High-Rate Continuous-Variable Quantum Key Distribution with Orbital Angular Momentum Multiplexing
Abstract
:1. Introduction
2. CVQKD with OAM Multiplexing
2.1. OAM Multiplexing Scheme
2.2. Propagation Characteristics of the LG Beam
3. Performance Analysis
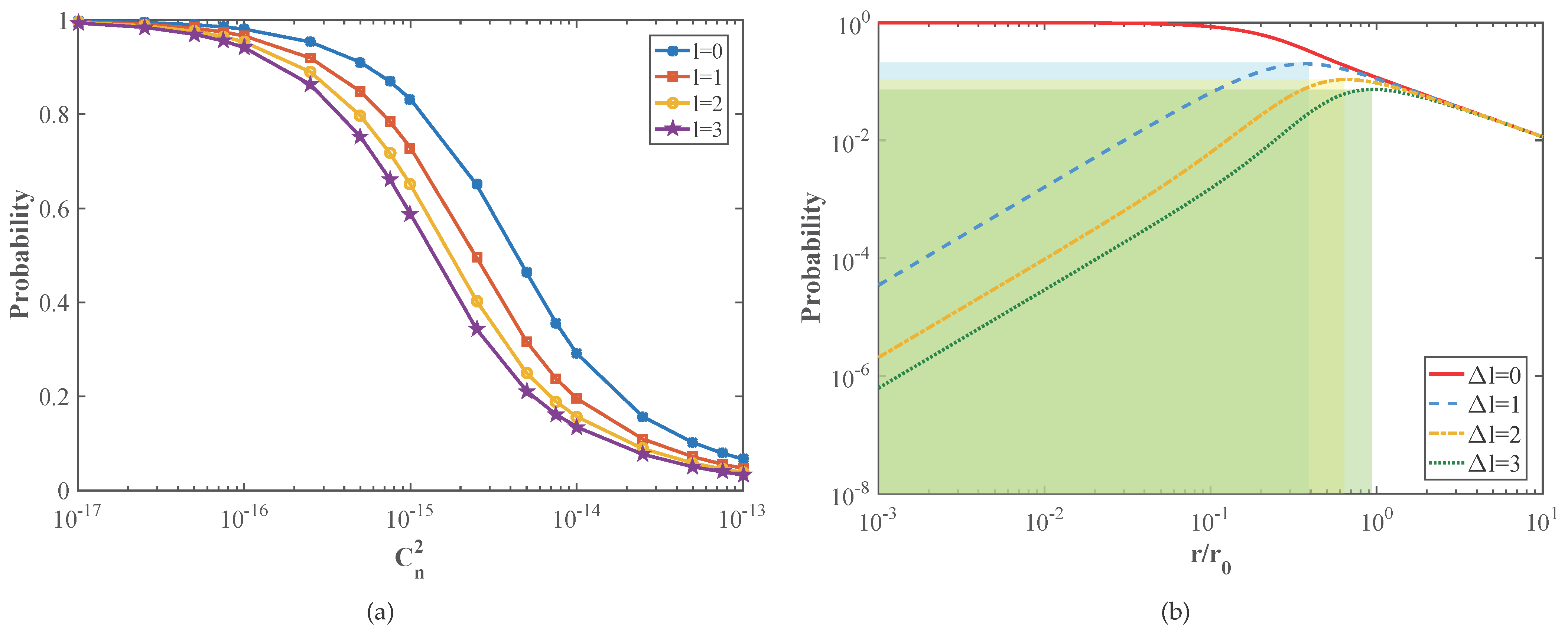
3.1. Transmittance
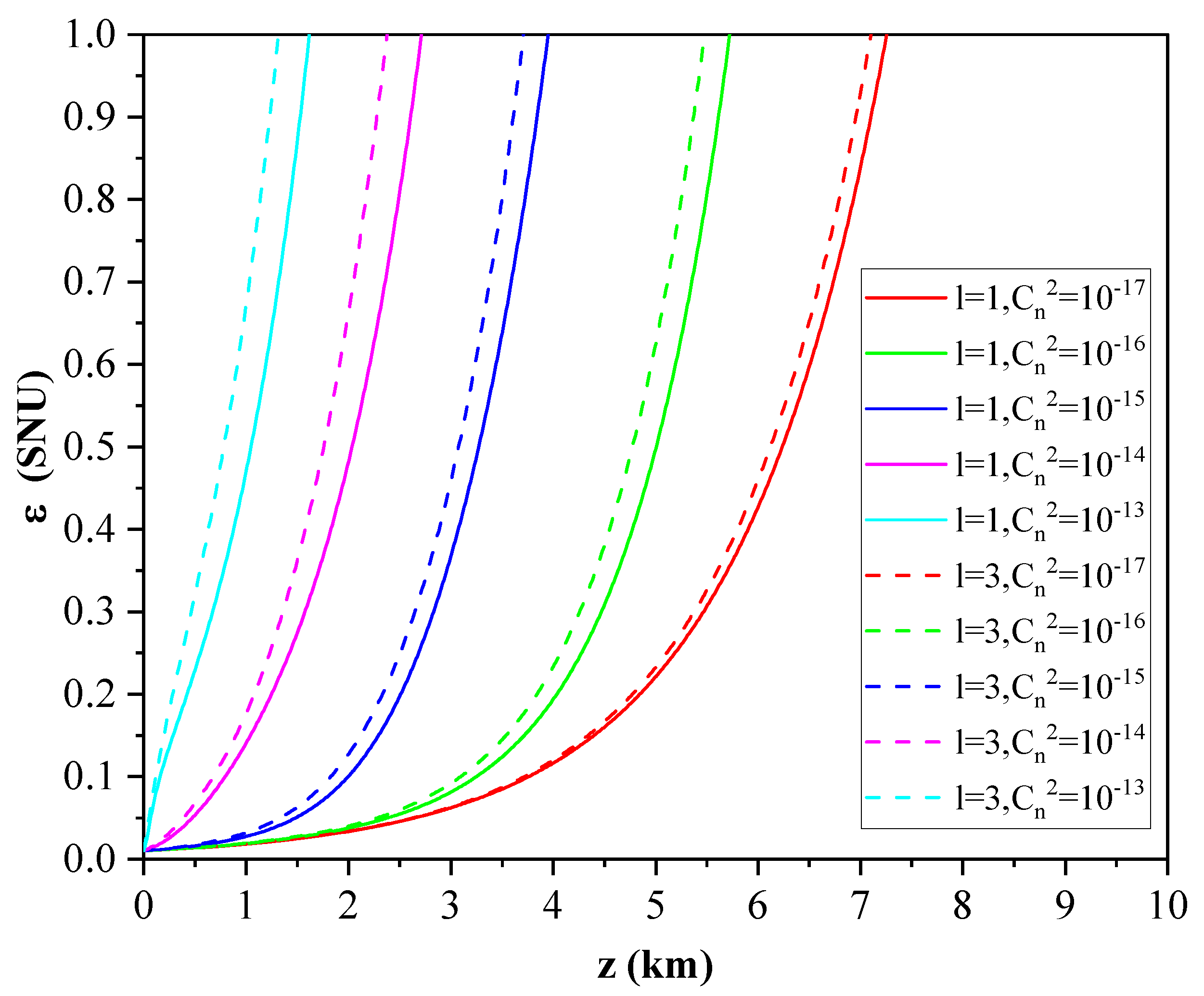
3.2. Excess Noise
3.3. Secret Key Rate
4. Conclusions
Author Contributions
Funding
Institutional Review Board Statement
Informed Consent Statement
Data Availability Statement
Conflicts of Interest
References
- Huang, D.; Huang, P.; Lin, D.K.; Wang, C.; Zeng, G.H. High-speed continuous-variable quantum key distribution without sending a local oscillator. Opt. Lett. 2015, 40, 3695–3698. [Google Scholar] [CrossRef] [PubMed]
- Wang, X.Y.; Zhang, Y.C.; Yu, S.; Guo, H. High speed error correction for continuous-variable quantum key distribution with multi-edge type LDPC code. Sci. Rep. 2018, 8, 10543. [Google Scholar] [CrossRef] [Green Version]
- Zhao, W.; Shi, R.H.; Shi, J.J.; Ruan, X.C.; Guo, Y.; Huang, D. Phase-noise estimation using Bayesian inference for discretely modulated measurement-device-independent continuous-variable quantum key distribution. Phys. Rev. A 2020, 102, 022621. [Google Scholar] [CrossRef]
- Grosshans, F.; Grangier, P. Continuous variable quantum cryptography using coherent states. Phys. Rev. Lett. 2002, 88, 057902. [Google Scholar] [CrossRef] [PubMed] [Green Version]
- Liao, Q.; Wang, Y.J.; Huang, D.; Guo, Y. Dual-phase-modulated plug-and-play measurement-device-independent continuous-variable quantum key distribution. Opt. Express 2018, 26, 19907–19920. [Google Scholar] [CrossRef] [PubMed] [Green Version]
- Lupo, C. Towards practical security of continuous-variable quantum key distribution. Phys. Rev. A 2020, 102, 022623. [Google Scholar] [CrossRef]
- Wang, X.Y.; Liu, W.Y.; Wang, P.; Li, Y.M. Experimental study on all-fiber-based unidimensional continuous-variable quantum key distribution. Phys. Rev. A 2017, 95, 062330. [Google Scholar] [CrossRef] [Green Version]
- Zhang, Y.C.; Chen, Z.Y.; Pirandola, S.; Wang, X.Y.; Zhou, C.; Chu, B.J.; Zhao, Y.J.; Xu, B.J.; Yu, S.; Guo, H. Long-distance continuous-variable quantum key distribution over 202.81 km of fiber. Phys. Rev. Lett. 2020, 125, 010502. [Google Scholar] [CrossRef]
- Ren, S.J.; Yang, S.; Wonfor, A.; White, I.; Penty, R. Demonstration of high-speed and low-complexity continuous variable quantum key distribution system with local local oscillator. Sci. Rep. 2021, 11, 9454. [Google Scholar] [CrossRef]
- Cavaliere, F.; Prati, E.; Poti, L.; Muhammad, I.; Catuogno, T. Secure quantum communication technologies and systems: From labs to markets. Quantum Rep. 2020, 2, 80–106. [Google Scholar] [CrossRef] [Green Version]
- Pan, Z.W.; Djordjevic, I.B. An overview of geometrical optics restricted quantum key distribution. Entropy 2021, 23, 1003. [Google Scholar] [CrossRef] [PubMed]
- Yang, Y.; Li, F.L. Entanglement properties of non-Gaussian resources generated via photon subtraction and addition and continuous-variable quantum-teleportation improvement. Phys. Rev. A 2009, 80, 022315. [Google Scholar] [CrossRef]
- Navarrete-Benlloch, C.; García-Patrón, R.; Shapiro, J.H.; Cerf, N.J. Enhancing quantum entanglement by photon addition and subtraction. Phys. Rev. A 2012, 86, 012328. [Google Scholar] [CrossRef]
- Seshadreesan, K.P.; Krovi, H.; Guha, S. Continuous-variable entanglement distillation over a pure loss channel with multiple quantum scissors. Phys. Rev. A 2019, 100, 022315. [Google Scholar] [CrossRef] [Green Version]
- Ghalaii, M.; Ottaviani, C.; Kumar, R.; Pirandola, S.; Razavi, M. Discrete-modulation continuous-variable quantum key distribution enhanced by quantum scissors. IEEE J. Sel. Area. Commun. 2020, 38, 506–516. [Google Scholar] [CrossRef] [Green Version]
- Ghalaii, M.; Ottaviani, C.; Kumar, R.; Pirandola, S.; Razavi, M. Long-distance continuous-variable quantum key distribution with quantum scissors. IEEE J. Sel. Top. Quant. 2020, 26, 6400212. [Google Scholar] [CrossRef]
- Guo, Y.; Ye, W.; Zhong, H.; Liao, Q. Continuous-variable quantum key distribution with non-Gaussian quantum catalysis. Phys. Rev. A 2019, 99, 032327. [Google Scholar] [CrossRef] [Green Version]
- Ye, W.; Zhong, H.; Liao, Q.; Huang, D.; Hu, L.Y.; Guo, Y. Improvement of self-referenced continuous-variable quantum key distribution with quantum photon catalysis. Opt. Express 2019, 27, 12. [Google Scholar] [CrossRef] [PubMed]
- Hu, L.Y.; Al-amri, M.; Liao, Z.Y.; Zubairy, M.S. Continuous-variable quantum key distribution with non-Gaussian operations. Phys. Rev. A 2020, 102, 012608. [Google Scholar] [CrossRef]
- Blandino, R.; Leverrier, A.; Barbieri, M.; Etesse, J.; Grangier, P.; Tualle-Brouri, R. Improving the maximum transmission distance of continuous-variable quantum key distribution using a noiseless amplifier. Phys. Rev. A 2012, 86, 012327. [Google Scholar] [CrossRef] [Green Version]
- Zhang, H.; Fang, J.; He, G.Q. Improving the performance of the four-state continuous-variable quantum key distribution by using optical amplifiers. Phys. Rev. A 2012, 86, 022338. [Google Scholar] [CrossRef] [Green Version]
- Xu, B.J.; Tang, C.M.; Chen, H.; Zhang, W.Z.; Zhu, F.C. Improving the maximum transmission distance of four-state continuous-variable quantum key distribution by using a noiseless linear amplifier. Phys. Rev. A 2013, 87, 062311. [Google Scholar] [CrossRef] [Green Version]
- Leverrier, A.; Grangier, P. Unconditional security proof of long-distance continuous-variable quantum key distribution with discrete modulation. Phys. Rev. Lett. 2009, 102, 180504. [Google Scholar] [CrossRef] [Green Version]
- Yang, J.; Xu, B.J.; Peng, X.; Guo, H. Four-state continuous-variable quantum key distribution with long secure distance. Phys. Rev. A 2012, 85, 052302. [Google Scholar] [CrossRef] [Green Version]
- Fang, J.; Huang, P.; Zeng, G.H. Multichannel parallel continuous-variable quantum key distribution with Gaussian modulation. Phys. Rev. A 2014, 89, 022315. [Google Scholar] [CrossRef] [Green Version]
- Zhao, W.; Liao, Q.; Huang, D.; Guo, Y. Performance analysis of the satellite-to-ground continuous-variable quantum key distribution with orthogonal frequency division multiplexed modulation. Quantum Inf. Process. 2019, 18, 39. [Google Scholar] [CrossRef]
- Fossier, S.; Diamanti, E.; Debuisschert, T.; Villing, A.; Tualle-Brouri, R.; Grangier, P. Field test of a continuous-variable quantum key distribution prototype. New J. Phys. 2009, 11, 045023. [Google Scholar] [CrossRef]
- Qu, Z.; Djordjevic, I.B. High-speed free-space optical continuous-variable quantum key distribution enabled by three-dimensional multiplexing. Opt. Express 2017, 25, 7919–7928. [Google Scholar] [CrossRef] [PubMed]
- Qu, Z.; Djordjevic, I.B. Four-dimensionally multiplexed eight-state continuous-variable quantum key distribution over turbulent channels. IEEE Photonics J. 2017, 9, 7600408. [Google Scholar] [CrossRef]
- Cheng, W.C.; Zhang, W.; Jing, H.Y.; Gao, S.H.; Zhang, H.L. Orbital angular momentum for wireless communications. IEEE Wirel. Commun. 2019, 26, 100–107. [Google Scholar] [CrossRef] [Green Version]
- Vahidinia, V.; Atashbar, M.; Hosseinzadeh, S. Orbital angular momentum and mode multiplexing based index modulation. Phys. Commun. 2021, 48, 101407. [Google Scholar] [CrossRef]
- Cui, X.Z.; Yin, X.L.; Chang, H.; Sun, Z.W.; Wang, Y.J.; Tian, Q.H.; Wu, G.H.; Xin, X.J. Analysis of the orbital angular momentum spectrum for Laguerre-Gaussian beams under moderate-to-strong marine-atmospheric turbulent channels. Opt. Commun. 2018, 426, 471–476. [Google Scholar] [CrossRef]
- Jin, D.; Guo, Y.; Wang, Y.J.; Huang, D. Parameter estimation of orbital angular momentum based continuous-variable quantum key distribution. J. Appl. Phys. 2020, 127, 21. [Google Scholar] [CrossRef]
- Wang, Z.Q.; Malaney, R.; Burnett, B. Satellite-to-earth quantum key distribution via orbital angular momentum. Phys. Rev. Appl. 2020, 14, 064031. [Google Scholar] [CrossRef]
- Pecoraro, A.; Cardano, F.; Marrucci, L.; Porzio, A. Continuous variable entanglement in non-zero orbital angular momentum states. Multidiscip. Digit. Publ. Inst. Proc. 2019, 12, 7. [Google Scholar] [CrossRef] [Green Version]
- Jo, Y.; Park, H.S.; Lee, S.W.; Son, W. Efficient high-dimensional quantum key distribution with hybrid encoding. Entropy 2019, 21, 80. [Google Scholar] [CrossRef] [Green Version]
- Gibson, G.; Courtial, J.; Padgett, M.J.; Vasnetsov, M.; Pas’ko, V.; Barnett, S.M.; Franke-Arnold, S. Free-space information transfer using light beams carrying orbital angular momentum. Opt. Express 2004, 12, 5448–5456. [Google Scholar] [CrossRef] [PubMed] [Green Version]
- Anguita, J.A.; Neifeld, M.A.; Vasic, B.V. Turbulence-induced channel crosstalk in an orbital angular momentum-multiplexed free-space optical link. Appl. Opt. 2008, 47, 2414–2429. [Google Scholar] [CrossRef] [PubMed]
- Paterson, C. Atmospheric turbulence and orbital angular momentum of single photons for optical communication. Phys. Rev. Lett. 2005, 94, 153901. [Google Scholar] [CrossRef] [PubMed]
- Tyler, G.A.; Boyd, R.W. Influence of atmospheric turbulence on the propagation of quantum states of light carrying orbital angular momentum. Opt. Lett. 2009, 34, 142–144. [Google Scholar] [CrossRef]
- Davis, J.I. Consideration of atmospheric turbulence in laser systems design. Appl. Opt. 1966, 5, 139–147. [Google Scholar] [CrossRef] [PubMed]
- Wang, X.Y.; Zhao, S.H.; Dong, C.; Zhu, Z.D.; Gu, W.Y. Orbital angular momentum-encoded measurement device independent quantum key distribution under atmospheric turbulence. Quantum Inf. Process. 2019, 18, 304. [Google Scholar] [CrossRef]
- Zuo, Z.Y.; Wang, Y.J.; Huang, D.; Guo, Y. Atmospheric effects on satellite-mediated continuous-variable quantum key distribution. J. Phys. A Math. Theor. 2020, 53, 465302. [Google Scholar] [CrossRef]
- Wang, S.Y.; Huang, P.; Liu, M.M.; Wang, T.; Wang, P.; Zeng, G.H. Phase compensation for free-space continuous-variable quantum key distribution. Opt. Express 2020, 28, 10737–10745. [Google Scholar] [CrossRef]
- Xiang, Y.; Wang, Y.J.; Ruan, X.C.; Zuo, Z.Y.; Guo, Y. Improving the discretely modulated underwater continuous-variable quantum key distribution with heralded hybrid linear amplifier. Phys. Scripta 2021, 96, 065103. [Google Scholar] [CrossRef]








| Parameter | p | /cm | nm | m | m | km | |
|---|---|---|---|---|---|---|---|
| Value | 0 | 3 | 1550 | 0.01 | ∞ | 5 |
| Intensity | Weak Turbulence | Intermediate Turbulence | Strong Turbulence |
|---|---|---|---|
| < | > |
Publisher’s Note: MDPI stays neutral with regard to jurisdictional claims in published maps and institutional affiliations. |
© 2021 by the authors. Licensee MDPI, Basel, Switzerland. This article is an open access article distributed under the terms and conditions of the Creative Commons Attribution (CC BY) license (https://creativecommons.org/licenses/by/4.0/).
Share and Cite
Ruan, X.; Shi, W.; Chen, G.; Zhao, W.; Zhang, H.; Guo, Y. High-Rate Continuous-Variable Quantum Key Distribution with Orbital Angular Momentum Multiplexing. Entropy 2021, 23, 1187. https://doi.org/10.3390/e23091187
Ruan X, Shi W, Chen G, Zhao W, Zhang H, Guo Y. High-Rate Continuous-Variable Quantum Key Distribution with Orbital Angular Momentum Multiplexing. Entropy. 2021; 23(9):1187. https://doi.org/10.3390/e23091187
Chicago/Turabian StyleRuan, Xinchao, Wenhao Shi, Guojun Chen, Wei Zhao, Hang Zhang, and Ying Guo. 2021. "High-Rate Continuous-Variable Quantum Key Distribution with Orbital Angular Momentum Multiplexing" Entropy 23, no. 9: 1187. https://doi.org/10.3390/e23091187
APA StyleRuan, X., Shi, W., Chen, G., Zhao, W., Zhang, H., & Guo, Y. (2021). High-Rate Continuous-Variable Quantum Key Distribution with Orbital Angular Momentum Multiplexing. Entropy, 23(9), 1187. https://doi.org/10.3390/e23091187

