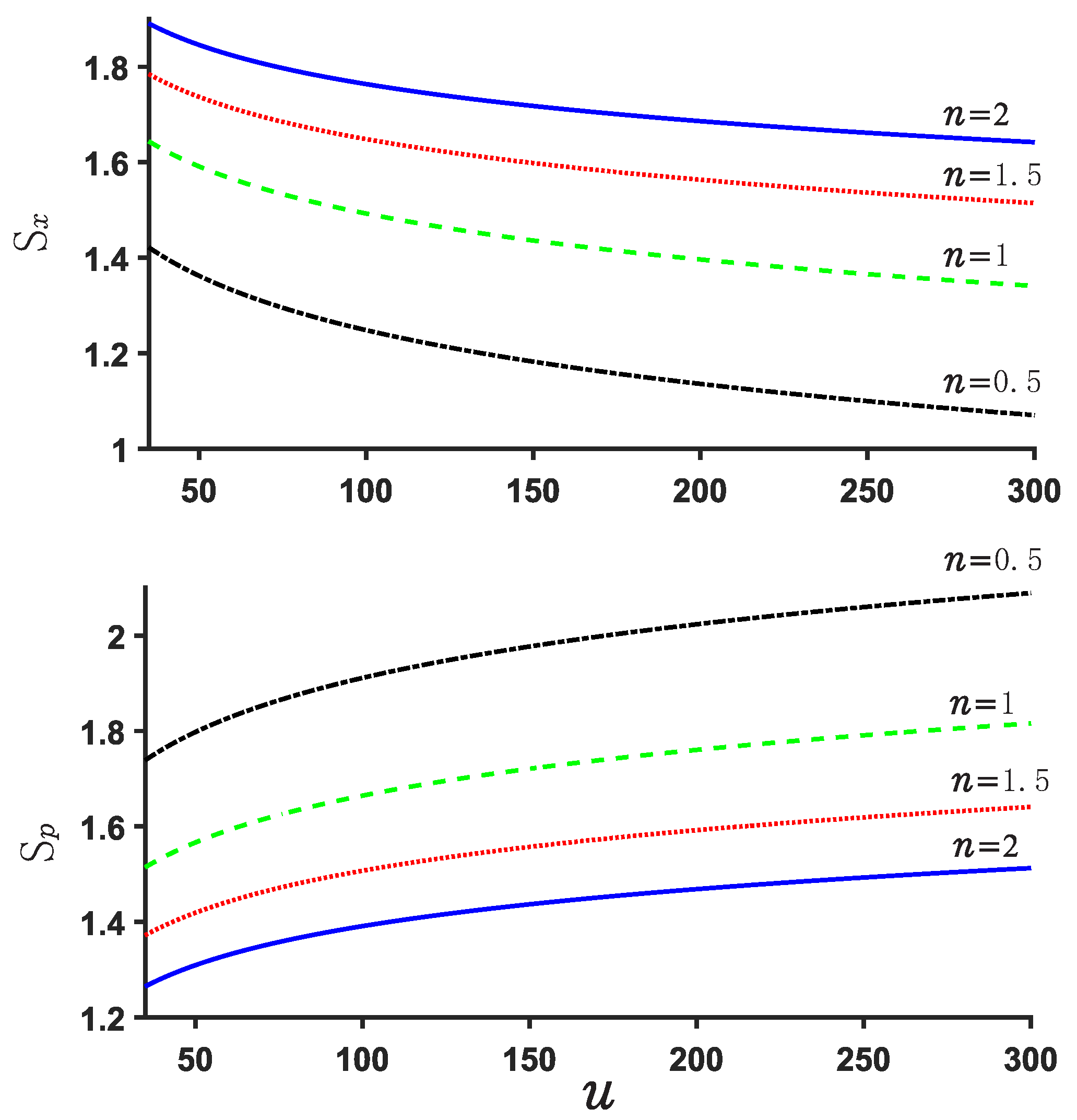
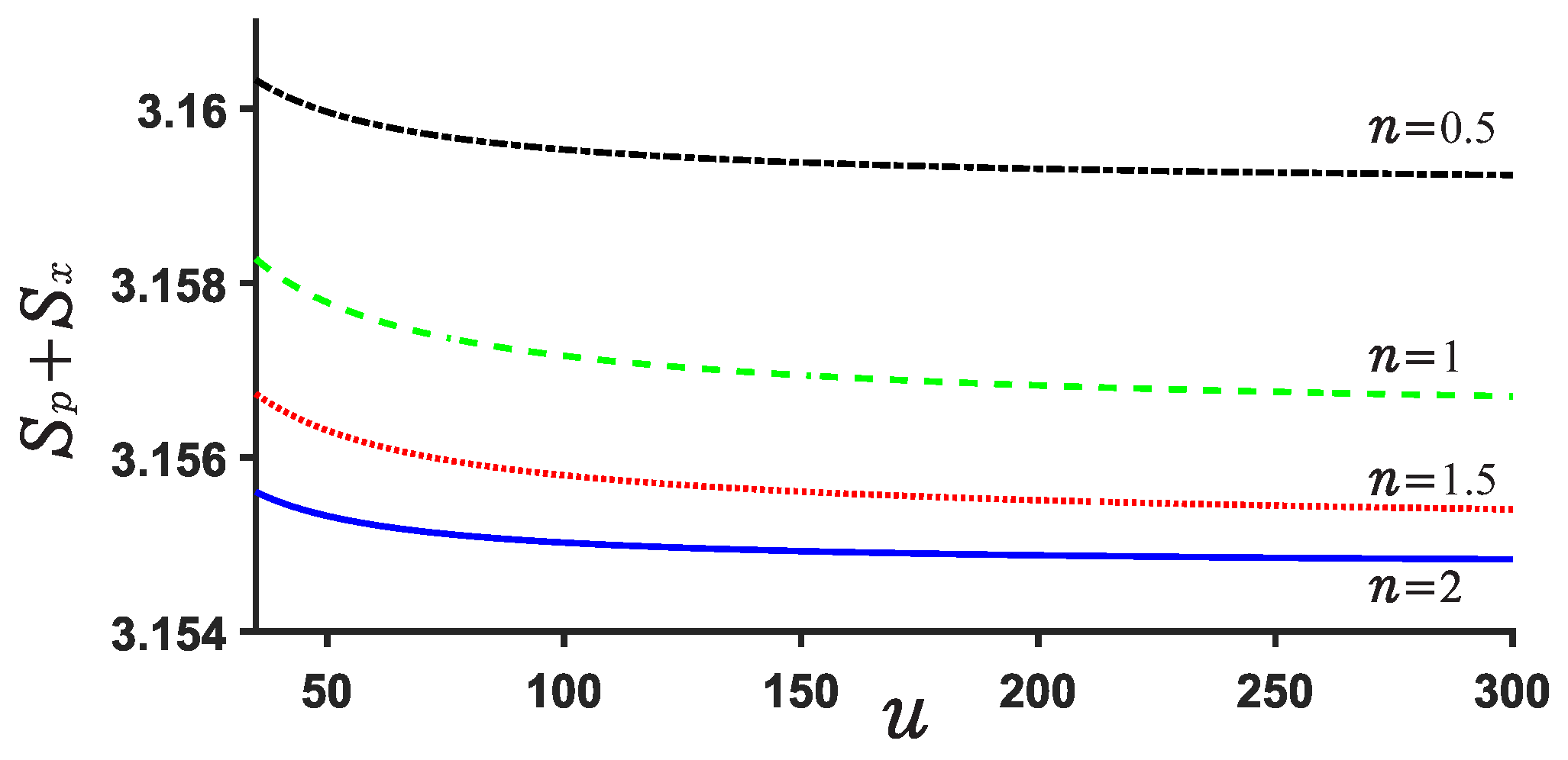
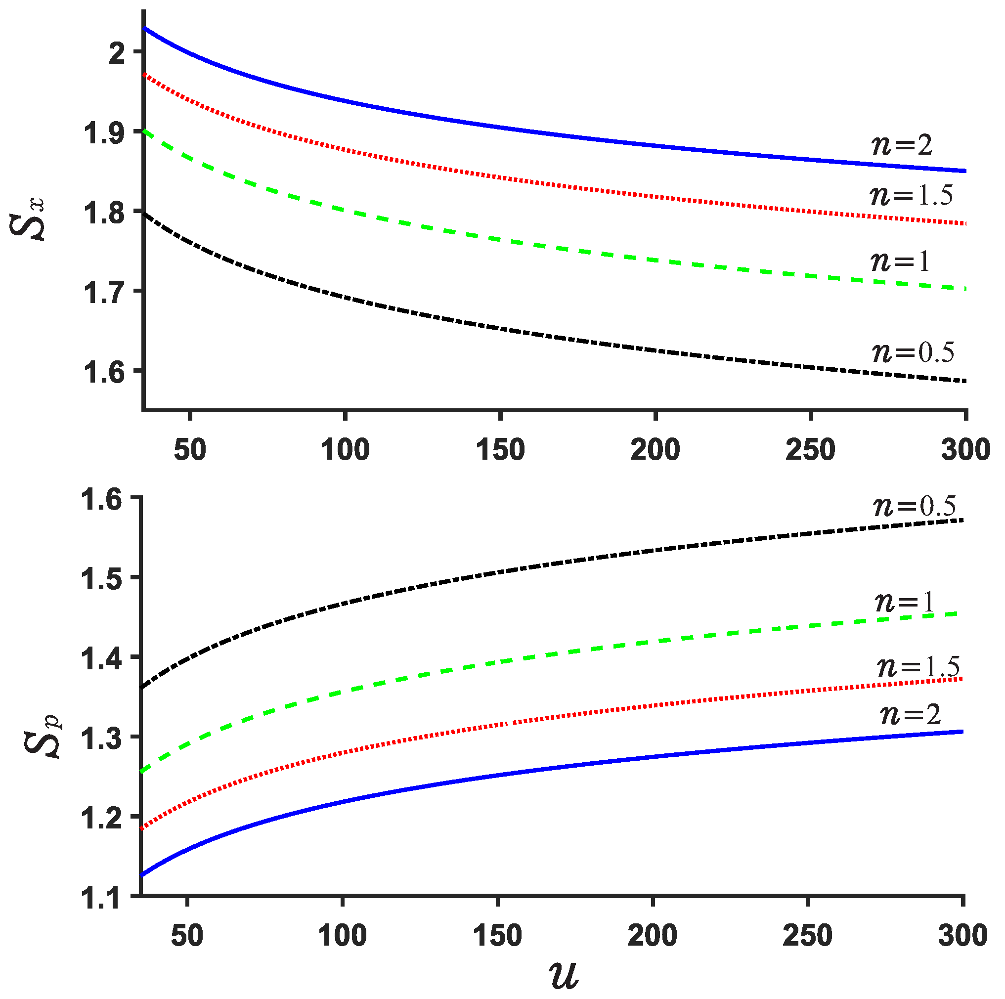
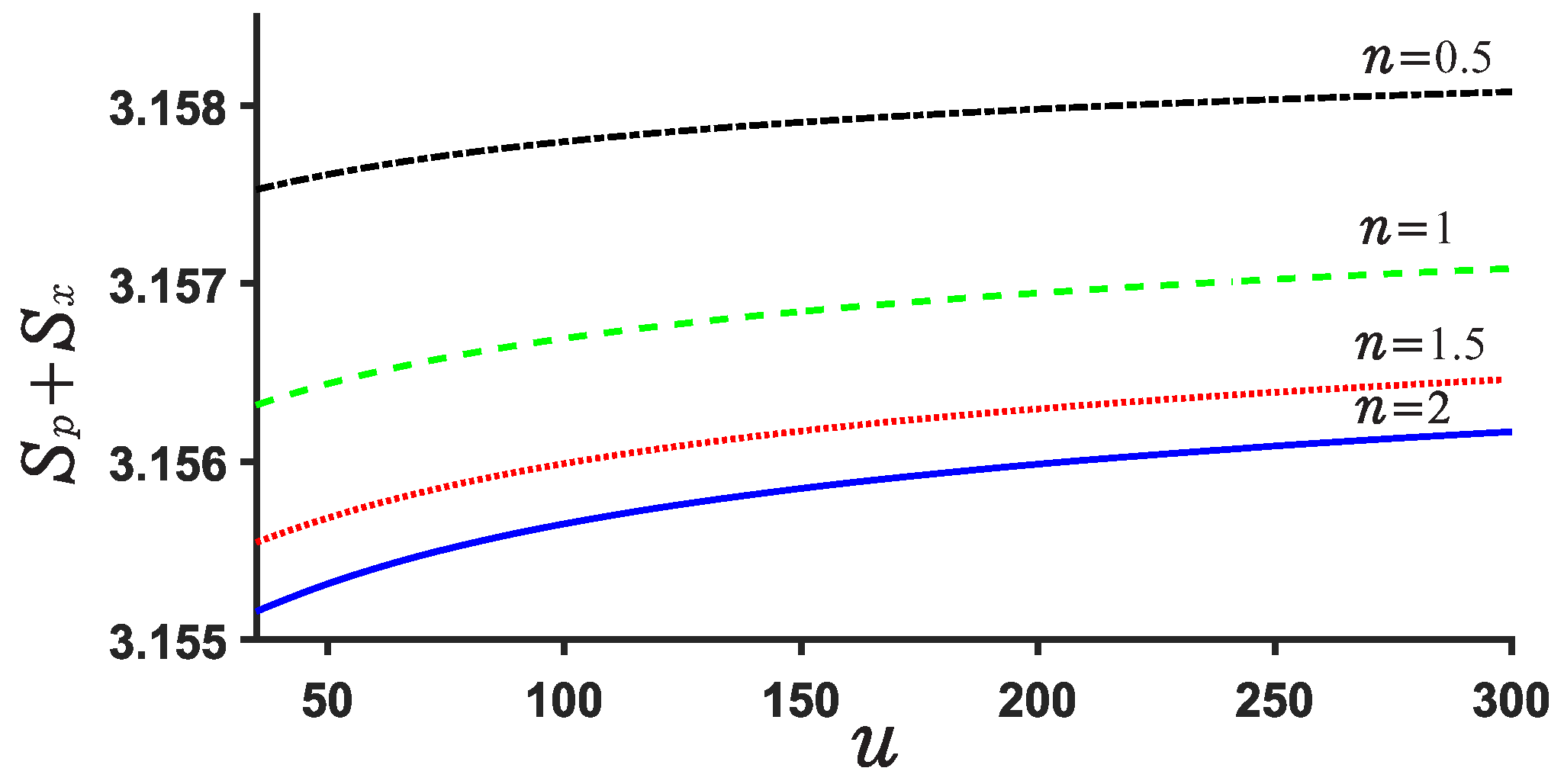
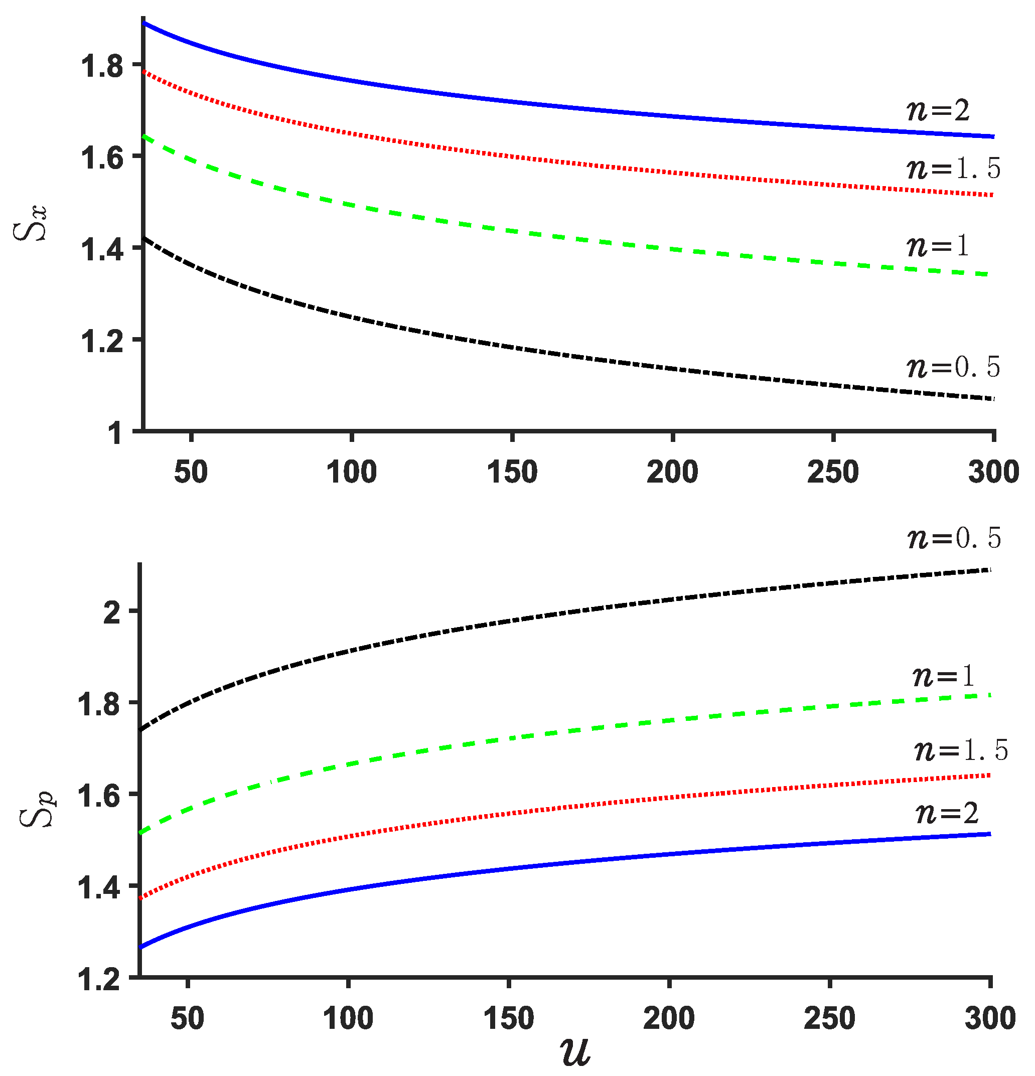
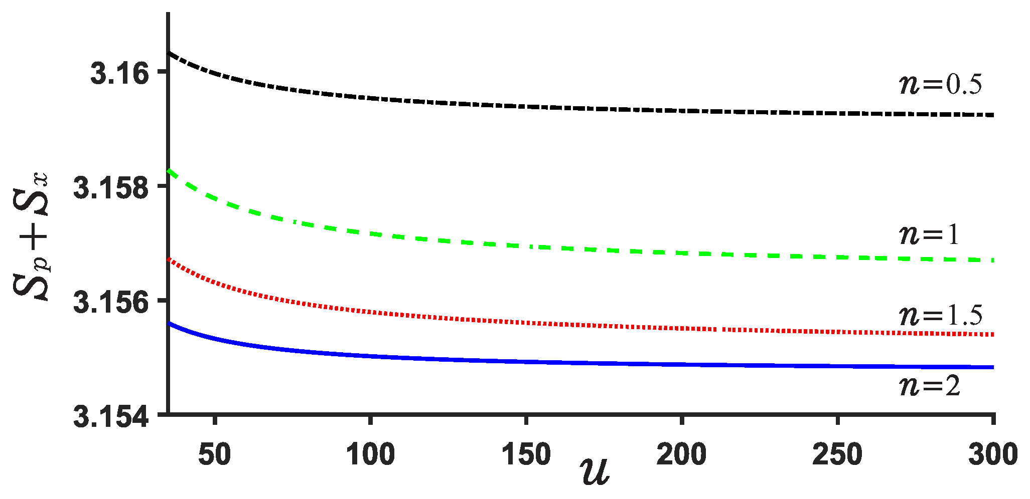
Now, we explore the Beckner Bialynicki-Birula–Mycieslki inequality. This inequality is still satisfied for both potential . This can be verified by Figure 7, Figure 8, Figure 9 and Figure 10. Figure 7 and Figure 9 show the position and momentum entropy and as a function of the depth u for the potential wells . For simplicity, we consider the ground state for two potentials. We notice that the position entropy decreases with increasing depth u of the potential well but decreasing noninteger n, but the momentum entropy is contrary to that of case. In Figure 8 we observe the sum for decreases with the depth u of the potential well, while that of case increases with depth u. This implies that the sum for will become more stable than that of case when the depth u increases. Certainly, their sum always remains above the minimum value of the value . On the other hand, we notice from Figure 8 and Figure 10 that the difference of the sums for various n is very small and the sum is always around 3.15.
Figure 7.
position and momentum entropy and for different n. We consider the ground state here.
Figure 8.
Sum of position and momentum entropy for different values of n and u in the case . The ground state is considered.
Figure 9.
Position and momentum entropy and for various n in the case .
Figure 10.
Sum of position and momentum entropy for various n and u for .
Finally, let us show the plots of the Fisher entropy as a function of the depth u of the potentials. As shown in Figure 11, we observe that the Fisher entropy increases with the increasing u but with the decreasing n for both potentials . The Fisher entropy for is greater than that of the . This can be explained well by the shape of the potentials since the potential is narrower than .
Figure 11.
Plots of the Fisher entropy as a function of the depth u for the potentials and .
4. Concluding Remarks
In this work we have carried out a class of hyperbolic potentials within the frame of time-independent fractional Schrödinger equation and verified that the BBM inequality is still satisfied for the different fractional derivative number n. We have shown how this number n affects the wave function, the entropy density, Shannon entropy in the position and momentum space. We have noticed that the position and momentum entropy density becomes more localized and delocalized, respectively as the noninteger n decreases. On the other hand, we have noted that the decreases as the depth u of the potential wells increases and the noninteger n decreases, but it is contrary to the momentum case. Finally, we have shown that the sum of entropy for will become more stable than that of case when the depth u increases. This is determined by the shape of the potential wells as shown in Figure 1. This is because potential well for becomes narrower than that of . The motion of particles in potential well is more restricted than that in potential well . Finally, we have also carried out the Fisher entropy and observed that the Fisher entropy increases as the depth u of the potential wells increases and the n decreases.
Author Contributions
Conceptualization, S.-H.D.; Data curation, R.S.-C. and E.M.-E.; Formal analysis, E.M.-E. and S.-H.D.; Funding acquisition, G.-H.S. and S.-H.D.; Investigation, R.S.-C., G.-H.S. and S.-H.D.; Methodology, R.S.-C. and S.-H.D.; Project administration, S.-H.D.; Resources, R.S.-C.; Software, R.S.-C., J.S.G.-F., E.M.-E. and S.-H.D.; Supervision, G.-H.S. and S.-H.D.; Validation, G.-H.S. and S.-H.D.; Visualization, R.S.-C., J.S.G.-F., E.M.-E. and S.-H.D.; Writing—original draft, R.S.-C.; Writing—review & editing, L.F.Q. and S.-H.D. All authors have read and agreed to the published version of the manuscript.
Funding
This work is supported partially by the 20220355-SIP-IPN and 20220865-SIP-IPN, Mexico.
Institutional Review Board Statement
Not applicable.
Data Availability Statement
Not applicable.
Acknowledgments
We would like to thank the referees for making invaluable and positive suggestions which have improved the manuscript greatly. We are grateful to M. Solaimani for sharing his program with us.
Conflicts of Interest
The authors declare no conflict of interest.
References
- Shannon, C.E. A Mathematical Theory of Communication. Bell Syst. Tech. J. 1948, 27, 379. [Google Scholar] [CrossRef]
- Dehesa, J.S.; Martinez-Finkelshtein, A.; Sorokin, V.N. Information-theoretic measures for Morse and Pöschl-Teller potentials. Mol. Phys. 2006, 104, 613. [Google Scholar] [CrossRef]
- Aydiner, E.; Orta, C.; Sever, R. Quantum information entropies of the eigenstates of the Morse potential. Int. J. Mod. Phys. B 2008, 22, 231. [Google Scholar] [CrossRef]
- Yañez, R.J.; van Assche, W.; Dehesa, J.S. Position and momentum information entropies of the D-dimensional harmonic oscillator and hydrogen atom. Phys. Rev. A 1994, 50, 3065. [Google Scholar] [CrossRef] [PubMed]
- Majernik, V.; Opatrny, T. Entropic uncertainty relations for a quantum oscillator. J. Phys. A 1996, 29, 2187. [Google Scholar] [CrossRef]
- Coffey, M.W. Semiclassical position and momentum information entropy for sech2 and a family of rational potentials. Can. J. Phys. 2007, 85, 733. [Google Scholar] [CrossRef]
- Patil, S.H.; Sen, K.D. Net information measures for modified Yukawa and Hulthén potentials. Int. J. Quantum Chem. 2007, 107, 1864. [Google Scholar] [CrossRef]
- Sun, G.H.; Dong, S.H. Quantum information entropies of the eigenstates for a symmetrically trigonometric Rosen-Morse potential. Phys. Scr. 2013, 87, 045003. [Google Scholar] [CrossRef]
- Yañez-Navarro, G.; Sun, G.H.; Dytrich, T.; Launey, K.D.; Dong, S.H.; Draayer, J.P. Quantum information entropies for position-dependent mass Schrödinger problem. Ann. Phys. 2014, 348, 153. [Google Scholar] [CrossRef]
- Hazra, R.K.; Ghosh, M.; Bhattacharyya, S.P. Information entropy and level-spacing distribution based signatures of quantum chaos in electron doped 2D single carrier quantum dots. Chem. Phys. Lett. 2008, 460, 209. [Google Scholar] [CrossRef]
- Sun, G.H.; Dong, S.H.; Launey, K.D.; Dytrych, T.; Draayer, J.P. Shannon information entropy for a hyperbolic double-well potential. Int. J. Quantum Chem. 2015, 115, 891. [Google Scholar] [CrossRef]
- Majernik, V.; Majernikova, E. Standard and entropic uncertainty relations of the finite well. J. Phys. A 2002, 35, 5751. [Google Scholar]
- Song, X.D.; Sun, G.H.; Dong, S.H. Shannon information entropy for an infinite circular well. Phys. Lett. A 2015, 379, 1402. [Google Scholar] [CrossRef]
- Sun, G.H.; Popov, D.; Camacho-Nieto, O.; Dong, S.H. Shannon information entropies for position-dependent mass Schrödinger problem with a hyperbolic well. Chin. Phys. B 2015, 24, 100303. [Google Scholar]
- Sun, G.H.; Dong, S.H.; Saad, N. Quantum information entropies for an asymmetric trigonometric Rosen-Morse potential. Ann. Phys. 2013, 525, 934. [Google Scholar] [CrossRef]
- Sun, G.H.; Aoki, M.A.; Dong, S.H. Quantum information entropies of the eigenstates for the Pöschl-Teller-like potential. Chin. Phys. B 2013, 22, 050302. [Google Scholar] [CrossRef]
- Song, X.D.; Dong, S.H.; Zhang, Y. Quantum information entropy for one-dimensional system undergoing quantum phase transition. Chin. Phys. B 2016, 25, 050302. [Google Scholar] [CrossRef]
- Angulo, J.C.; Antolin, J.; Zarzo, A.; Cuchi, J.C. Maximum-entropy technique with logarithmic constraints: Estimation of atomic radial densities. Eur. Phys. J. D 1999, 7, 479. [Google Scholar] [CrossRef]
- Orlowski, A. Information entropy and squeezing of quantum fluctuations. Phys. Rev. A 1997, 56, 2545. [Google Scholar] [CrossRef]
- Salazar, S.J.C.; Laguna, H.G.; Prasad, V.; Sagar, R.P. Shannon-information entropy sum in the confined hydrogenic atom. Int. J. Quantum Phys. 2020, 120, e26188. [Google Scholar] [CrossRef]
- Ikot, A.N.; Rampho, G.J.; Amadi, P.O.; Okorie, U.S.; Sithole, M.J.; Lekala, M.L. Theoretic quantum information entropies for the generalized hyperbolic potential. Int. J. Quantum Phys. 2020, 120, e26410. [Google Scholar] [CrossRef]
- Onate, C.A.; Onyeaju, M.C.; Abolarinwa, A.; Lukman, A.F. Analytical determination of theoretic quantities for multiple potential. Sci. Rep. 2020, 10, 17542. [Google Scholar] [CrossRef] [PubMed]
- Salazar, S.J.C.; Laguna, H.G.; Dahiya, B.; Prasad, V.; Sagar, R.P. Shannon information entropy sum of the confined hydrogenic atom under the influence of an electric field. Eur. Phys. J. D 2021, 75, 127. [Google Scholar] [CrossRef]
- Dehesa, J.S.; Belega, E.D.; Toranzo, I.V.; Aptekarev, A.I. The Shannon entropy of high-dimensional hydrogenic and harmonic systems. Int. J. Quantum Chem. 2019, 119, e25977. [Google Scholar] [CrossRef]
- Mukherjee, N.; Roy, A.K. Information-entropic measures in free and confined hydrogen atom. Int. J. Quantum Chem. 2018, 118, e25596. [Google Scholar] [CrossRef]
- Ghosal, A.; Mukherjee, N.; Roy, A.K. Information entropic measures of a quantum harmonic oscillator in symmetric and asymmetric confinement within an impenetrable box. Ann. Phys. 2016, 528, 796. [Google Scholar] [CrossRef]
- Zhang, L.; Gong, L.Y.; Tong, P.Q. The geometric mean density of states and its application to one-dimensional nonuniform systems. Eur. Phys. J. B 2011, 80, 485. [Google Scholar] [CrossRef]
- Hiramoto, H.; Kohmoto, M. New Localization in a Quasiperiodic System. Phys. Rev. Lett. 1989, 62, 2714. [Google Scholar] [CrossRef]
- Gil-Barrera, C.A.; Santana-Carrillo, R.; Sun, G.H.; Dong, S.H. Quantum Information Entropies on Hyperbolic Single Potential Wells. Entropy 2022, 24, 604. [Google Scholar] [CrossRef]
- Santana-Carrillo, R.; Dong, Q.; Sun, G.H.; Silva-Ortigoza, R.; Dong, S.H. Shannon entropy of asymmetric rectangular multiple well with unequal width barrier. Results Phys. 2022, 33, 105109. [Google Scholar] [CrossRef]
- Shi, Y.J.; Sun, G.H.; Tahir, F.; Ahmadov, A.I.; He, B.; Dong, S.H. Quantum information measures of infinite spherical well. Mod. Phys. Lett. A 2018, 16, 1850088. [Google Scholar] [CrossRef]
- Sarma, S.D.; He, S.; Xie, X.C. Mobility Edge in a Model One-Dimensional Potential. Phys. Rev. Lett. 1988, 61, 2144. [Google Scholar] [CrossRef] [PubMed]
- Laskin, N. Fractional quantum mechanics. Phys. Rev. E 2000, 63, 3135. [Google Scholar] [CrossRef] [PubMed]
- Kilbas, A.A.; Srivastava, H.M.; Trujillo, J.J. Theory and Applications of Fractional Differential Equations; Elsevier Science Ltd.: Amsterdam, The Netherlands, 2006. [Google Scholar]
- Celik, C.; Duman, M. Crank-Nicolson method for the fractional diffusion equation with the Riesz fractional derivative. J. Comput. Phys. 2012, 231, 1743. [Google Scholar] [CrossRef]
- Jumarie, G. Fractional Differential Calculus for Non-Differentiable Functions: Mechanics, Geometry, Stochastics, Information Theory; LAP LAMBERT Academic Publishing: Saarbrucken, Germany, 2013. [Google Scholar]
- Dong, J.P.; Xu, M.Y. Some solutions to the space fractional Schrödinger equation using momentum representation method. J. Math. Phys. 2007, 48, 072105. [Google Scholar] [CrossRef]
- El-Nabulsi, R.A. Some implications of position-dependent mass quantum fractional Hamiltonian in quantum mechanics. Eur. Phys. J. Plus 2019, 134, 192. [Google Scholar] [CrossRef]
- Kirichenko, E.V.; Stephanovich, V.A. Confinement of Lévy flights in a parabolic potential and fractional quantum oscillator. Phys. Rev. E 2018, 98, 052127. [Google Scholar] [CrossRef]
- Medina, L.Y.; Núñez-Zarur, F.; Pérez-Torres, J.F. Nonadiabatic effects in the nuclear probability and flux densities through the fractional Schrödinger equation. Int. J. Quantum Chem. 2019, 119, e25952. [Google Scholar] [CrossRef]
- Zhang, Y.; Liu, X.; Belic, M.R.; Zhong, W. Propagation Dynamics of a Light Beam in a Fractional Schrödinger Equation. Phys. Rev. Lett. 2015, 115, 180403. [Google Scholar] [CrossRef]
- Ghalandari, M.; Solaimani, M. Wave transport in fractional Schrödinger equations. Opt. Quantum Electron. 2019, 51, 303. [Google Scholar] [CrossRef]
- Zhang, Y.; Wang, R.; Zhong, H.; Zhang, J. Resonant mode conversions and Rabi oscillations in a fractional Schrödinger equation. Opt. Expr. 2017, 25, 32401. [Google Scholar] [CrossRef]
- Chen, M.; Zeng, S.; Lu, D.; Hu, W.; Guo, Q. Optical solitons, self-focusing, and wave collapse in a space-fractional Schrödinger equation with a Kerr-type nonlinearity. Phys. Rev. E 2018, 98, 022211. [Google Scholar] [CrossRef] [PubMed]
- Solaimani, M.; Dong, S.H. Quantum Information Entropies of Multiple Quantum Well Systems in Fractional Schrödinger Equations. Int. J. Quantum Chem. 2020, 120, e26113. [Google Scholar] [CrossRef]
- Hartmann, R.R.; Robinson, N.J.; Portnoi, M.E. Smooth electron waveguides in graphene. Phys. Rev. B 2010, 81, 245431. [Google Scholar] [CrossRef]
- Downing, C.A.; Portnoi, M.E. One-dimensional Coulomb problem in Dirac materials. Phys. Rev. A 2014, 90, 052116. [Google Scholar] [CrossRef]
- Hartmann, R.R.; Portnoi, M.E. Quasi-exact solution to the Dirac equation for the hyperbolic-secant potential. Phys. Rev. A 2014, 89, 012101. [Google Scholar] [CrossRef]
- Hassanabadi, H.; Zarrinkamar, S.; Yazarloo, B.H. The nonrelativistic oscillator strength of a hyperbolic-type potential. Chin. Phys. B 2013, 22, 060202. [Google Scholar] [CrossRef]
- Wang, X.H.; Chen, C.Y.; You, Y.; Lu, F.L.; Sun, D.S.; Dong, S.H. Exact solutions of the Schrödinger equation for a class of hyperbolic potential well. Chin. Phys. B 2022, 31, 040301. [Google Scholar] [CrossRef]
- Press, W.H.; Teukolsky, S.A.; Vetterling, W.T.; Flanner, B.P. Numerical Recipes, 3rd ed.; Cambridge University Press: Cambridge, UK; New York, NY, USA, 2007. [Google Scholar]
- Beckner, W. Inequalities in Fourier Analysis. Ann. Math. 1975, 102, 159. [Google Scholar] [CrossRef]
- Bialynicki-Birula, I.; Mycielski, J. Uncertainty relations for information entropy in wave mechanics. Commun. Math. Phys. 1975, 44, 129. [Google Scholar] [CrossRef]
- Sears, S.B.; Parr, R.G.; Dinur, U. On the Quantum-Mechanical Kinetic Energy as a Measure of the Information in a Distribution. Isr. J. Chem. 1980, 19, 165. [Google Scholar]
- Falaye, B.J.; Serrano, F.A.; Dong, S.H. Fisherinformation for the position-dependent mass Schrödinger system. Phys. Lett. A 2016, 380, 267. [Google Scholar] [CrossRef]
- Fisher, R.A. Theory of statistical estimation. Math. Proc. Camb. Philos. Soc. 1925, 22, 700. [Google Scholar] [CrossRef]
Publisher’s Note: MDPI stays neutral with regard to jurisdictional claims in published maps and institutional affiliations. |
© 2022 by the authors. Licensee MDPI, Basel, Switzerland. This article is an open access article distributed under the terms and conditions of the Creative Commons Attribution (CC BY) license (https://creativecommons.org/licenses/by/4.0/).










