Flows of Substances in Networks and Network Channels: Selected Results and Applications
Abstract
1. Short Overview of Selected Areas of Research on Flows in Networks
2. Models of Network Flows Containing Differential Equations
3. Differential and Difference Equations for Modeling Flows in Channels of Networks: Selected Results
3.1. Flow of a Substance in a Channel Constructed from Arms with an Infinite Number of Nodes Each
3.2. Model of a Flow in a Channel of a Network Based on Difference Equations
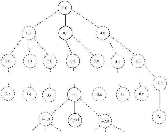
4. Connection between the Theory of Flows in Networks and the Theory of Growth of Random Networks
5. Concluding Remarks
Funding
Institutional Review Board Statement
Conflicts of Interest
References
- Ford, L.D., Jr.; Fulkerson, D.R. Flows in Networks; Princeton University Press: Princeton, NJ, USA, 1962; ISBN 0-691-07962-5. [Google Scholar]
- Boykov, Y.; Veksler, O.; Zabih, R. Fast Approximate Energy Minimization via Graph Cuts. IEEE Trans. Pattern Anal. Mach. Intell. 2001, 23, 1222–1239. [Google Scholar] [CrossRef]
- Boykov, Y.; Funka-Lea, G. Graph Cuts and Efficient N-D Image Segmentation. Int. J. Comput. Vis. 2006, 70, 109–131. [Google Scholar] [CrossRef]
- Cheung, G.; Magli, E.; Tanaka, Y.; Ng, M.K. Graph Spectral Image Processing. Proc. IEEE 2018, 106, 907–930. [Google Scholar] [CrossRef]
- Kolmogorov, V.; Zabih, R. Computing Visual Correspondence with Occlusions Using Graph Cuts. In Proceedings of the Eighth IEEE International Conference on Computer Vision, ICCV 2001, Vancouver, BC, Canada, 7–14 July 2001; Volume 2, pp. 508–515. [Google Scholar] [CrossRef]
- Kernighan, B.W.; Lin, S. An Efficient Heuristic Procedure for Partitioning Graphs. Bell Syst. Tech. J. 1970, 49, 291–307. [Google Scholar] [CrossRef]
- Zachary, W. An information Flow Model for Conflict and Fission in Small Groups. J. Anthropol. Res. 1977, 33, 452–473. [Google Scholar] [CrossRef]
- White, H.C.; Boorman, S.A.; Breiger, R.L. Social Structure from Multiple Networks. I. Blockmodels of Roles and Positions. Am. J. Sociol. 1976, 81, 730–780. [Google Scholar] [CrossRef]
- Mason, W.A.; Conrey, F.R.; Smith, E.R. Situating Social Influence Processes: Dynamic, Multidirectional Flows of Influence Within Social Networks. Personal. Soc. Psychol. Rev. 2007, 11, 279. [Google Scholar] [CrossRef] [PubMed]
- Liu, T.; Ceder, A.A. Battery-Electric Transit Vehicle Scheduling with Optimal Number of Stationary Chargers. Transp. Res. Part Emerg. Technol. 2020, 114, 118–139. [Google Scholar] [CrossRef]
- Darvishan, A.; Lim, G.J. Dynamic Network Flow Optimization for Real-Time Evacuation Reroute Planning Under Multiple Road Disruptions. Reliab. Eng. Syst. Saf. 2021, 214, 107644. [Google Scholar] [CrossRef]
- Dhamala, T.N.; Pyakurel, U.; Dempe, S. A Critical Survey on the Network Optimization Algorithms for Evacuation Planning Problems. Int. J. Oper. Res. 2018, 15, 101–133. [Google Scholar] [CrossRef]
- Pyakurel, U.; Dempe, S. Universal Maximum Flow with Intermediate Storage for Evacuation Planning. In Dynamics of Disasters; Kotsireas, I.S., Nagurney, A., Pardalos, P.M., Tsokas, A., Eds.; Springer: Cham, Switzerland, 2021; pp. 229–241. ISBN 978-3-030-64972-2. [Google Scholar]
- Pyakurel, U.; Nath, H.N.; Dempe, S.; Dhamala, T.N. Efficient Dynamic Flow Algorithms for Evacuation Planning Problems with Partial Lane Reversal. Mathematics 2019, 7, 993. [Google Scholar] [CrossRef]
- Temkin, O.N.; Zeigarnik, A.V.; Bonchev, D. Chemical Reaction Networks: A Graph- Theoretical Approach; CRC Press: Boca Raton, FL, USA, 2022; ISBN 9781003067887. [Google Scholar]
- Rushdi, A.M.A.; Alsalami, O.M. Reliability Analysis of Flow Networks with an Ecological Perspective. Netw. Biol. 2021, 11, 1–28. [Google Scholar]
- Chow, W.-M. Assembly Line Design; CRC Press: Boca Raton, FL, USA, 1990; ISBN 9781003066477. [Google Scholar]
- Lighthill, N.J.; Whitham, G.B. On Kinematic Waves. II. A Theory of Traffic Flow on Long Crowded Roads. Proc. R. Soc. Lond. Ser. A 1955, 229, 317–345. [Google Scholar] [CrossRef]
- Richards, P.I. Shock Waves on the Highway. Oper. Res. 1956, 4, 42–51. [Google Scholar] [CrossRef]
- Holden, H.; Risebro, N.H. A Mathematical Model of Traffic Flow on a Network of Unidirectional Roads. SIAM J. Math. Anal. 1995, 26, 999–1017. [Google Scholar] [CrossRef]
- Haut, B.; Bastin, G. A Second Order Model of Road Junctions in Fluid Models of Traffic Networks. Netw. Heterog. Media 2007, 2, 227–253. [Google Scholar] [CrossRef]
- Treiber, M.; Kesting, A. Traffic Flow Dynamics: Data, Models, and Simulation; Springer: Berlin, Germany, 2013; ISBN 978-3-642-32460-4. [Google Scholar]
- Scardoni, G.; Laudanna, C. Identifying Critical Traffic Jam Areas with Node Centralities Interference and Robustness. Netw. Heterog. Media 2012, 7, 463–471. [Google Scholar] [CrossRef]
- Ahuja, R.K.; Magnanti, T.L.; Orlin, J.B. Network Flows. Theory, Algorithms, and Applications; Prentice Hall: Hoboken, NJ, USA, 1993; ISBN 978-0136175490. [Google Scholar]
- Garavello, M.; Piccoli, B. On Fluido—Dynamic Models for Urban Traffic. Netw. Heterog. Media 2009, 4, 107–126. [Google Scholar] [CrossRef]
- Goatin, P. Traffic Flow Models with Phase Transitions on Road Networks. Netw. Heterog. Media 2009, 4, 287–301. [Google Scholar] [CrossRef]
- Garavello, M. A Review of Conservation Laws on Networks. Netw. Heterog. Media 2010, 5, 565–581. [Google Scholar] [CrossRef]
- Mouronte, M.L.; Benito, R.M. Structural Analysis and Traffic Flow in the Transport Networks of Madrid. Netw. Heterog. Media 2015, 10, 127–148. [Google Scholar] [CrossRef]
- Bressan, A.; Nguyen, K.T. Conservation Law Models for Traffic Flow on a Network of Roads. Netw. Heterog. Media 2015, 10, 255–293. [Google Scholar] [CrossRef]
- Herty, M.; Fazekas, A.; Visconti, G. A Two-Dimensional Data-Driven Model for Traffic Flow on Highways. Netw. Heterog. Media 2018, 13, 217–240. [Google Scholar] [CrossRef]
- Herty, M.; Klar, A. Modeling, Simulation, and Optimization of Traffic Flow Networks. SIAM J. Sci. Comput. 2003, 25, 1066–1087. [Google Scholar] [CrossRef]
- Chiarello, F.A.; Goatin, P. Non-local Multi-class Traffic Flow Models. Netw. Heterog. Media 2019, 14, 371–387. [Google Scholar] [CrossRef]
- Garavello, M.; Piccoli, B. Traffic Flow on Networks; AIMS Series on Applied Mathematics; American Institute of Mathematical Sciences (AIMS): Springfield, MO, USA, 2006; ISBN 978-1-60133-000-0. [Google Scholar]
- Nagatani, T. The Physics of Traffic Jams. Rep. Prog. Phys. 2002, 65, 1331. [Google Scholar] [CrossRef]
- Ezaki, T.; Nishi, R.; Nishinari, K. Taming Macroscopic Jamming in Transportation Networks. J. Stat. Mech. Theory Exp. 2015, 2015, P06013. [Google Scholar] [CrossRef]
- Cordeau, J.F.; Toth, P.; Vigo, D. A Survey of Optimization Models for Train Routing and Scheduling. Transp. Sci. 1998, 32, 380–404. [Google Scholar] [CrossRef]
- Caimi, G.; Chudak, F.; Fuchsberger, M.; Laumanns, M.; Zenklusen, R. A New Resource- Constrained Multicommodity Flow Model for Conflict-Free Train Routing and Scheduling. Transp. Sci. 2011, 45, 212–227. [Google Scholar] [CrossRef]
- Arani, A.M.; Jolai, F.; Nasiri, M.M. A Multi-Commodity Network Flow Model for Railway Capacity Optimization in Case of Line Blockage. Int. J. Rail Transp. 2019, 7, 297–320. [Google Scholar] [CrossRef]
- Sun, D.; Strub, I.S.; Bayen, A.M. Comparison of the Performance of Four Eulerian Network Flow Models for Strategic Air Traffic Management. Netw. Heterog. Media 2007, 2, 569–595. [Google Scholar] [CrossRef]
- Ng, M.K.; Chen, C.H.; Lee, C.K. Mathematical Programming Formulations for Robust Airside Terminal Traffic Flow Optimisation Problem. Comput. Ind. Eng. 2021, 154, 107119. [Google Scholar] [CrossRef]
- Banda, M.K.; Herty, M.; Klar, A. Gas Flow in Pipeline Networks. Netw. Heterog. Media 2006, 1, 41–56. [Google Scholar] [CrossRef]
- Gugat, L.; Herty, M.; Schleper, V. Flow Control in Gas Networks: Exact Controllability to a Given Demand. Math. Methods Appl. Sci. 2011, 34, 745–757. [Google Scholar] [CrossRef]
- Corbet, T.F.; Beyeler, W.; Wilson, M.L.; Flanagan, T.P. A Model for Simulating Adaptive, Dynamic Flows on Networks: Application to Petroleum Infrastructure. Reliab. Eng. Syst. Saf. 2018, 169, 451–465. [Google Scholar] [CrossRef]
- Rüffler, F.; Mehrmann, V.; Hante, F.M. Optimal Model Switching for Gas Flow in Pipe Networks. Netw. Heterog. Media 2016, 13, 641–661. [Google Scholar] [CrossRef]
- Osiadacz, A. Simulation of Transient Gas Flows in Networks. Int. J. Numer. Methods Fluids 1984, 4, 13–24. [Google Scholar] [CrossRef]
- Kiuchi, T. An Implicit Method for Transient Gas Flows in Pipe Networks. Int. J. Heat Fluid Flow 1994, 15, 378–383. [Google Scholar] [CrossRef]
- Greyvenstein, G.P. An Implicit Method for the Analysis of Transient Flows in Pipe Networks. Int. J. Numer. Methods Eng. 2002, 5, 1127–1143. [Google Scholar] [CrossRef]
- Federgruen, A.; Groenevelt, H. Optimal Flows in Networks with Multiple Sources and Sinks, with Applications to Oil and Gas Lease Investment Programs. Orepations Res. 1986, 34, 190–330. [Google Scholar] [CrossRef][Green Version]
- Gugat, M.; Hante, F.M.; Hirsch-Dick, M.; Leugering, G. Stationary states in gas networks. Netw. Heterog. Media 2015, 10, 295–320. [Google Scholar] [CrossRef]
- Lämmer, S.; Kori, H.; Peters, K.; Helbing, D. Decentralised Control of Material or Traffic Flows in Networks Using Phase-Synchronisation. Physica A 2006, 363, 39–47. [Google Scholar] [CrossRef]
- Donner, R. Multivariate Analysis of Spatially Heterogeneous Phase Synchronisation in Complex Systems: Application to Self-Organised Control of Material Flows in Networks. Eur. Phys. J. B 2008, 63, 349–361. [Google Scholar] [CrossRef]
- Gugat, M.; Herty, M.; Klar, A.; Leugering, G. Optimal Control for Traffic Flow Networks. J. Optim. Theory Appl. 2005, 126, 589–616. [Google Scholar] [CrossRef]
- Herty, M.; Klar, A. Simplified Dynamics and Optimization of Large Scale Traffic Networks. Math. Model. Methods Appl. Sci. 2004, 14, 579–601. [Google Scholar] [CrossRef]
- Gugat, M.; Leugering, G.; Schmidt, E.J.P.G. Global Controllability Between Steady Supercritical Flows in Channel Networks. Math. Methods Appl. Sci. 2004, 27, 781–802. [Google Scholar] [CrossRef]
- Lämmer, S.; Helbing, D. Self-Control of Traffic Lights and Vehicle Flows in Urban Road Networks. J. Stat. Mech. Theory Exp. 2008, 2008, P04019. [Google Scholar] [CrossRef]
- Ajdari, A. Steady Flows in Networks of Microfluidic Channels: Building on the Analogy with Electrical Circuit. Comptes Rendus Phys. 2004, 5, 539–546. [Google Scholar] [CrossRef]
- Berli, C.L.A. Theoretical Modelling of Electrokinetic Flow in Microchannel Networks. Colloids Surfaces A Physicochem. Eng. Asp. 2007, 301, 271–280. [Google Scholar] [CrossRef]
- Bastin, G.; Bayen, A.M.; D’Apice, C.; Litrico, X.; Piccoli, B. Open Problems and Research Perspectives for Irrigation Channels. Netw. Heterog. Media 2009, 4, i–v. [Google Scholar] [CrossRef]
- Cantoni, M.; Weyer, E.; Li, Y.; Ooi, S.K.; Mareels, I.; Ryan, M. Control of Large-Scale Irrigation Networks. Proc. IEEE 2007, 95, 75–91. [Google Scholar] [CrossRef]
- Mavkov, B.; Strecker, T.; Zecchin, A.C.; Cantoni, M. Modeling and Control of Pipeline Networks Supplied by Automated Irrigation Channels. J. Irrig. Drain. Eng. 2022, 148, 04022015. [Google Scholar] [CrossRef]
- Ferdowsi, A.; Valikhan-Anaraki, M.; Mousavi, S.F.; Farzin, S.; Mirjalili, S. Developing a Model for Multi-Objective Optimization of Open Channels and Labyrinth Weirs: Theory and Application in Isfahan Irrigation Networks. Flow Meas. Instrum. 2021, 80, 101971. [Google Scholar] [CrossRef]
- Perez-Sanchez, M.; Sanchez-Romero, F.J.; Ramos, H.M.; Lopez-Jimenez, P.A. Modeling Irrigation Networks for the Quantification of Potential Energy Recovering: A Case Study. Water 2016, 8, 234. [Google Scholar] [CrossRef]
- Kim, H.-D.; Kim, J.-T.; Nam, W.-H.; Kim, S.-J.; Choi, J.-Y.; Koh, B.-S. Irrigation Canal Network Flow Analysis by a Hydraulic Mode. Irrig. Drain. 2016, 65, 57–65. [Google Scholar] [CrossRef]
- Husain, T.; Abderrahman, W.A.; Khan, H.U.; Khan, S.M.; Khan, A.U.; Eqnaibi, B.S. Flow Simulation Using Channel Network Model. J. Irrig. Drain. Eng. 1988, 114, 424–441. [Google Scholar] [CrossRef]
- Labadie, J.W. Optimal Operation of Multireservoir Systems: State-of-the-Art Review. J. Water Resour. Manag. 2004, 130, 93–111. [Google Scholar] [CrossRef]
- Bigelow, P.E.; Benda, L.E.; Miller, D.J.; Burnett, K.M. On Debris Flows, River Networks, and the Spatial Structure of Channel Morphology. For. Sci. 2007, 53, 220–238. [Google Scholar] [CrossRef]
- Koplik, J.; Lasseter, T.J. Two-Phase Flow in Random Network Models of Porous Media. Soc. Pet. Eng. J. 1985, 25, 89–100. [Google Scholar] [CrossRef]
- Blunt, M.J.; Jackson, M.D.; Piri, M.; Valvatne, P.H. Detailed Physics, Predictive Capabilities and Macroscopic Consequences for Pore-Network Models of Multiphase Flow. Adv. Water Resour. 2002, 25, 1069–1089. [Google Scholar] [CrossRef]
- Blunt, M.J. Flow in Porous Media—Pore-Network Models and Multiphase Flow. Curr. Opin. Colloid Interface Sci. 2001, 6, 197–207. [Google Scholar] [CrossRef]
- Walski, T.M. Technique for Calibrating Network Models. J. Water Resour. Plan. Manag. 1983, 109, 360–372. [Google Scholar] [CrossRef]
- Ormsbee, L.E.; Lingireddy, S. Calibrating Hydraulic Network Models. J. Am. Water Work. Assoc. 1977, 89, 42–50. [Google Scholar] [CrossRef]
- Herty, M.; Izem, N.; Seaid, M. Fast and Accurate Simulations of Shallow Water Equations in Large Networks. Comput. Math. Appl. 2019, 78, 2107–2126. [Google Scholar] [CrossRef]
- Armbruster, D.; Degond, P.; Ringhofer, C.A. Model for the Dynamics of Large Queuing Networks and Supply Chains. SIAM J. Appl. Math. 2006, 66, 896–920. [Google Scholar] [CrossRef]
- D’Apice, C.; Göttlich, S.; Herty, M.; Piccoli, B. Modeling, Simulation, and Optimization of Supply Chains: A Continuous Approach; SIAM: Philadelphia, PA, USA, 2010; ISBN 978-0-898717-00-6. [Google Scholar]
- Armbruster, D.; Marthaler, D.; Ringhofer, C. Kinetic and Fluid Model Hierarchies for Supply Chains. Multiscale Model. Simul. 2003, 2, 43–61. [Google Scholar] [CrossRef]
- Bretti, G.; D’Apice, C.; Manzo, R.; Piccoli, B. A Continuum-Discrete Model for Supply Chains Dynamics. Netw. Heterog. Media 2007, 2, 661–694. [Google Scholar] [CrossRef]
- Helbing, D.; Lämmer, D.S.; Seidel, T.; Seba, P.; Platkowski, T. Physics, Stability and Dynamics of Supply Networks. Phys. Rev. E 2004, 70, 066116. [Google Scholar] [CrossRef] [PubMed]
- Herty, M.; Ringhofer, C. Optimization for Supply Chain Models with Policies. Physica A 2007, 380, 651–664. [Google Scholar] [CrossRef][Green Version]
- D’Apice, C.; Manzo, R.; Piccoli, B. Existence of Solutions to Cauchy Problems for a Mixed Continuum-Discrete Model for Supply Chains and Networks. J. Math. Anal. Appl. 2010, 362, 374–386. [Google Scholar] [CrossRef]
- Adhikari, R.S.; Aste, N.; Manfren, M. Multi-Commodity Network Flow Models for Dynamic Energy Management—Smart Grid Applications. Energy Procedia 2012, 14, 1374–1379. [Google Scholar] [CrossRef]
- Eboli, M. Financial Applications of Flow Network Theory. In Advanced Dynamics Modeling of Economic and Social Systems; Proto, A.N., Squillante, M., Kacprzyk, N.J., Eds.; Springer: Berlin, Germany, 2013; pp. 21–29. ISBN 978-3-642-32903-6. [Google Scholar]
- Russell, A.H. Cash Flows in Networks. Manag. Sci. 1970, 16, 357–373. [Google Scholar] [CrossRef]
- Rhys, J.M.W. A Selection Problem of Shared Fixed Costs and Network Flows. Manag. Sci. 1970, 17, 200–207. [Google Scholar] [CrossRef]
- Nagurney, A.; Siokos, S. Financial Networks: Statics and Dynamics; Springer: Berlin, Germany, 1997; ISBN 978-3-642-63835-0. [Google Scholar]
- Nagurney, A.; Cruz, J. International Financial Networks with Intermediation: Modeling, Analysis, and Computations. Comput. Manag. Sci. 2002, 1, 31–58. [Google Scholar] [CrossRef]
- Giudici, P.; Spelta, A. Graphical Network Models for International Financial Flows. J. Bus. Econ. Stat. 2016, 34, 128–138. [Google Scholar] [CrossRef]
- Gautier, A.; Granot, F. Forest Management: A Multicommodity Flow Formulation and Sensitivity Analysis. Manag. Sci. 1995, 41, 1654–1668. [Google Scholar] [CrossRef]
- Haghani, A.; Oh, S.C. Formulation and Solution of a Multi-Commodity, Multi-Modal Network Flow Model for Disaster Relief Operations. Transp. Res. Part A Policy Pract. 1996, 30, 231–250. [Google Scholar] [CrossRef]
- Lin, Y.-K. On a Multicommodity Stochastic-Flow Network with Unreliable Nodes Subject to Budget Constraint. Eur. J. Oper. Res. 2007, 176, 347–360. [Google Scholar] [CrossRef]
- Hu, T.C. Multi-Commodity Network Flows. Oper. Res. 1963, 11, 344–360. [Google Scholar] [CrossRef]
- Bellmore, M.; Vemuganti, R.R. On Multi-Commodity Maximal Dynamic Flows. Oper. Res. 1973, 21, 10–21. [Google Scholar] [CrossRef]
- Rothschild, B.; Whinston, A. On Two Commodity Network Flows. Oper. Res. 1966, 14, 377–387. [Google Scholar] [CrossRef]
- Salimifard, K.; Bigharaz, S. The Multicommodity Network Flow Problem: State of the Art Classification, Applications, and Solution Methods. Oper. Res. 2022, 22, 1–47. [Google Scholar] [CrossRef]
- Wang, I.-L. Multicommodity Network Flows: A Survey, Part I: Applications and Formulations. Int. J. Oper. Res. 2018, 15, 145–153. [Google Scholar] [CrossRef]
- Aldous, D.J.; Mc Diarmid, C.; Scott, A. Uniform Multicommodity Flow through the Complete Graph with Random Edge-Capacities. Oper. Res. Lett. 2009, 37, 299–302. [Google Scholar] [CrossRef][Green Version]
- D’Apice, C.; Manzo, R. A Fluid Dynamic Model for Supply Chains. Netw. Heterog. Media 2006, 1, 379–398. [Google Scholar] [CrossRef]
- Kennington, J.L. A Survey of Linear Cost Multicommodity Network Flows. Oper. Res. 1978, 26, 209–236. [Google Scholar] [CrossRef]
- Sakarovitch, M. Two Commodity Network Flows and Linear Programming. Math. Program. 1973, 4, 1–20. [Google Scholar] [CrossRef]
- Göttlich, S.; Herty, M.; Klar, A. Network Models for Supply Chains. Commun. Math. Sci. 2005, 3, 545–559. [Google Scholar] [CrossRef]
- D’Apice, C.; Manzo, R.; Piccoli, B. Packet Flow on Telecommunication Networks. SIAM J. Math. Anal. 2006, 38, 717–740. [Google Scholar] [CrossRef][Green Version]
- Chen, W.-K. Theory of Nets: Flows in Networks; Imperial College Press: London, UK, 2003; ISBN 978-0471851486. [Google Scholar]
- Douligeris, C.; Mazumdar, R. A Game Theoretic Perspective to Flow Control in Telecommunication Networks. J. Frankl. Inst. 1992, 329, 383–402. [Google Scholar] [CrossRef]
- Onaga, K. Optimum Flows in General Communication Networks. J. Frankl. Inst. 1967, 283, 308–327. [Google Scholar] [CrossRef]
- Filipiak, J. Modelling and Control of Dynamic Flows in Communication Networks; Springer: Berlin, Germany, 1988; ISBN 978-3-642-83207-9. [Google Scholar]
- Marigo, A. Optimal Traffic Distribution and Priority Coefficients for Telecommunication Networks. Netw. Heterog. Media 2006, 1, 315–336. [Google Scholar] [CrossRef]
- Lucas, M.W. Network Flow Analysis; No Starch Press: San Francisco, CA, USA, 2010; ISBN 978-1593272036. [Google Scholar]
- Marigo, A. Equilibria for Data Networks. Netw. Heterog. Media 2007, 2, 497–528. [Google Scholar] [CrossRef]
- Formaggia, L.; Quarteroni, A.; Veneziani, A. Cardiovascular Mathematics; Springer: Milano, Italy, 2009; ISBN 978-88-470-1151-9. [Google Scholar]
- Wang, X.; Delestre, O.; Fullana, J.M.; Saito, M.; Ikenaga, Y.; Matsukawa, M.; Lagree, P.Y. Comparing Different Numerical Methods for Solving Arterial 1D Flows in Networks. Comput. Methods Biomech. Biomed. Eng. 2012, 15, 61–62. [Google Scholar] [CrossRef]
- Nicosia, S.; Pezzinga, G. Mathematical Models of Blood Flow in the Arterial Network. J. Hydraul. Res. 2007, 45, 188–201. [Google Scholar] [CrossRef]
- Bianconi, G.; Zecchina, R. Viable Flux Distribution in Metabolic Networks. Netw. Heterog. Media 2008, 3, 361–369. [Google Scholar] [CrossRef]
- Karolyi, G.; Scheuring, I.; Czaran, T. Metabolic Network Dynamics in Open Chaotic Flow. Chaos Interdiscip. J. Nonlinear Sci. 2002, 12, 460–469. [Google Scholar] [CrossRef]
- Li, Z.; Wang, R.S.; Zhang, X.S. Mass Flow Model and Essentiality of Enzymes in Metabolic Networks. Lect. Notes Oper. Res. 2008, 9, 182–190. [Google Scholar]
- Beguerisse-Diaz, M.; Bosque, G.; Oyarzun, D.; Pico, J.; Barahona, M. Flux-Dependent Graphs for Metabolic Networks. NPJ Syst. Biol. Appl. 2018, 4, 1–14. [Google Scholar] [CrossRef]
- Banasiak, J.; Falkiewicz, A.; Namayanja, P. Asymptotic State Lumping in Transport and Diffusion Problems on Networks with Applications to Population Problems. Math. Model. Methods Appl. Sci. 2016, 26, 215–247. [Google Scholar] [CrossRef]
- Bertaglia, G.; Pareschi, L. Hyperbolic Models for the Spread of Epidemics on Networks: Kinetic Description and Numerical Methods. ESAIM Math. Model. Numer. Anal. 2021, 55, 381–407. [Google Scholar] [CrossRef]
- Todinov, M.T. Flow Networks. Analysis and Optimization of Repairable Flow Networks, Networks with Disturbed Flows, Static Flow Networks and Reliability Networks; Elsevier: Amsterdam, The Netherlands, 2013; ISBN 978-0123983961. [Google Scholar]
- Rossvall, M.; Esquivel, A.C.; Lancichinetti, A.; West, J.D.; Lambiotte, R. Memory in Network Flows and its Effects on Spreading Dynamics and Community Detection. Nat. Commun. 2014, 5, 4630. [Google Scholar] [CrossRef]
- Helbing, D.; Buzna, L.; Johansson, A.; Werner, T. Self-organized Pedestrian Crowd Dynamics: Experiments, Simulations, and Design Solutions. Transp. Sci. 2005, 39, 1–24. [Google Scholar] [CrossRef]
- Aronson, J.E. A Survey of Dynamic Network Flows. Ann. Oper. Res. 1989, 20, 1–66. [Google Scholar] [CrossRef]
- Bozhenyuk, A.V.; Gerasimenko, E.M.; Kacprzyk, J.; Naumovich, I. Flows in Networks under Fuzzy Conditions; Springer International Publishing: Cham, Switzerland, 2017; ISBN 978-3-319-41617-5. [Google Scholar]
- Banasiak, J.; Namayanja, P. Asymptotic Behaviour of Flows on Reducible Networks. Netw. Heterog. Media 2014, 9, 197–216. [Google Scholar] [CrossRef]
- Pastor, J.M.; Garcia-Algarra, J.; Galeano, J.; Iriondo, J.M.; Ramasco, J.J. A Simple and Bounded Model of Population Dynamics for Mutualistic Networks. Netw. Heterog. Media 2015, 10, 53–70. [Google Scholar] [CrossRef]
- Logak, E.; Passat, I. An Epidemic Model with Nonlocal Diffusion on Networks. Netw. Heterog. Media 2016, 11, 693–719. [Google Scholar] [CrossRef]
- Fabio Camilli, F.; De Maio, R.; Tosin, A. Transport of Measures on Networks. Netw. Heterog. Media 2017, 12, 191–215. [Google Scholar] [CrossRef][Green Version]
- Corli, A.; di Ruvo, L.; Malaguti, L.; Rosini, M.D. Traveling Waves for Degenerate Diffusive Equations on Networks. Netw. Heterog. Media 2017, 12, 339–370. [Google Scholar] [CrossRef][Green Version]
- Sun, Y.; Work, D.B. Error Bounds for Kalman Filters on Traffic Networks. Netw. Heterog. Media 2018, 13, 261–295. [Google Scholar] [CrossRef]
- Shen, W. Traveling Wave Profiles for a Follow-the-Leader Model for Traffic Flow with Rough Road Condition. Netw. Heterog. Media 2018, 13, 449–478. [Google Scholar] [CrossRef]
- Chuang, Y.-L.; Chou, T.; D’Orsogna, M.R. A Network Model of Immigration: Enclave Formation vs. Cultural Integration. Netw. Heterog. Media 2019, 14, 53–77. [Google Scholar] [CrossRef]
- Carlson, R. Myopic Models of Population Dynamics on Infinite Networks. Netw. Heterog. Media 2014, 9, 477–499. [Google Scholar] [CrossRef]
- Ford, L.R., Jr.; Fulkerson, D.R. Constructing Maximal Dynamic Flows from Static Flows. Oper. Res. 1958, 6, 419–433. [Google Scholar] [CrossRef]
- Golberg, A.V.; Tarjan, R.E. A New Approach to the Maximum-Flow Problem. J. Assoc. Comput. Mach. 1988, 35, 921–940. [Google Scholar] [CrossRef]
- Megiddo, N. Optimal Flows in Networks with Multiple Sources and Sinks. Math. Program. 1974, 7, 97–107. [Google Scholar] [CrossRef]
- Wilkinson, W.L. An Algorithm for Universal Maximal Dynamic Flows in a Network. Oper. Res. 1971, 19, 1602–1612. [Google Scholar] [CrossRef]
- Philpott, A.B. Continuous-Time Flows in Networks. Math. Oper. Res. 1990, 15, 640–661. [Google Scholar] [CrossRef]
- Cherkassky, B.V.; Goldberg, A.V.; Radzik, T. Shortest Paths Algorithms: Theory and Experimental Evaluation. Math. Program. 1996, 73, 129–174. [Google Scholar] [CrossRef]
- Divoky, J.J.; Hung, M.S. Performance of Shortest Path Algorithms in Network Flow Problems. Manag. Sci. 1990, 36, 661–673. [Google Scholar] [CrossRef]
- Epstein, D. Finding the k Shortest Paths. SIAM J. Comput. 1998, 28, 652–673. [Google Scholar] [CrossRef]
- Ruhe, G. Algorithmic Aspects of Flows in Networks; Springer: Dordrecht, The Nethwrlands, 1991; ISBN 978-94-010-5523-9. [Google Scholar]
- Williamson, D.P. Network Flow Algorithms; Cambridge University Press: Cambridge, UK, 2019; ISBN 978-1-107-18589-0. [Google Scholar]
- Zheng, Y.J.; Chen, S.Y. Cooperative Particle Swarm Optimization for Multiobjective Transportation Planning. Appl. Intell. 2013, 39, 202–216. [Google Scholar] [CrossRef]
- Ringuest, J.L.; Rinks, D.B. Interactive Solutions for the Linear Multiobjective Transportation Problems. Eur. J. Oper. Res. 1987, 32, 96–106. [Google Scholar] [CrossRef]
- Edmonds, J.; Karp, R.M. Theoretical Improvements in Algorithmic Efficiency for Network Flow Problems. J. Assoc. Comput. Mach. 1972, 19, 248–264. [Google Scholar] [CrossRef]
- Lenstra, J.K.; Kan, A.R. Complexity of Vehicle Routing and Scheduling Problems. Networks 1981, 11, 221–227. [Google Scholar] [CrossRef]
- Johnson, D.B. Efficient Algorithms for Shortest Paths in Sparse Networks. J. Assoc. Comput. Mach. 1977, 24, 1–13. [Google Scholar] [CrossRef]
- Climaco, J.N.; Antunes, C.H.; Alves, M.J. Interactive Decision Support for Multiobjective Transportation Problems. Eur. J. Oper. Res. 1993, 65, 58–67. [Google Scholar] [CrossRef]
- Meng, Q.; Lee, D.; Cheu, R. Multiobjective Vehicle Routing and Scheduling Problem with Time Window Constraints in Hazardous Material Transportation. J. Transp. Eng. 2005, 131, 699–707. [Google Scholar] [CrossRef]
- Gen, M.; Li, Y.Z. Spanning Tree-Based Genetic Algorithm for Bicriteria Transportation Problem. Comput. Ind. Eng. 1998, 35, 531–534. [Google Scholar] [CrossRef]
- Hamacher, H.W.; Pedersen, C.R.; Ruzika, S. Multiple Objective Minimum Cost Flow Problems: A Review. Eur. J. Oper. Res. 2007, 176, 1404–1422. [Google Scholar] [CrossRef]
- Ahuja, R.K. Algorithms for the Minimax Transportation Problem. Nav. Res. Logist. Q. 1986, 33, 725–739. [Google Scholar] [CrossRef]
- Bertsekas, D.P. A Unified Framework for Primal-Dual Methods in Minimum Cost Network Flow Problems. Math. Program. 1985, 32, 125–145. [Google Scholar] [CrossRef][Green Version]
- Cunningham, W.H.; Frank, A. A Primal-Dual Algorithm for Submodular Flows. Math. Oper. Res. 1985, 10, 251–262. [Google Scholar] [CrossRef]
- Ahuja, R.K.; Orlin, J.B. A Fast and Simple Algorithm for the Maximum Flow Problem. Oper. Res. 1989, 37, 748–759. [Google Scholar] [CrossRef]
- Ahuja, R.K.; Batra, J.L.; Gupta, S.K. A Parametric Algorithm for Convex Cost Network Flow and Related Problems. Eur. J. Oper. Res. 1984, 16, 222–235. [Google Scholar] [CrossRef]
- Bertsekas, D.P.; Hosein, P.A.; Tseng, P. Relaxation Methods for Network Flow Problems with Convex Arc Costs. SIAM J. Control Optim. 1987, 25, 1219–1243. [Google Scholar] [CrossRef][Green Version]
- Bertsekas, D.P.; Tseng, P. Relaxation Methods for Minimum Cost Ordinary and Generalized Network Flow Problems. Oper. Res. 1988, 36, 93–114. [Google Scholar] [CrossRef]
- Ali, I.; Charnes, A.; Tiantai, S. Karmarkar’s Projective Algorithm: A Null Space Variant for Multi-Commodity Generalized Networks. Acta Math. Appl. Sin. 1985, 2, 168–190. [Google Scholar] [CrossRef]
- Castro, J. Solving Difficult Multicommodity Problems with a Specialized Interior-Point Algorithm. Ann. Oper. Res. 2003, 124, 35–48. [Google Scholar] [CrossRef]
- Chardaire, P.; Lisser, A. Simplex and Interior Point Specialized Algorithms for Solving Nonoriented Multicommodity Flow Problems. Oper. Res. 2002, 50, 260–276. [Google Scholar] [CrossRef]
- Detlefsen, N.K.; Wallace, S.W. The Simplex Algorithm for Multicommodity Networks. Netw. Int. J. 2002, 39, 15–28. [Google Scholar] [CrossRef]
- Fleischer, L.; Sethuraman, J. Efficient Algorithms for Separated Continuous Linear Programs: The Multicommodity Flow Problem with Holding Costs and Extensions. Math. Oper. Res. 2005, 30, 916–938. [Google Scholar] [CrossRef][Green Version]
- Assad, A.A. Multicommodity Network Flows—A Survey. Networks 1978, 8, 37–91. [Google Scholar] [CrossRef]
- Dorneles, A.P.; de Araujo, O.C.; Buriol, L.S. A Column Generation Approach to High School Timetabling Modeled as a Multicommodity Flow Problem. Eur. J. Oper. Res. 2017, 256, 685–695. [Google Scholar] [CrossRef]
- Orlin, J.B.; Stein, C. Parallel Algorithms for the Assignment and Minimum-Cost Flow Problems. Oper. Res. Lett. 1993, 14, 181–186. [Google Scholar] [CrossRef]
- Anderson, R.J.; Setubal, J.C. On the Parallel Implementation of Goldberg’s Maximum Flow Algorithm. In Proceedings of the Fourth Annual ACM symposium on Parallel Algorithms and Architectures, San Diego, CA, USA, 29 June–1 July 1992; pp. 168–177. [Google Scholar]
- Tseng, P.; Bertsekas, D.P.; Tsitsiklis, J.N. Partially Asynchronous, Parallel Algorithms for Network Flow and Other Problems. SIAM J. Control Optim. 1990, 28, 678–710. [Google Scholar] [CrossRef][Green Version]
- Ciurea, E.; Ciupala, L. Sequential and Parallel Algorithms for Minimum Flows. J. Appl. Math. Comput. 2004, 15, 53–75. [Google Scholar] [CrossRef]
- Cheung, T.Y. Graph Traversal Techniques and the Maximum Flow Problem in Distributed Computation. IEEE Trans. Softw. Eng. 1983, SE-9, 504–512. [Google Scholar] [CrossRef]
- Kutija, V. A Generalized Method for the Solution of Flows in Networks. J. Hydraul. Res. 1995, 33, 535–554. [Google Scholar] [CrossRef]
- Reigstad, G.A. Existence and Uniqueness of Solutions to the Generalized Riemann Problem for Isentropic Flow. SIAM J. Appl. Math. 2015, 75, 679–702. [Google Scholar] [CrossRef]
- Bressan, A.; Yu, F. Continuous Riemann Solvers for Traffic Flow at a Junction. Discret. Contin. Dyn. Syst. 2015, 35, 4149. [Google Scholar] [CrossRef]
- Colombo, R.M.; Garavello, M. A Well Posed Riemann Problem for the P-system at a Junction. Netw. Heterog. Media 2006, 1, 495–511. [Google Scholar] [CrossRef]
- Contarino, C.; Toro, E.F.; Montecinos, G.I.; Borsche, R.; Kall, J. Junction-Generalized Riemann Problem for Stiff Hyperbolic Balance Laws in Networks: An Implicit Solver and ADER schemes. J. Comput. Phys. 2016, 315, 409–433. [Google Scholar] [CrossRef]
- Delle Monache, M.L.; Goatin, P.; Piccoli, B. Priority-Based Riemann Solver for Traffic Flow on Networks. Commun. Math. Sci. 2018, 16, 185–211. [Google Scholar] [CrossRef]
- Reigstad, G.A.; Flatten, T.; Haugen, N.E.; Ytrehus, T. Coupling Constants and the Generalized Riemann Problem for Isothermal Junction Flow. J. Hyperbolic Differ. Equ. 2015, 12, 37–59. [Google Scholar] [CrossRef]
- Bazaraa, M.S.; Jarvis, J.J.; Sherali, H.D. Linear Programming and Network Flows; John Wiley & Sons: Hoboken, NJ, USA, 2005; ISBN 9780471485995. [Google Scholar]
- Baston, V.J.D.; Rahmouni, M.K.; Williams, H.P. The Practical Conversion of Linear Programmes to Network Flow Models. Eur. J. Oper. Res. 1991, 50, 325–334. [Google Scholar] [CrossRef]
- Dantzig, G.B. Linear Programming and Extensions; Princeton University Press: Princeton, NJ, USA, 1998; ISBN 978-0691059136. [Google Scholar]
- Hobson, E.; Fletcher, D.L.; Stadlin, W.O. Network Flow Linear Programming Techniques and Their Application to Fuel Scheduling and Contingency Analysis. IEEE Trans. Power Appar. Syst. 1984, 103, 1684–1691. [Google Scholar] [CrossRef]
- Jewell, W.S. New Methods in Mathematical Programming—Optimal Flow Through Networks with Gains. Oper. Res. 1962, 10, 476–499. [Google Scholar] [CrossRef]
- Willekens, F.J. Probability Models of Migration: Complete and Incomplete Data. SA J. Demogr. 1999, 7, 31–43. [Google Scholar]
- Blossfeld, H.-P.; Rohwer, G. Techniques of Event History Modeling: New Approaches to Casual Analysis. J. R. Stat. Soc. Ser. D 2003, 52, 236–238. [Google Scholar] [CrossRef]
- Vitanov, N.K.; Vitanov, K.N. On the Motion of Substance in a Channel of a Network and Human Migration. Physica A 2018, 490, 1277–1294. [Google Scholar] [CrossRef]
- Raymer, J. The Estimation of International Migration Flows: A General Technique Focused on the Origin-Destination Association Structure. Environ. Plan. A 2007, 39, 985–995. [Google Scholar] [CrossRef]
- Greenwood, M.J. Modeling Migration. In Encyclopedia of Social Measurement; Kemp-Leonard, K., Ed.; Elsevier: Amsterdam, The Netherlands, 2005; Volume 2, pp. 725–734. ISBN 978-0-12-369398-3. [Google Scholar]
- Lee, E.S. A Theory of Migration. Demography 1966, 3, 47–57. [Google Scholar] [CrossRef]
- Harris, J.R.; Todaro, M.P. Migration, Unemployment and Development: A Two- Sector Analysis. Am. Econ. Rev. 1970, 60, 126–142. [Google Scholar]
- Simon, J.H. The Economic Consequences of Immigration; The University of Michigan Press: Ann Arbor, MI, USA, 1999; ISBN 978-0472086160. [Google Scholar]
- Skeldon, R. Migration and Development: A Global Perspective; Routledge: London, UK, 1992; ISBN 978-0582239609. [Google Scholar]
- Borjas, G.J. Economic Theory and International Migration. Int. Migr. Rev. 1989, 23, 457–485. [Google Scholar] [CrossRef] [PubMed]
- Vitanov, N.K.; Vitanov, K.N. Discrete-time Model for a Motion of Substance in a Channel of a Network with Application to Channels of Human Migration. Physica A 2018, 509, 635–650. [Google Scholar] [CrossRef]
- Vitanov, N.K.; Vitanov, K.N. Statistical Distributions Connected to Motion of Substance in a Channel of a Network. Physica A 2019, 527, 121174. [Google Scholar] [CrossRef]
- Fawcet, J.T. Networks, Linkages, and Migration Systems. Int. Migr. Rev. 1989, 23, 671–680. [Google Scholar] [CrossRef]
- Gurak, D.T.; Caces, F. Migration Networks and the Shaping of Migration Systems. In International Migration Systems: A Global Approach; Kitz, M.M., Lim, L.L., Zlotnik, H., Eds.; Clarendon Press: Oxford, UK, 1992; pp. 150–176. ISBN 978-0198283560. [Google Scholar]
- Vitanov, N.K.; Vitanov, K.N. Box Model of Migration Channels. Math. Soc. Sci. 2016, 80, 108–114. [Google Scholar] [CrossRef]
- Vitanov, N.K.; Vitanov, K.N.; Ivanova, T. Box Model of Migration in Channels of Migration Networks. Adv. Comput. Ind. Math. 2018, 728, 203–215. [Google Scholar] [CrossRef]
- Vitanov, N.K.; Borisov, R. A Model of a Motion of Substance in a Channel of a Network. J. Theor. Appl. Mech. 2018, 48, 74–84. [Google Scholar] [CrossRef]
- Vitanov, N.K.; Borisov, R. Statistical Characteristics of a Flow of Substance in a Channel of Network that Contains Three Arms. Stud. Comput. Intell. 2018, 793, 421–432. [Google Scholar] [CrossRef]
- Borisov, R.; Vitanov, N.K. Human Migration: Model of a Migration Channel with a Secondary and a Tertiary Arm. AIP Conf. Proc. 2019, 2075, 150001. [Google Scholar] [CrossRef]
- Vitanov, N.K.; Dimitrova, Z.I.; Ausloos, M. Verhulst-Lotka-Volterra Model of Ideological Struggle. Physica A 2010, 389, 4970–4980. [Google Scholar] [CrossRef]
- Vitanov, N.K.; Ausloos, M.; Rotundo, G. Discrete Model of Ideological Struggle Accounting for Migration. Adv. Complex Syst. 2012, 15 (Suppl. 1), 1250049. [Google Scholar] [CrossRef]
- Vitanov, N.K.; Jordanov, I.P.; Dimitrova, Z.I. On Nonlinear Dynamics of Interacting Populations: Coupled Kink Waves in a System of Two Populations. Commun. Nonlinear Sci. Numer. Simul. 2009, 14, 2379–2388. [Google Scholar] [CrossRef]
- Vitanov, N.K.; Jordanov, I.P.; Dimitrova, Z.I. On Nonlinear Population Waves. Appl. Math. Comput. 2009, 215, 2950–2964. [Google Scholar] [CrossRef]
- Vitanov, N.K.; Dimitrova, Z.I.; Vitanov, K.N. Traveling Waves and Statistical Distributions Connected to Systems of Interacting Populations. Comput. Math. Appl. 2013, 66, 1666–1684. [Google Scholar] [CrossRef]
- Vitanov, N.K.; Vitanov, K.N. Population Dynamics in Presence of State Dependent Fluctuations. Comput. Math. Appl. 2013, 68, 962–971. [Google Scholar] [CrossRef]
- Schubert, A.; Glänzel, W. A Dynamic Look at a Class of Skew Distributions. A Model With Scientometric Application. Scientometrics 1984, 6, 149–167. [Google Scholar] [CrossRef]
- Vitanov, N.K. Science Dynamics and Research Production. Indicators, Indexes, Statistical Laws, and Mathematical Models; Springer: Cham, Switzerland, 2016; ISBN 978-3-319-41631-1. [Google Scholar]
- Johnson, N.; Kotz, S. Urn Models and Their Applications. An Approach to Modern Discrete Probability Theory; Wiley: New York, NY, USA, 1977; ISBN 978-0471446309. [Google Scholar]
- Dietz, K. On The Model of Weiss for the Spread of Epidemics by Carriers. J. Appl. Probab. 1966, 3, 375–382. [Google Scholar] [CrossRef]
- Boucheron, S.; Gardy, D. An Urn Model from Learning Theory. Random Struct. Algorithms 1997, 10, 43–67. [Google Scholar] [CrossRef]
- Kerner, B.S. The Physics of Traffic; Springer: Berlin, Germany, 2004; ISBN 978-3-540-40986-1. [Google Scholar]
- Bellomo, N.; Delitala, M.; Coscia, V. On the Mathematical Theory of Vehicular Traffic Flow I. Fluid Dynamic and Kinetic Modelling. Math. Model. Methods Appl. Sci. 2002, 12, 1801–1843. [Google Scholar] [CrossRef]
- Arlotti, L.; Bellomo, N.; De Angelis, E. Generalized Kinetic (Boltzmann) models: Mathematical Structures and Applications. Math. Model. Methods Appl. Sci. 2002, 12, 567–591. [Google Scholar] [CrossRef]
- Bonzani, I. Hydrodynamic Models of Traffic Flow: Drivers’ Behaviour and Nonlinear Diffusion. Math. Comput. Model. 2000, 31, 1–8. [Google Scholar] [CrossRef]
- Aw, A.; Klar, A.; Materne, T.; Rascle, M. Derivation of Continuum Traffic Flow Models from Microscopic Follow-the-Leader Models. SIAM J. Appl. Math. 2002, 63, 259–278. [Google Scholar] [CrossRef]
- Colombo, R.M. Hyperbolic Phase Transitions in Traffic Flow. SIAM J. Appl. Math. 2002, 63, 708–721. [Google Scholar] [CrossRef]
- De Angelis, E. Nonlinear Hydrodynamic Models of Traffic Flow Modelling and Mathematical Problems. Math. Comput. Model. 1999, 29, 83–95. [Google Scholar] [CrossRef]
- Treiber, M.; Kesting, A.; Helbing, D. Delays, Inaccuracies and Anticipation in Microscopic Traffic Models. Physica A 2006, 360, 71–88. [Google Scholar] [CrossRef]
- Leutzbach, W. Introduction to the Theory of Traffic Flow; Springer: New York, NY, USA, 1988; ISBN 978-3-642-61353-1. [Google Scholar]
- Prigogine, I.; Herman, R. Kinetic Theory of Vehicular Traffic; Elsevier: New York, NY, USA, 1971; ISBN 978-0444000828. [Google Scholar]
- Helbing, D. From Microscopic to Macroscopic Traffic Models. In A Perspective Look at Nonlinear Media; Lecture Notes in Physics; Parisi, J., Stefan, C., Müller, S.C., Zimmermann, W., Eds.; Springer: Berlin, Germany, 1998; Volume 503, pp. 122–139. ISBN 978-3-540-69681-0. [Google Scholar]
- Ben-Naim, E.; Krapivsky, P.L. Steady-State Properties of Traffic Flows. J. Phys. A 1998, 31, 8073–8080. [Google Scholar] [CrossRef][Green Version]
- Ben-Naim, E.; Krapivsky, P.L. Kinetic Theory of Traffic Flows. Traffic Granul. Flow 2003, 1, 155. [Google Scholar] [CrossRef]
- Günther, M.; Klar, A.; Materne, T.; Wegener, R. An Explicitly Solvable Kinetic Model for Vehicular Traffic and Associated Macroscopic Equations. Math. Comput. Model. 2002, 35, 591–606. [Google Scholar] [CrossRef]
- Klar, A.; Wegener, R. Kinetic Derivation of Macroscopic Anticipation Models for Vehicular Traffic. SIAM J. Appl. Math. 2000, 60, 1749–1766. [Google Scholar] [CrossRef]
- Helbing, D. Traffic and Related Self-Driven Many-Particle Systems. Rev. Mod. Phys. 2001, 73, 1067–1141. [Google Scholar] [CrossRef]
- Herty, M.; Kirchner, C.; Moutari, S. Multi-Class Traffic Models on Road Networks. Commun. Math. Sci. 2006, 4, 591–608. [Google Scholar] [CrossRef]
- Bellomo, N. Modelling Complex Living Systems. A Kinetic Theory and Stochastic Game Approach; Birkhäuser: Boston, FL, USA, 2007; ISBN 978-0817645106. [Google Scholar]
- Coclite, G.M.; Garavello, M.; Piccoli, B. Traffic Flow on a Road Network. SIAM J. Math. Anal. 2005, 36, 1862–1886. [Google Scholar] [CrossRef]
- Dafermos, C.M. Hyperbolic Conservation Laws in Continuum Physics; Springer: Berlin, Germany, 2005; ISBN 978-3-662-22019-1. [Google Scholar]
- Bressan, A. Hyperbolic Systems of Conservation Laws; Oxford University Press: Oxford, UK, 2000; ISBN 9780198507000. [Google Scholar]
- Aw, A.; Rascle, M. Resurection of “Second Order” Models of Traffic Flow. SIAM J. Appl. Math. 2000, 60, 916–944. [Google Scholar] [CrossRef]
- Zhang, H.M. A Non-equilibrium Traffic Model Devoid of Gas-like Behavior. Transp. Res. Part B Methodol. 2002, 36, 275–290. [Google Scholar] [CrossRef]
- Shen, C.; Sun, M. Formation of Delta Shocks and Vacuum States in the Vanishing Pressure Limit of Riemann Solutions to the Perturbed Aw–Rascle Model. J. Differ. Equ. 2010, 249, 3024–3051. [Google Scholar] [CrossRef]
- Goatin, P. The Aw–Rascle Vehicular Traffic Flow Model with Phase Transitions. Math. Comput. Model. 2006, 44, 287–303. [Google Scholar] [CrossRef]
- Pan, L.; Han, X. The Aw–Rascle Traffic Model with Chaplygin Pressure. J. Math. Anal. Appl. 2013, 401, 379–387. [Google Scholar] [CrossRef]
- Dimarco, G.; Tosin, A. The Aw–Rascle Traffic model: Enskog-Type Kinetic Derivation and Generalisations. J. Stat. Phys. 2010, 178, 178–210. [Google Scholar] [CrossRef]
- Greenberg, J.M. Extensions and Amplifications of a Traffic Model of Aw and Rascle. SIAM J. Appl. Math. 2002, 62, 729–745. [Google Scholar] [CrossRef]
- Garavello, M.; Piccoli, B. Traffic Flow on a Road Network Using the Aw– Rascle Model. Commun. Partial. Differ. Equ. 2006, 31, 243–275. [Google Scholar] [CrossRef]
- Herty, M.; Rascle, M. Coupling Conditions for a Class of Second-Order Models for Traffic Flow. SIAM J. Math. Anal. 2006, 38, 595–616. [Google Scholar] [CrossRef]
- Colombo, R.M.; Marcellini, F.; Rascle, M. A 2-phase Traffic Model Based on a Speed Bound. SIAM J. Appl. Math. 2010, 70, 2652–2666. [Google Scholar] [CrossRef][Green Version]
- Colombo, R.M.; Holden, H.; Marcellini, F. On the Microscopic Modeling of Vehicular Traffic on General Networks. SIAM J. Appl. Math. 2020, 80, 1377–1391. [Google Scholar] [CrossRef]
- Colombo, R.M.; Goatin, P.; Piccoli, B. Road Networks with Phase Transitions. J. Hyperbolic Differ. Equ. 2010, 7, 85–106. [Google Scholar] [CrossRef]
- Kerner, B.S.; Klenov, S.L. A microscopic model for phase transitions in traffic flow. J. Phys. A Math. Gen. 2002, 35, L31. [Google Scholar] [CrossRef]
- Kerner, B.S.; Klenov, S.L. Phase Transitions in Traffic Flow on Multilane Roads. Phys. Rev. E 2009, 80, 056101. [Google Scholar] [CrossRef] [PubMed]
- Fan, S.; Work, D.B. A Heterogeneous Multiclass Traffic Flow Model with Creeping. SIAM J. Appl. Math. 2015, 75, 813–835. [Google Scholar] [CrossRef]
- Blandin, S.; Work, D.; Goatin, D.P.; Piccoli, B.; Bayen, A. A General Phase Transition Model for Vehicular Traffic. SIAM J. Appl. Math. 2011, 71, 107–127. [Google Scholar] [CrossRef]
- D’Apice, C.; Manzo, R.; Piccoli, B. A Fluid Dynamic Model for Telecommunication Networks with Sources and Destinations. SIAM J. Appl. Math. 2008, 68, 981–1003. [Google Scholar] [CrossRef][Green Version]
- D’Apice, C.; Manzo, R.; Piccoli, B. On the Validity of Fluid-Dynamic Models for Data Networks. J. Netw. 2012, 7, 980. [Google Scholar] [CrossRef]
- Frost, V.S.; Melamed, B. Traffic Modeling for Telecommunications Networks. IEEE Commun. Mag. 1994, 32, 70–81. [Google Scholar] [CrossRef]
- Espitia, N.; Girard, A.; Marchand, N.; Prieur, C. Fluid-Flow Modeling and Stability Analysis of Communication Networks. IFAC-PapersOnLine 2017, 50, 4534–4539. [Google Scholar] [CrossRef]
- Leugering, G.; Schmidt, J. On The Modelling and Stabilization of Flows in Metworks of Open Canals. SIAM J. Control Optim. 2002, 41, 164. [Google Scholar] [CrossRef]
- Gugat, M. Contamination Source Determination in Water Distribution Networks. SIAM J. Appl. Math. 2012, 72, 1772–1791. [Google Scholar] [CrossRef]
- Gugat, M.; Leugering, G. Global Boundary Controllability of the De St. Venant Equations Between Steady States. Ann. L’IHP Anal. Non Linéaire 2003, 20, 1–11. [Google Scholar] [CrossRef]
- Colombo, R.M.; Herty, L.; Sachers, V. On 2 × 2 Conservation Laws at a Junction. SIAM J. Math. Anal. 2002, 40, 605–622. [Google Scholar] [CrossRef]
- Bressan, A.; Canic, S.; Garavello, M.; Herty, M.; Piccoli, B. Flows on Networks: Recent Results and Perspectives. EMS Surv. Math. Sci. 2014, 1, 47–111. [Google Scholar] [CrossRef]
- Herty, M.; Klar, A.; Piccoli, B. Existence of Solutions for Supply Chain Models based on Partial Differential Equations. SIAM J. Math. Anal. 2007, 39, 160–173. [Google Scholar] [CrossRef]
- Armbruster, D.; De Beer, C.; Freitag, M.; Jagalski, T.; Ringhofer, C. Autonomous Control of production Networks using a Pheromone Approach. Physica A 2006, 363, 104–114. [Google Scholar] [CrossRef]
- Audenaert, P.; Colle, D.; Pickave, M. Policy-Compliant Maximum Network Flows. Appl. Sci. 2019, 9, 863. [Google Scholar] [CrossRef]
- Pyakurel, U.; Dempe, S. Network Flow with Intermediate Storage: Models and Algorithms. SN Oper. Res. Forum 2020, 1, 1–23. [Google Scholar] [CrossRef]
- D’Apice, C.; Manzo, R.; Piccoli, B. Modelling Supply Networks with Partial Differential Equations. Q. Appl. Math. 2009, 67, 419–440. [Google Scholar] [CrossRef]
- Armbruster, D.; Degond, P.; Ringhofer, C. Kinetic and Fluid Models for Supply Chains Supporting Policy Attributes. Bull. Inst. Math. Acad. Sin. 2007, 2, 433–460. [Google Scholar]
- Göttlich, S.; Herty, M.; Klar, A. Modelling and Optimization of Supply Chains on Complex Networks. Commun. Math. Sci. 2006, 4, 315–330. [Google Scholar] [CrossRef]
- Guo, P.; Sun, Z.; Peng, C.; Chen, H.; Ren, J. Transient-Flow Modeling of Vertical Fractured Wells with Multiple Hydraulic Fractures in Stress-Sensitive Gas Reservoirs. Appl. Sci. 2019, 9, 1359. [Google Scholar] [CrossRef]
- Bretti, G.; Natalini, R.; Piccoli, B. Numerical Approximations of a Traffic Flow Model on Networks. Netw. Heterog. Media 2006, 1, 57–84. [Google Scholar] [CrossRef]
- Buttazzo, G.; Santambrogio, F. Asymptotical Compliance Optimization for Connected Networks. Netw. Heterog. Media 2007, 2, 761–777. [Google Scholar] [CrossRef]
- Bürger, R.; Garcia, A.; Karlsen, K.H.; Towers, J.D. Difference Schemes, Entropy Solutions, and Speedup Impulse for an Inhomogeneous Kinematic Traffic Flow Model. Netw. Heterog. Media 2008, 3, 1–41. [Google Scholar] [CrossRef]
- Kurganov, A.; Polizzi, A. Non-Oscillatory Central Schemes for Traffic Flow Models with Arrhenius Look-Ahead Dynamics. Netw. Heterog. Media 2009, 4, 431–451. [Google Scholar] [CrossRef]
- Tossavainen, O.-P.; Work, D.B. Markov Chain Monte Carlo Based Inverse Modeling of Traffic Flows Using GPS Data. Netw. Heterog. Media 2013, 8, 803–824. [Google Scholar] [CrossRef]
- Reigstad, G.A. Numerical Network Models and Entropy Principles for Isothermal Junction Flow. Netw. Heterog. Media 2014, 9, 65–95. [Google Scholar] [CrossRef][Green Version]
- Herty, M. Modeling, Simulation and Optimization of Gas Networks with Compressors. Netw. Heterog. Media 2007, 2, 81–97. [Google Scholar] [CrossRef]
- Holden, H.; Risebro, N.S. Follow-the-Leader Models can be Viewed as a Numerical Approximation to the Lighthill-Whitham-Richards Model for Traffic Flow. Netw. Heterog. Media 2018, 13, 409–421. [Google Scholar] [CrossRef]
- Joly, P.; Kachanovska, M.; Semin, A. Wave Propagation in Fractal Trees. Mathematical and Numerical Issues. Netw. Heterog. Media 2019, 14, 205–264. [Google Scholar] [CrossRef]
- Mantri, Y.; Herty, M.; Noelle, S. Well-balanced Scheme for Gas-flow in Pipeline Networks. Netw. Heterog. Media 2019, 14, 659–676. [Google Scholar] [CrossRef]
- Qiu, Y.; Grundel, S.; Stoll, M.; Benner, P. Efficient Numerical Methods for Gas Network Modeling and Simulation. Netw. Heterog. Media 2020, 15, 653–679. [Google Scholar] [CrossRef]
- Briani, M.; Cristiani, E. An Easy-to-use Algorithm for Simulating Traffic Flow on Networks: Theoretical Study. Netw. Heterog. Media 2014, 9, 519–552. [Google Scholar] [CrossRef]
- Vitanov, N.K.; Dimitrova, Z.I.; Vitanov, K.N. Simple Equations Method (SEsM): Algorithm, Connection with Hirota Method, Inverse Scattering Transform Method, and Several Other Methods. Entropy 2021, 23, 10. [Google Scholar] [CrossRef] [PubMed]
- Vitanov, N.K. Recent Developments of the Methodology of the Modified Method of Simplest Equation with Application. Pliska Stud. Math. Bulg. 2019, 30, 29–42. [Google Scholar]
- Vitanov, N.K. Modified Method of Simplest Equation for Obtaining Exact Solutions of non-linear Partial Differential Equations: History, recent development and studied classes of equations. J. Theor. Appl. Mech. 2019, 49, 107–122. [Google Scholar] [CrossRef]
- Vitanov, N.K. The Simple Equations Method (SEsM) For Obtaining Exact Solutions Of non-linear PDEs: Opportunities Connected to the Exponential Functions. AIP Conf. Proc. 2019, 2159, 030038. [Google Scholar] [CrossRef]
- Vitanov, N.K.; Dimitrova, Z.I. Simple Equations Method (SEsM) and Other Direct Methods for Obtaining Exact Solutions of non-linear PDEs. AIP Conf. Proc. 2019, 2159, 030039. [Google Scholar] [CrossRef]
- Vitanov, N.K. Application of Simplest Equations of Bernoulli and Riccati Kind for Obtaining Exact Traveling-Wave Solutions for a Class of PDEs with Polynomial non-linearity. Commun. Non-Linear Sci. Numer. Simul. 2010, 15, 2050–2060. [Google Scholar] [CrossRef]
- Vitanov, N.K. Modified Method of Simplest Equation: Powerful Tool for Obtaining Exact and Approximate Traveling-Wave Solutions of non-linear PDEs. Commun. Non-Linear Sci. Numer. Simul. 2011, 16, 1176–1185. [Google Scholar] [CrossRef]
- Vitanov, N.K. On Modified Method of Simplest Equation for Obtaining Exact and Approximate Solutions of non-linear PDEs: The Role of the Simplest Equation. Commun. Non-Linear Sci. Numer. Simul. 2011, 16, 4215–4231. [Google Scholar] [CrossRef]
- Vitanov, N.K. On Modified Method of Simplest Equation for Obtaining Exact Solutions of non-linear PDEs: Case of Elliptic Simplest Equation. Pliska Stud. Math. Bulg. 2012, 21, 257–266. [Google Scholar]
- Vitanov, N.K.; Dimitrova, Z.I. Modified Method of Simplest Equation Applied to the non-linear Schrödinger Equation. J. Theor. Appl. Mech. Sofia 2018, 48, 59–68. [Google Scholar] [CrossRef]
- Jordanov, I.P.; Vitanov, N.K. On the Exact Traveling Wave Solutions of a Hyperbolic Reaction- Diffusion Equation. Stud. Comput. Intell. 2019, 793, 199–210. [Google Scholar] [CrossRef]
- Nikolova, E.V.; Chilikova-Lubomirova, M.; Vitanov, N.K. Exact Solutions of a Fifth-Order Korteweg–de Vries–type Equation Modeling non-linear Long Waves in Several Natural Phenomena. AIP Conf. Proc. 2021, 2321, 030026. [Google Scholar] [CrossRef]
- Vitanov, N.K. Simple Equations Method (SEsM) and Its Connection with the Inverse Scattering Transform Method. AIP Conf. Proc. 2021, 2321, 030035. [Google Scholar] [CrossRef]
- Vitanov, N.K.; Dimitrova, Z.I. Simple Equations Method (SEsM) and Its Particular Cases: Hirota Method. AIP Conf. Proc. 2021, 2321, 030036. [Google Scholar] [CrossRef]
- Vitanov, N.K.; Dimitrova, Z.I.; Vitanov, K.N. On the Use of Composite Functions in the Simple Equations Method to Obtain Exact Solutions of non-linear Differential Equations. Computation 2021, 9, 104. [Google Scholar] [CrossRef]
- Borisov, R.; Dimitrova, Z.I.; Vitanov, N.K. Statistical Characteristics of Stationary Flow of Substance in a Network Channel Containing Arbitrary Number of Arms. Entropy 2020, 22, 553. [Google Scholar] [CrossRef] [PubMed]
- Vitanov, N.K.; Vitanov, K.N.; Kantz, H. On the Motion of Substance in a Channel of a Network: Extended Model and New Classes of Probability Distributions. Entropy 2020, 22, 1240. [Google Scholar] [CrossRef] [PubMed]
- Katz, L. Unified Treatment of a Broad Class of Discrete Probability Distributions. In Classical and Contagious Discrete Distributions; Patil, G.P., Ed.; Statistical Publishing Society: Calcutta, India, 1965; pp. 175–182. [Google Scholar]
- Johnson, N.L.; Kemp, A.W.; Kotz, S. Univariate Discrete Distributions; Wiley: Hoboken, NJ, USA, 2005; ISBN 978-0-471-27246-5. [Google Scholar]
- Gurland, J.; Tripathi, R.C. Estimation of Parameters on Some Extensions of the Katz Family of Discrete Distributions Involving Hypergeometric Functions. In Statistical Distributions in Scientific Work, Vol. 1: Models and Structures; Patil, G.P., Kotz, S., Ord, J.K., Eds.; Reidel: Dordrecht, The Nethwrlands, 1975; pp. 59–82. ISBN 978-90-277-0609-6. [Google Scholar]
- Yousry, M.A.; Srivastava, R.C. The Hyper-Negative Binomial Distribution. Biom. J. 1987, 29, 875–884. [Google Scholar] [CrossRef]
- Bardwell, G.E.; Crow, E.L. A Two-Parameter Family of Hyper-Poisson Distributions. J. Am. Stat. Assoc. 1964, 59, 133–141. [Google Scholar] [CrossRef]
- Sundt, B.; Jewell, W.S. Further Results on Recursive Evaluation of Compound Distributions. ASTIN Bull. 1981, 18, 27–39. [Google Scholar] [CrossRef]
- Willmot, G.E. Sundt and Jewell’s Family of Discrete Distributions. ASTIN Bull. 1988, 18, 17–29. [Google Scholar] [CrossRef]
- Ord, J.K. Graphical Methods For a Class of Discrete Distributions. J. R. Stat. Soc. Ser. A 1967, 130, 232–238. [Google Scholar] [CrossRef]
- Ord, J.K. On a System of Discrete Distributions. Biometrika 1967, 54, 649–656. [Google Scholar] [CrossRef]
- Ord, J.K. Families of Frequency Distributions; Griffin: London, UK, 1972; ISBN 978-0852641378. [Google Scholar]
- Kemp, A.W. A Wide Class of Discrete Distributions and the Associated Differential Equations. Sankhya Ser. A 1968, 30, 401–410. [Google Scholar]
- Dacey, M.F. A Family of Discrete Probability Distributions Defined by the Generalized Hypergeometric Series. Sankhya Ser. B 1972, 34, 243–250. [Google Scholar]
- Chakraborty, S. Generating Discrete Analogues of Continuous Probability Distributions—A Survey of Methods and Constructions. J. Stat. Distrib. Appl. 2015, 2, 6. [Google Scholar] [CrossRef]
- Alzaatreh, A.; Lee, C.; Famoye, F. On the Discrete Analogues of Continuous Distributions. Stat. Methodol. 2012, 9, 589–603. [Google Scholar] [CrossRef]
- Vitanov, N.K.; Borisov, R.; Vitanov, K.N. On the Motion of Substance in a Channel and Growth of Random Networks. Physica A 2021, 581, 126207. [Google Scholar] [CrossRef]
- Newman, M. Networks; Oxford University Press: Oxford, UK, 2018; ISBN 978-0198805090. [Google Scholar]
- Krapivsky, P.L.; Redner, S.; Leyvraz, F. Connectivity of Growing Random Networks. Phys. Rev. Lett. 2000, 85, 4629–4632. [Google Scholar] [CrossRef]
- Krapivsky, P.L.; Redner, S. Organization of Growing Random Networks. Phys. Rev. E 2001, 63, 066123. [Google Scholar] [CrossRef] [PubMed]



Publisher’s Note: MDPI stays neutral with regard to jurisdictional claims in published maps and institutional affiliations. |
© 2022 by the author. Licensee MDPI, Basel, Switzerland. This article is an open access article distributed under the terms and conditions of the Creative Commons Attribution (CC BY) license (https://creativecommons.org/licenses/by/4.0/).
Share and Cite
Dimitrova, Z.I. Flows of Substances in Networks and Network Channels: Selected Results and Applications. Entropy 2022, 24, 1485. https://doi.org/10.3390/e24101485
Dimitrova ZI. Flows of Substances in Networks and Network Channels: Selected Results and Applications. Entropy. 2022; 24(10):1485. https://doi.org/10.3390/e24101485
Chicago/Turabian StyleDimitrova, Zlatinka I. 2022. "Flows of Substances in Networks and Network Channels: Selected Results and Applications" Entropy 24, no. 10: 1485. https://doi.org/10.3390/e24101485
APA StyleDimitrova, Z. I. (2022). Flows of Substances in Networks and Network Channels: Selected Results and Applications. Entropy, 24(10), 1485. https://doi.org/10.3390/e24101485
