A Hybrid PAPR Reduction Scheme in OFDM-IM Using Phase Rotation Factors and Dither Signals on Partial Sub-Carriers
Abstract
1. Introduction
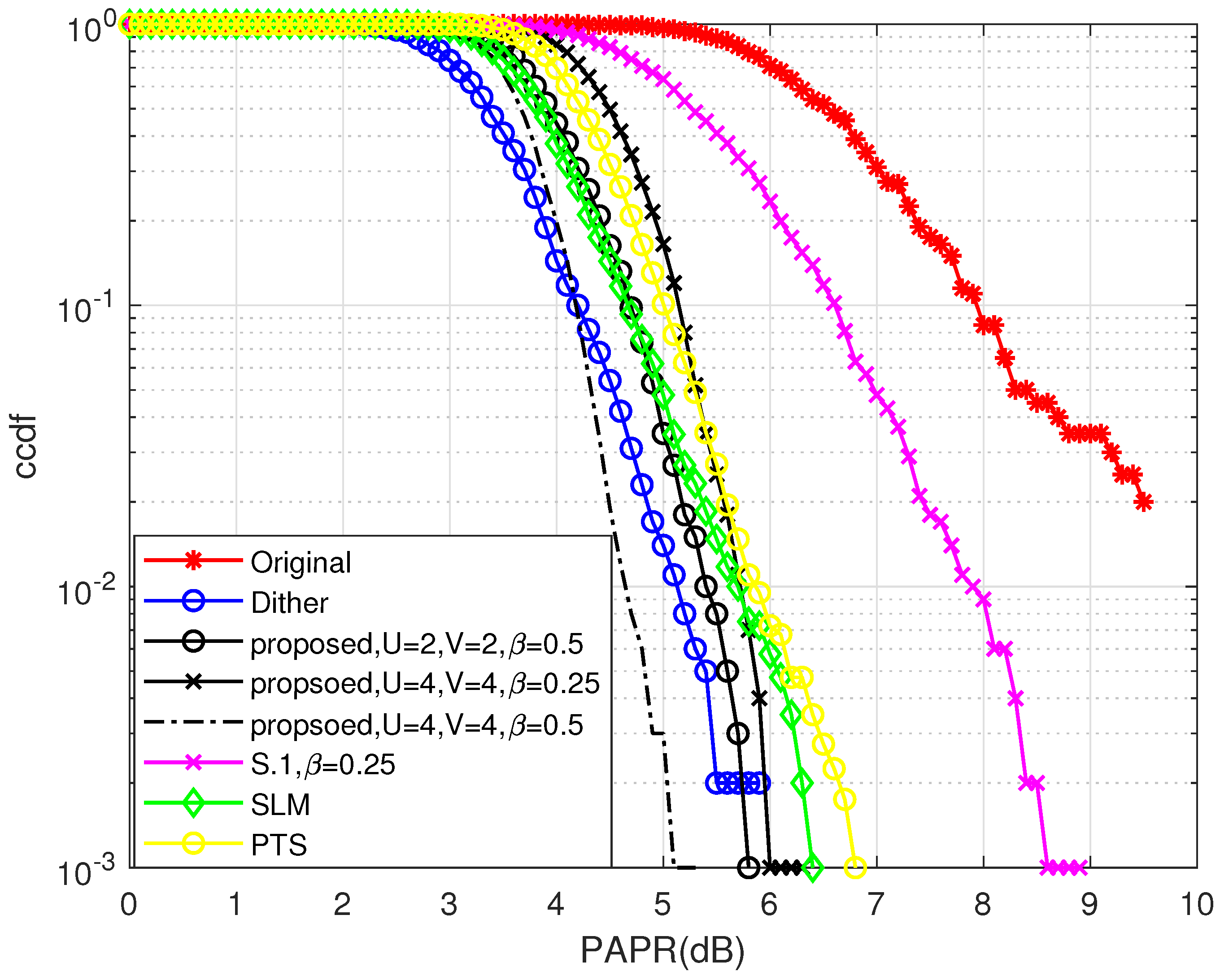
- This paper proposes a novel PAPR reduction method based on dither signals. The proposed method injects optimized constant amplitude signals on partial inactive sub-carriers. Comparisons show that utilizing partial idle sub-carriers can achieve better error performance than that of the conventional dither signal-based schemes.
- In order to solve the PAPR reduction performance degradation caused by the insufficient use of idle sub-carriers, the proposed PAPR reduction scheme introduces phase rotation operations. Simulation results show that compared with the conventional works, the proposed hybrid scheme can achieve better performance in terms of both PAPR and BER.
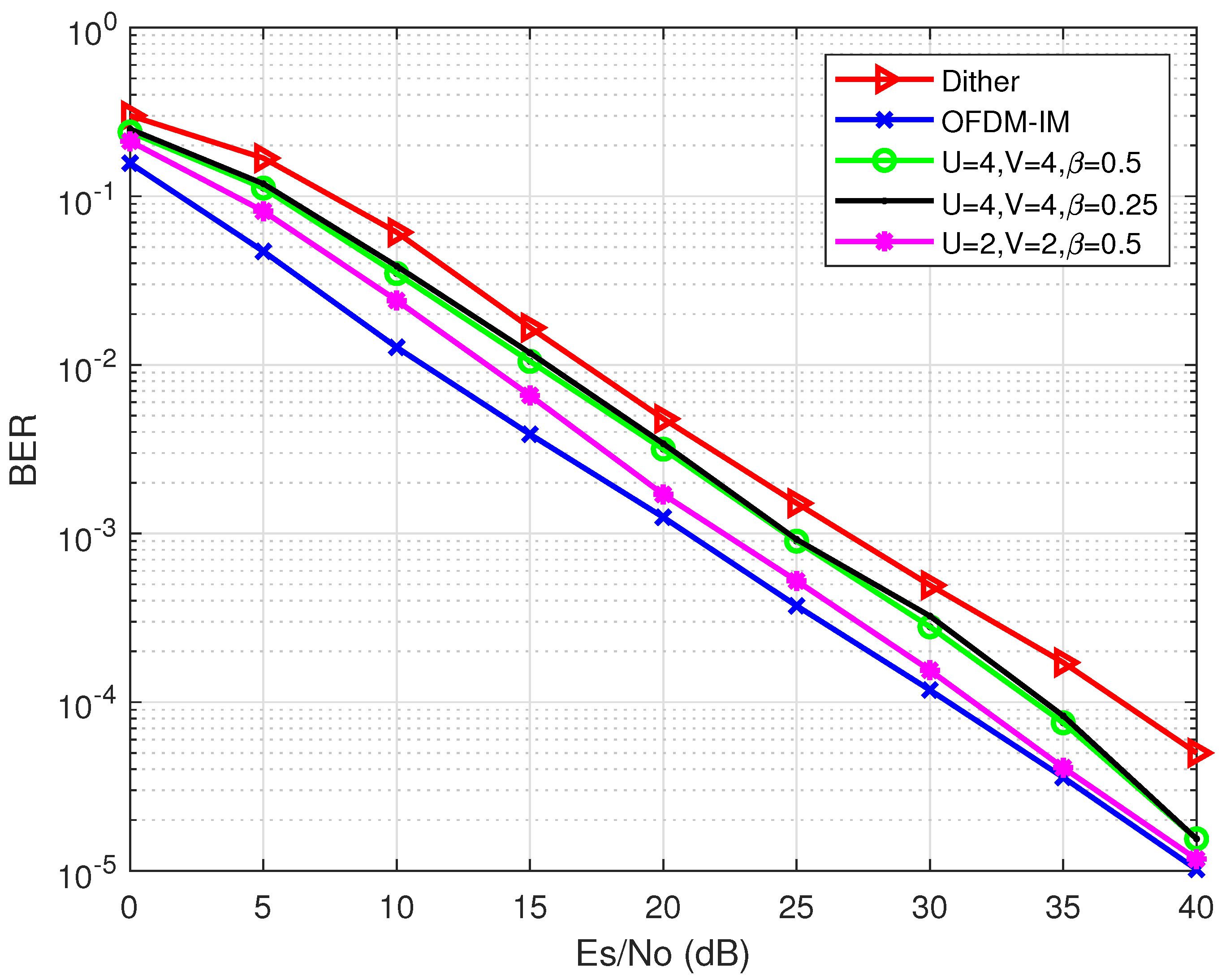
- This paper proposes an energy-based detection method in order to recover the transmitted signal. The proposed detection method is able to correctly detect the index of the transmitted phased rotation factor. Simulation results show that the decoding performance, which utilizes the proposed detection method is very close to the case where the side information is correctly received. Therefore, without sending side information, the spectral efficiency of OFDM-IM is higher than that of the previous works.
2. Preliminary Knowledge
2.1. OFDM with Index Modulation
2.2. PAPR
2.3. The Conventional PAPR Reduction with Dither Signals
3. The Hybrid PAPR Reduction Scheme with Phase Rotation Factors and Dither Signals on Partial Subcarriers
3.1. Interference Analysis
3.2. The PAPR Reduction Scheme Utilizing Partial Idle Sub-Carriers Based on CSI
3.3. The Proposed Hybrid PAPR Reduction Scheme
3.4. Energy Efficiency of the Proposed Schemes
4. Simulation Results
5. Conclusions
Author Contributions
Funding
Institutional Review Board Statement
Data Availability Statement
Conflicts of Interest
References
- Zhang, G.; De Leenheer, M.; Morea, A.; Mukherjee, B. A survey on OFDM-based elastic core optical networking. IEEE Commun. Surv. Tutor. 2012, 15, 65–87. [Google Scholar] [CrossRef]
- Ghosh, A.; Ratasuk, R.; Mondal, B.; Mangalvedhe, N.; Thomas, T. LTE-advanced: Next-generation wireless broadband technology. IEEE Wirel. Commun. 2012, 16, 10–22. [Google Scholar]
- Çatak, E.; Durak-Ata, L. Waveform design considerations for 5G wireless networks. In Towards 5G Wireless Networks: A Physical Layer Perspective; Books on Demand: Norderstedt, Germany, 2016; pp. 27–48. [Google Scholar]
- Başar, E.; Aygölü, Ü.; Panayırcı, E.; Poor, H.V. Orthogonal frequency division multiplexing with index modulation. IEEE Trans. Signal Process. 2013, 61, 5536–5549. [Google Scholar] [CrossRef]
- Mesleh, R.Y.; Haas, H.; Sinanovic, S.; Ahn, C.W.; Yun, S. Spatial modulation. IEEE Trans. Veh. Technol. 2008, 57, 2228–2241. [Google Scholar] [CrossRef]
- Başar, E. Index modulation techniques for 5G wireless networks. IEEE Commun. Mag. 2016, 54, 168–175. [Google Scholar] [CrossRef]
- Wen, M.; Zheng, B.; Kim, K.J.; Di Renzo, M.; Tsiftsis, T.A.; Chen, K.C.; Al-Dhahir, N. A survey on spatial modulation in emerging wireless systems: Research progresses and applications. IEEE J. Sel. Areas Commun. 2019, 37, 1949–1972. [Google Scholar] [CrossRef]
- Başar, E. OFDM with index modulation using coordinate interleaving. IEEE Wirel. Commun. Lett. 2015, 4, 381–384. [Google Scholar] [CrossRef]
- Cheng, X.; Wen, M.; Yang, L.; Li, Y. Index modulated OFDM with interleaved grouping for V2X communications. In Proceedings of the 17th International IEEE Conference on Intelligent Transportation Systems (ITSC), Qingdao, China, 8–11 October 2014; pp. 1097–1104. [Google Scholar]
- Ahsan, M.; Asif, H.M. ESIM-OFDM-based transceiver design of a visible light communication system. Int. J. Commun. Syst. 2017, 30, e3175. [Google Scholar] [CrossRef]
- Yang, P.; Xiao, Y.; Xiao, M.; Li, S. 6G wireless communications: Vision and potential techniques. IEEE Netw. 2019, 33, 70–75. [Google Scholar] [CrossRef]
- Zhang, S.-Y.; Shahrrava, B. A Selected Mapping Technique Using Interleavers for PAPR Reduction in OFDM Systems. Wirel. Pers. Commun. 2019, 99, 329–338. [Google Scholar] [CrossRef]
- Zhang, S.Y.; Shahrrava, B. A SLM Scheme for PAPR Reduction in Polar Coded OFDM-IM Systems without Using Side Information. IEEE Trans. Broadcast. 2020, 67, 463–472. [Google Scholar] [CrossRef]
- Krongold, B.S.; Jones, D.L. PAR reduction in OFDM via active constellation extension. IEEE Trans. Broadcast. 2003, 49, 258–268. [Google Scholar] [CrossRef]
- Zhang, S.-Y.; Shahrrava, B. A hybrid PAPR reduction scheme for OFDM systems using perfect sequences. IEEE Trans. Broadcast. 2019, 66, 177–186. [Google Scholar] [CrossRef]
- Muller, S.H.; Huber, J.B. OFDM with reduced peak-to-average power ratio by optimum combination of partial transmit sequences. Electron. Lett. 1997, 33, 368–369. [Google Scholar] [CrossRef]
- Zheng, J.; Lv, H. Peak-to-average power ratio reduction in OFDM index modulation through convex programming. IEEE Commun. Lett. 2017, 21, 1505–1508. [Google Scholar] [CrossRef]
- Kim, K.-H. PAPR reduction in OFDM-IM using multilevel dither signals. IEEE Commun. Lett. 2019, 23, 258–261. [Google Scholar] [CrossRef]
- Watanabe, S.; Miyajima, T.; Sugitani, Y. Dither Signal Design for PAPR Reduction in OFDM-IM. In Proceedings of the 2019 International Workshop on Smart Info-Media Systems, Tokyo, Japan, 4–6 September 2019; Volume 57. IEICE 318 Proceedings Series. [Google Scholar]
- Zhang, S.-Y.; Hui, Z. PAPR Reduction in OFDM-IM using dither signal sets. In Proceedings of the International Conference on Computer Engineering and Artificial Intelligence (ICCEAI), Shijiazhuang, China, 22–24 July 2022; pp. 275–278. [Google Scholar]
- Zhang, S.-Y.; Behnam, S. Polar-coded OFDM with index modulation. IEEE Access 2020, 9, 237–247. [Google Scholar] [CrossRef]
- Zheng, B.; Fangjiong, C.; Miaowen, W.; Fei, J.; Hua, Y.; Yun, L. Low-complexity ML detector and performance analysis for OFDM with in-phase/quadrature index modulation. IEEE Commun. Lett. 2015, 19, 1893–1896. [Google Scholar] [CrossRef]
- Ishikawa, N.; Sugiura, S.; Hanzo, L. Subcarrier-index modulation aided OFDM—Will it work? IEEE Access 2016, 4, 2580–2593. [Google Scholar] [CrossRef]
- Başar, E. Index modulation: A promising technique for 5G and beyond wireless networks. In Networks of the Future; CRC: Boca Raton, FL, USA, 2017; pp. 145–166. [Google Scholar]
- Zakaria, J.; Salleh, M. On the PAPR reduction technique: WP-PTS scheme with embedding the side information data. In Proceedings of the 2013 IEEE 11th Malaysia International Conference on Communications (MICC), Kuala Lumpur, Malaysia, 26–28 November 2013; pp. 351–356. [Google Scholar]
- Grant, M.; Boyd, S. CVX: Matlab Software for Disciplined Convex Programming, version 2.1. 2014. Available online: http://cvxr.com/cvx/ (accessed on 18 September 2022).
- Fan, R.; Yu, Y.J.; Guan, Y.L. Generalization of orthogonal frequency division multiplexing with index modulation. IEEE Trans. Wirel. Commun. 2015, 33, 5350–5359. [Google Scholar] [CrossRef]
- Mao, T.; Wang, Q.; Wang, Z.; Chen, S. Novel index modulation techniques: A survey. IEEE Commun. Surv. Tutor. 2018, 21, 315–348. [Google Scholar] [CrossRef]










Publisher’s Note: MDPI stays neutral with regard to jurisdictional claims in published maps and institutional affiliations. |
© 2022 by the authors. Licensee MDPI, Basel, Switzerland. This article is an open access article distributed under the terms and conditions of the Creative Commons Attribution (CC BY) license (https://creativecommons.org/licenses/by/4.0/).
Share and Cite
Zhang, S.-Y.; Zheng, H. A Hybrid PAPR Reduction Scheme in OFDM-IM Using Phase Rotation Factors and Dither Signals on Partial Sub-Carriers. Entropy 2022, 24, 1335. https://doi.org/10.3390/e24101335
Zhang S-Y, Zheng H. A Hybrid PAPR Reduction Scheme in OFDM-IM Using Phase Rotation Factors and Dither Signals on Partial Sub-Carriers. Entropy. 2022; 24(10):1335. https://doi.org/10.3390/e24101335
Chicago/Turabian StyleZhang, Si-Yu, and Hui Zheng. 2022. "A Hybrid PAPR Reduction Scheme in OFDM-IM Using Phase Rotation Factors and Dither Signals on Partial Sub-Carriers" Entropy 24, no. 10: 1335. https://doi.org/10.3390/e24101335
APA StyleZhang, S.-Y., & Zheng, H. (2022). A Hybrid PAPR Reduction Scheme in OFDM-IM Using Phase Rotation Factors and Dither Signals on Partial Sub-Carriers. Entropy, 24(10), 1335. https://doi.org/10.3390/e24101335

