Coherent Superpositions of Photon Creation Operations and Their Application to Multimode States of Light
Abstract
1. Introduction
2. Materials and Methods
2.1. Heralded Single-Photon Addition by PDC
2.2. Multimode Superposition of Heralded Single-Photon Additions
2.3. Two-Mode Homodyne Detection and Tomographic State Reconstruction
2.4. Entanglement Measurements
3. Results
3.1. Delocalized Single Photon
3.2. Hybrid Entanglement
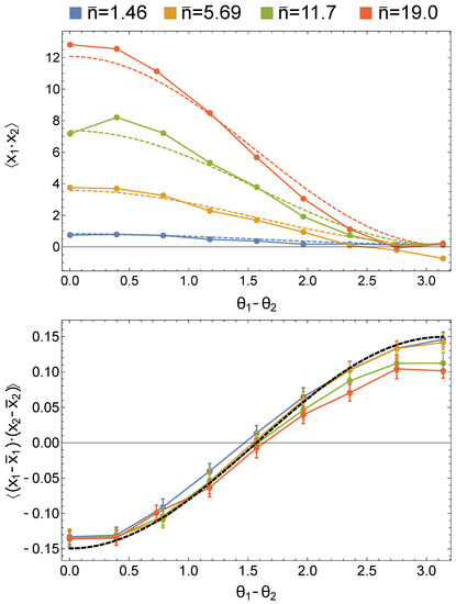
3.3. Entanglement of Macroscopic Coherent States
3.4. Discorrelation
4. Discussion and Conclusions
Author Contributions
Funding
Institutional Review Board Statement
Informed Consent Statement
Data Availability Statement
Conflicts of Interest
References
- Zavatta, A.; Viciani, S.; Bellini, M. Quantum-to-Classical Transition with Single-Photon-Added Coherent States of Light. Science 2004, 306, 660–662. [Google Scholar] [CrossRef]
- Zavatta, A.; Viciani, S.; Bellini, M. Single-photon excitation of a coherent state: Catching the elementary step of stimulated light emission. Phys. Rev. A 2005, 72, 023820. [Google Scholar] [CrossRef]
- Rahimi-Keshari, S.; Kiesel, T.; Vogel, W.; Grandi, S.; Zavatta, A.; Bellini, M. Quantum Process Nonclassicality. Phys. Rev. Lett. 2013, 110, 160401. [Google Scholar] [CrossRef] [PubMed]
- Lee, C.T. Theorem on nonclassical states. Phys. Rev. A 1995, 52, 3374–3376. [Google Scholar] [CrossRef]
- Wenger, J.; Tualle-Brouri, R.; Grangier, P. Non-Gaussian Statistics from Individual Pulses of Squeezed Light. Phys. Rev. Lett. 2004, 92, 153601. [Google Scholar] [CrossRef] [PubMed]
- Ourjoumtsev, A. Generating Optical Schrodinger Kittens for Quantum Information Processing. Science 2006, 312, 83–86. [Google Scholar] [CrossRef] [PubMed]
- Zavatta, A.; Parigi, V.; Kim, M.S.; Bellini, M. Subtracting photons from arbitrary light fields: Experimental test of coherent state invariance by single-photon annihilation. New J. Phys. 2008, 10, 123006. [Google Scholar] [CrossRef]
- Bellini, M.; Zavatta, A. Manipulating Light States by Single-Photon Addition and Subtraction. In Progress in Optics; Elsevier: Amsterdam, The Netherlands, 2010; Volume 55, pp. 41–83. [Google Scholar] [CrossRef]
- Parigi, V.; Zavatta, A.; Kim, M.; Bellini, M. Probing Quantum Commutation Rules by Addition and Subtraction of Single Photons to/from a Light Field. Science 2007, 317, 1890–1893. [Google Scholar] [CrossRef] [PubMed]
- Kim, M.S.; Jeong, H.; Zavatta, A.; Parigi, V.; Bellini, M. Scheme for Proving the Bosonic Commutation Relation Using Single-Photon Interference. Phys. Rev. Lett. 2008, 101, 260401. [Google Scholar] [CrossRef] [PubMed]
- Zavatta, A.; Parigi, V.; Kim, M.S.; Jeong, H.; Bellini, M. Experimental Demonstration of the Bosonic Commutation Relation via Superpositions of Quantum Operations on Thermal Light Fields. Phys. Rev. Lett. 2009, 103, 140406. [Google Scholar] [CrossRef]
- Zavatta, A.; Fiurášek, J.; Bellini, M. A high-fidelity noiseless amplifier for quantum light states. Nature Photon 2011, 5, 52–56. [Google Scholar] [CrossRef]
- Coelho, A.S.; Costanzo, L.S.; Zavatta, A.; Hughes, C.; Kim, M.; Bellini, M. Universal Continuous-Variable State Orthogonalizer and Qubit Generator. Phys. Rev. Lett. 2016, 116, 110501. [Google Scholar] [CrossRef] [PubMed]
- Costanzo, L.S.; Coelho, A.S.; Biagi, N.; Fiurášek, J.; Bellini, M.; Zavatta, A. Measurement-Induced Strong Kerr Nonlinearity for Weak Quantum States of Light. Phys. Rev. Lett. 2017, 119, 013601. [Google Scholar] [CrossRef]
- Ourjoumtsev, A.; Dantan, A.; Tualle-Brouri, R.; Grangier, P. Increasing Entanglement between Gaussian States by Coherent Photon Subtraction. Phys. Rev. Lett. 2007, 98, 030502. [Google Scholar] [CrossRef] [PubMed]
- Takahashi, H.; Neergaard-Nielsen, J.S.; Takeuchi, M.; Takeoka, M.; Hayasaka, K.; Furusawa, A.; Sasaki, M. Entanglement distillation from Gaussian input states. Nat. Photon 2010, 4, 178–181. [Google Scholar] [CrossRef]
- Lvovsky, A.I.; Hansen, H.; Aichele, T.; Benson, O.; Mlynek, J.; Schiller, S. Quantum State Reconstruction of the Single-Photon Fock State. Phys. Rev. Lett. 2001, 87, 050402. [Google Scholar] [CrossRef]
- Zavatta, A.; Viciani, S.; Bellini, M. Tomographic reconstruction of the single-photon Fock state by high-frequency homodyne detection. Phys. Rev. A 2004, 70, 053821. [Google Scholar] [CrossRef]
- Ou, Z.Y. Parametric down-conversion with coherent pulse pumping and quantum interference between independent fields. Quantum Semiclass. Opt. 1997, 9, 599–614. [Google Scholar] [CrossRef]
- Aichele, T.; Lvovsky, A.; Schiller, S. Optical mode characterization of single photons prepared by means of conditional measurements on a biphoton state. Eur. Phys. J. D At. Mol. Opt. Phys. 2002, 18, 237–245. [Google Scholar] [CrossRef]
- Bellini, M.; Marin, F.; Viciani, S.; Zavatta, A.; Arecchi, F.T. Nonlocal Pulse Shaping with Entangled Photon Pairs. Phys. Rev. Lett. 2003, 90, 043602. [Google Scholar] [CrossRef] [PubMed]
- Viciani, S.; Zavatta, A.; Bellini, M. Nonlocal modulations on the temporal and spectral profiles of an entangled photon pair. Phys. Rev. A 2004, 69, 053801. [Google Scholar] [CrossRef]
- Klyshko, D.N. Utilization of vacuum fluctuations as an optical brightness standard. Sov. J. Quantum Electron. 1977, 7, 591–595. [Google Scholar] [CrossRef]
- Kitaeva, G.K.; Penin, A.N.; Fadeev, V.V.; Yanait, Y.A. Measurement of brightness of light fluxes using vacuum fluctuations as a reference. Sov. Phys. Dokl. 1979, 24, 564. [Google Scholar]
- Migdall, A. Correlated-Photon Metrology without Absolute Standards. Phys. Today 1999, 52, 41–46. [Google Scholar] [CrossRef]
- Zavatta, A.; Parigi, V.; Bellini, M. Experimental nonclassicality of single-photon-added thermal light states. Phys. Rev. A 2007, 75, 052106. [Google Scholar] [CrossRef]
- Kiesel, T.; Vogel, W.; Parigi, V.; Zavatta, A.; Bellini, M. Experimental determination of a nonclassical Glauber-Sudarshan P function. Phys. Rev. A 2008, 78, 021804. [Google Scholar] [CrossRef]
- Kiesel, T.; Vogel, W.; Bellini, M.; Zavatta, A. Nonclassicality quasiprobability of single-photon-added thermal states. Phys. Rev. A 2011, 83, 032116. [Google Scholar] [CrossRef]
- Zavatta, A.; D’Angelo, M.; Parigi, V.; Bellini, M. Remote Preparation of Arbitrary Time-Encoded Single-Photon Ebits. Phys. Rev. Lett. 2006, 96, 020502. [Google Scholar] [CrossRef]
- Leonhardt, U. Measuring the Quantum State of Light; Cambridge Studies in Modern Optics; Cambridge University Press: Cambridge, UK; New York, NY, USA, 1997. [Google Scholar]
- Vogel, K.; Risken, H. Determination of quasiprobability distributions in terms of probability distributions for the rotated quadrature phase. Phys. Rev. A 1989, 40, 2847–2849. [Google Scholar] [CrossRef] [PubMed]
- Smithey, D.T.; Beck, M.; Raymer, M.G.; Faridani, A. Measurement of the Wigner distribution and the density matrix of a light mode using optical homodyne tomography: Application to squeezed states and the vacuum. Phys. Rev. Lett. 1993, 70, 1244–1247. [Google Scholar] [CrossRef]
- Zavatta, A.; Bellini, M.; Ramazza, P.L.; Marin, F.; Arecchi, F.T. Time-domain analysis of quantum states of light: Noise characterization and homodyne tomography. J. Opt. Soc. Am. B 2002, 19, 1189. [Google Scholar] [CrossRef]
- Zavatta, A.; D’Angelo, M.; Parigi, V.; Bellini, M. Two-mode homodyne tomography of time-encoded single-photon ebits. Laser Phys. 2006, 16, 1501–1507. [Google Scholar] [CrossRef]
- Hradil, Z.; Řeháček, J.; Fiurášek, J.; Ježek, M. Maximum-Likelihood Methods in Quantum Mechanics. In Quantum State Estimation; Lecture Notes in Physics; Paris, M., Řeháček, J., Eds.; Springer: Berlin/Heidelberg, Germany, 2004; Volume 649, pp. 59–112. [Google Scholar] [CrossRef]
- Lvovsky, A.I. Iterative maximum-likelihood reconstruction in quantum homodyne tomography. J. Opt. B Quantum Semiclass. Opt. 2004, 6, S556–S559. [Google Scholar] [CrossRef]
- Horodecki, M.; Horodecki, P.; Horodecki, R. Separability of mixed states: Necessary and sufficient conditions. Phys. Lett. A 1996, 223, 1–8. [Google Scholar] [CrossRef]
- Peres, A. Separability Criterion for Density Matrices. Phys. Rev. Lett. 1996, 77, 1413–1415. [Google Scholar] [CrossRef] [PubMed]
- Vidal, G.; Werner, R.F. Computable measure of entanglement. Phys. Rev. A 2002, 65, 032314. [Google Scholar] [CrossRef]
- Terhal, B.M. Bell inequalities and the separability criterion. Phys. Lett. A 2000, 271, 319–326. [Google Scholar] [CrossRef]
- Terhal, B.M. Detecting quantum entanglement. Theor. Comput. Sci. 2002, 287, 313–335. [Google Scholar] [CrossRef]
- Horodecki, P.; Lewenstein, M. Bound Entanglement and Continuous Variables. Phys. Rev. Lett. 2000, 85, 2657–2660. [Google Scholar] [CrossRef] [PubMed]
- Jeong, H.; Zavatta, A.; Kang, M.; Lee, S.W.; Costanzo, L.S.; Grandi, S.; Ralph, T.C.; Bellini, M. Generation of hybrid entanglement of light. Nat. Photon 2014, 8, 564–569. [Google Scholar] [CrossRef]
- D’Angelo, M.; Zavatta, A.; Parigi, V.; Bellini, M. Tomographic test of Bell’s inequality for a time-delocalized single photon. Phys. Rev. A 2006, 74, 052114. [Google Scholar] [CrossRef]
- Morin, O.; Bancal, J.D.; Ho, M.; Sekatski, P.; D’Auria, V.; Gisin, N.; Laurat, J.; Sangouard, N. Witnessing Trustworthy Single-Photon Entanglement with Local Homodyne Measurements. Phys. Rev. Lett. 2013, 110, 130401. [Google Scholar] [CrossRef]
- Morin, O.; Huang, K.; Liu, J.; Le Jeannic, H.; Fabre, C.; Laurat, J. Remote creation of hybrid entanglement between particle-like and wave-like optical qubits. Nat. Photon 2014, 8, 570–574. [Google Scholar] [CrossRef]
- Costanzo, L.S.; Zavatta, A.; Grandi, S.; Bellini, M.; Jeong, H.; Kang, M.; Lee, S.W.; Ralph, T.C. Properties of hybrid entanglement between discrete- and continuous-variable states of light. Phys. Scr. 2015, 90, 074045. [Google Scholar] [CrossRef]
- Agarwal, G.S.; Tara, K. Nonclassical properties of states generated by the excitations on a coherent state. Phys. Rev. A 1991, 43, 492–497. [Google Scholar] [CrossRef]
- Costanzo, L.S.; Zavatta, A.; Grandi, S.; Bellini, M.; Jeong, H.; Kang, M.; Lee, S.W.; Ralph, T.C. Experimental hybrid entanglement between quantum and classical states of light. Int. J. Quantum Inform. 2014, 12, 1560015. [Google Scholar] [CrossRef]
- Hradil, Z.; Mogilevtsev, D.; Řeháček, J. Biased Tomography Schemes: An Objective Approach. Phys. Rev. Lett. 2006, 96, 230401. [Google Scholar] [CrossRef]
- Biagi, N.; Costanzo, L.S.; Bellini, M.; Zavatta, A. Entangling Macroscopic Light States by Delocalized Photon Addition. Phys. Rev. Lett. 2020, 124, 033604. [Google Scholar] [CrossRef] [PubMed]
- Sekatski, P.; Sangouard, N.; Stobińska, M.; Bussières, F.; Afzelius, M.; Gisin, N. Proposal for exploring macroscopic entanglement with a single photon and coherent states. Phys. Rev. A 2012, 86, 060301. [Google Scholar] [CrossRef]
- Lee, C.W.; Jeong, H. Quantification of Macroscopic Quantum Superpositions within Phase Space. Phys. Rev. Lett. 2011, 106, 220401. [Google Scholar] [CrossRef] [PubMed]
- Fröwis, F.; Sekatski, P.; Dür, W.; Gisin, N.; Sangouard, N. Macroscopic quantum states: Measures, fragility, and implementations. Rev. Mod. Phys. 2018, 90, 025004. [Google Scholar] [CrossRef]
- Jeong, H.; Kang, M.; Kwon, H. Characterizations and quantifications of macroscopic quantumness and its implementations using optical fields. Opt. Commun. 2015, 337, 12–21. [Google Scholar] [CrossRef][Green Version]
- Bruno, N.; Martin, A.; Sekatski, P.; Sangouard, N.; Thew, R.T.; Gisin, N. Displacement of entanglement back and forth between the micro and macro domains. Nat. Phys. 2013, 9, 545–548. [Google Scholar] [CrossRef]
- Lvovsky, A.I.; Ghobadi, R.; Chandra, A.; Prasad, A.S.; Simon, C. Observation of micro–macro entanglement of light. Nat. Phys. 2013, 9, 541–544. [Google Scholar] [CrossRef]
- Sychev, D.V.; Novikov, V.A.; Pirov, K.K.; Simon, C.; Lvovsky, A.I. Entanglement of macroscopically distinct states of light. Optica 2019, 6, 1425. [Google Scholar] [CrossRef]
- Meyer-Scott, E.; Tiedau, J.; Harder, G.; Shalm, L.K.; Bartley, T.J. Discorrelated quantum states. Sci. Rep. 2017, 7, 41622. [Google Scholar] [CrossRef]
- Ekert, A.K. Quantum cryptography based on Bell’s theorem. Phys. Rev. Lett. 1991, 67, 661–663. [Google Scholar] [CrossRef]
- Bennett, C.H.; Brassard, G.; Mermin, N.D. Quantum cryptography without Bell’s theorem. Phys. Rev. Lett. 1992, 68, 557–559. [Google Scholar] [CrossRef]
- Shamir, A.; Rivest, R.L.; Adleman, L.M. Mental Poker. In The Mathematical Gardner; Klarner, D.A., Ed.; Springer: Boston, MA, USA, 1981; pp. 37–43. [Google Scholar] [CrossRef]
- Rivest, R.L.; Shamir, A.; Adleman, L. A method for obtaining digital signatures and public-key cryptosystems. Commun. ACM 1978, 21, 120–126. [Google Scholar] [CrossRef]
- Zhai, Y.; Becerra, F.E.; Glebov, B.L.; Wen, J.; Lita, A.E.; Calkins, B.; Gerrits, T.; Fan, J.; Nam, S.W.; Migdall, A. Photon-number-resolved detection of photon-subtracted thermal light. Opt. Lett. 2013, 38, 2171. [Google Scholar] [CrossRef]
- Biagi, N.; Francesconi, S.; Gessner, M.; Bellini, M.; Zavatta, A. Remote Phase Sensing by Coherent Single Photon Addition. Submitted 2021. [Google Scholar]









Publisher’s Note: MDPI stays neutral with regard to jurisdictional claims in published maps and institutional affiliations. |
© 2021 by the authors. Licensee MDPI, Basel, Switzerland. This article is an open access article distributed under the terms and conditions of the Creative Commons Attribution (CC BY) license (https://creativecommons.org/licenses/by/4.0/).
Share and Cite
Biagi, N.; Francesconi, S.; Zavatta, A.; Bellini, M. Coherent Superpositions of Photon Creation Operations and Their Application to Multimode States of Light. Entropy 2021, 23, 999. https://doi.org/10.3390/e23080999
Biagi N, Francesconi S, Zavatta A, Bellini M. Coherent Superpositions of Photon Creation Operations and Their Application to Multimode States of Light. Entropy. 2021; 23(8):999. https://doi.org/10.3390/e23080999
Chicago/Turabian StyleBiagi, Nicola, Saverio Francesconi, Alessandro Zavatta, and Marco Bellini. 2021. "Coherent Superpositions of Photon Creation Operations and Their Application to Multimode States of Light" Entropy 23, no. 8: 999. https://doi.org/10.3390/e23080999
APA StyleBiagi, N., Francesconi, S., Zavatta, A., & Bellini, M. (2021). Coherent Superpositions of Photon Creation Operations and Their Application to Multimode States of Light. Entropy, 23(8), 999. https://doi.org/10.3390/e23080999

