On the α-q-Mutual Information and the α-q-Capacities
Abstract
1. Introduction
2. Sharma–Mittal Entropy
- GSK1
- is continuous in ;
- GSK2
- takes its largest value for the uniform distribution, , i.e., , for any ;
- GSK3
- is expandable: for all ;
- GSK4
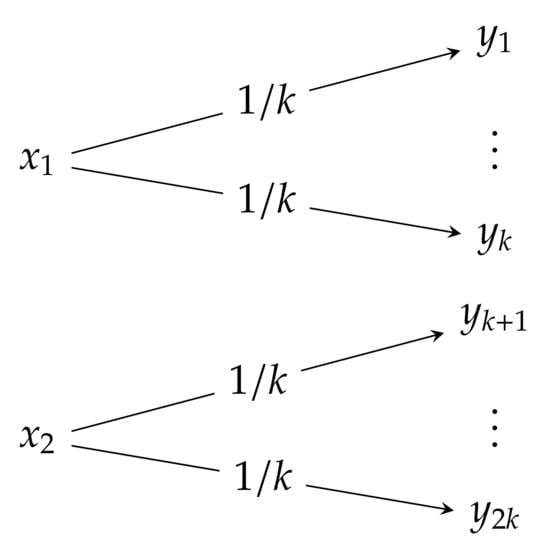
- Let , , , such that , and , where and are some fixed parameters. Then,where f is an invertible continuous function and is the -escort distribution of distribution defined in
- GSK5
- .
3. Sharma–Mittal Information Transfer Axioms
Sharma–Mittal Information Transfer Axioms
- (A1)
- The channel cannot convey negative information, i.e.,
- (A2)
- The information transfer is zero in the case of a totally destructive channel, i.e.,which is consistent with the conclusion that the average probability of error is one, , in the case of a totally destructive channel.
- (A3)
- In the case of perfect transmission, the information transfer is equal to the input information, i.e.,which is consistent with the conclusion that the average probability of error is zero, , in the case of a perfect transmission channel, so that all the information from the input is conveyed.
- (A4)
- The channel cannot transfer more information than it is possible to be sent, i.e.,which means that a channel cannot add additional information.
- (A5)
- The channel cannot transfer more information than it is possible to be received, i.e.,which means that a channel cannot add additional information.
- (A6)
- Consistency with the Shannon case:
4. The α-Mutual Information and the α-Capacity
- (A1)
- The channel cannot convey negative information, i.e.,
- (A2)
- The (maximal) information transfer is zero in the case of a totally destructive channel, i.e.,
- (A3)
- In the case of perfect transmission, the (maximal) information transfer is equal to the (maximal) input information, i.e.,
- (A4)
- The channel cannot transfer more information than it is possible to be sent, i.e.,
- (A5)
- The channel cannot transfer more information than it is possible to be received, i.e.,
- (A6)
- Consistency with the Shannon case:
5. Alternative Definitions of the α-Mutual Information and the α-Channel Capacity
5.1. Information Transfer Measures by Sibson
5.2. Information Transfer Measures by Augustin and Csiszar
5.3. Information Transfer Measures by Lapidoth, Pfister, Tomamichel and Hayashi
5.4. Information Transfer Measures by Chapeau-Blondeau, Delahaies, Rousseau, Tridenski, Zamir, Ingber and Harremoes
5.5. Information Transfer Measures by Jizba, Kleinert and Shefaat
6. The α-q Mutual Information and the α-q-Capacity
6.1. The α-q Information Transfer Measures and Its Instances
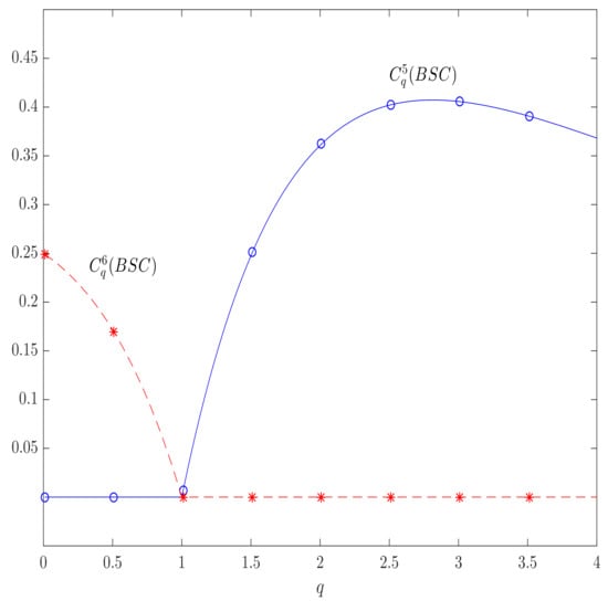
6.2. The α-q-Capacity of Binary Symmetric Channels
7. An Overview of the Previous Approaches to Sharma–Mittal Information Transfer Measures
7.1. Daróczy’s Capacity
7.2. Yamano Capacities
7.3. Landsber–Vedral Capacities
7.4. Chapeau-Blondeau–Delahaies–Rousseau Capacities
8. Conclusions and Future Work
Author Contributions
Funding
Data Availability Statement
Conflicts of Interest
References
- Ilić, V.M.; Stanković, M.S. A unified characterization of generalized information and certainty measures. Phys. A Stat. Mech. Appl. 2014, 415, 229–239. [Google Scholar] [CrossRef]
- Renyi, A. Probability Theory; North-Holland Series in applied mathematics and mechanics; North-Holland Publishing Company: Amsterdam, The Netherlands, 1970. [Google Scholar]
- Tsallis, C. Possible generalization of Boltzmann-Gibbs statistics. J. Stat. Phys. 1988, 52, 479–487. [Google Scholar] [CrossRef]
- Landsberg, P.T.; Vedral, V. Distributions and channel capacities in generalized statistical mechanics. Phys. Lett. A 1998, 247, 211–217. [Google Scholar] [CrossRef]
- Frank, T.; Daffertshofer, A. Exact time-dependent solutions of the Renyi Fokker-Planck equation and the Fokker-Planck equations related to the entropies proposed by Sharma and Mittal. Phys. A Stat. Mech. Appl. 2000, 285, 351–366. [Google Scholar] [CrossRef]
- Sharma, B.; Mittal, D. New non-additive measures of entropy for discrete probability distributions. J. Math. Sci. 1975, 10, 28–40. [Google Scholar]
- Tsallis, C. What are the numbers that experiments provide. Quim. Nova 1994, 17, 468–471. [Google Scholar]
- Nivanen, L.; Le Méhauté, A.; Wang, Q.A. Generalized algebra within a nonextensive statistics. Rep. Math. Phys. 2003, 52, 437–444. [Google Scholar] [CrossRef]
- Ilić, V.M.; Stanković, M.S. Generalized Shannon-Khinchin axioms and uniqueness theorem for pseudo-additive entropies. Phys. A Stat. Mech. Appl. 2014, 411, 138–145. [Google Scholar] [CrossRef]
- Jizba, P.; Korbel, J. When Shannon and Khinchin meet Shore and Johnson: Equivalence of information theory and statistical inference axiomatics. Phys. Rev. E 2020, 101, 042126. [Google Scholar] [CrossRef]
- Esteban, M.D.; Morales, D. A summary on entropy statistics. Kybernetika 1995, 31, 337–346. [Google Scholar]
- Lenzi, E.; Scarfone, A. Extensive-like and intensive-like thermodynamical variables in generalized thermostatistics. Phys. A Stat. Mech. Appl. 2012, 391, 2543–2555. [Google Scholar] [CrossRef]
- Frank, T.; Plastino, A. Generalized thermostatistics based on the Sharma-Mittal entropy and escort mean values. Eur. Phys. J. B Condens. Matter Complex Syst. 2002, 30, 543–549. [Google Scholar] [CrossRef]
- Aktürk, O.Ü.; Aktürk, E.; Tomak, M. Can Sobolev inequality be written for Sharma-Mittal entropy? Int. J. Theor. Phys. 2008, 47, 3310–3320. [Google Scholar] [CrossRef]
- Mazumdar, S.; Dutta, S.; Guha, P. Sharma–Mittal quantum discord. Quantum Inf. Process. 2019, 18, 1–26. [Google Scholar] [CrossRef]
- Elhoseiny, M.; Elgammal, A. Generalized Twin Gaussian processes using Sharma–Mittal divergence. Mach. Learn. 2015, 100, 399–424. [Google Scholar] [CrossRef][Green Version]
- Koltcov, S.; Ignatenko, V.; Koltsova, O. Estimating Topic Modeling Performance with Sharma–Mittal Entropy. Entropy 2019, 21, 660. [Google Scholar] [CrossRef]
- Jawad, A.; Bamba, K.; Younas, M.; Qummer, S.; Rani, S. Tsallis, Rényi and Sharma-Mittal holographic dark energy models in loop quantum cosmology. Symmetry 2018, 10, 635. [Google Scholar] [CrossRef]
- Ghaffari, S.; Ziaie, A.; Moradpour, H.; Asghariyan, F.; Feleppa, F.; Tavayef, M. Black hole thermodynamics in Sharma–Mittal generalized entropy formalism. Gen. Relativ. Gravit. 2019, 51, 1–11. [Google Scholar] [CrossRef]
- Américo, A.; Khouzani, M.; Malacaria, P. Conditional Entropy and Data Processing: An Axiomatic Approach Based on Core-Concavity. IEEE Trans. Inf. Theory 2020, 66, 5537–5547. [Google Scholar] [CrossRef]
- Girardin, V.; Lhote, L. Rescaling entropy and divergence rates. IEEE Trans. Inf. Theory 2015, 61, 5868–5882. [Google Scholar] [CrossRef]
- Ciuperca, G.; Girardin, V.; Lhote, L. Computation and estimation of generalized entropy rates for denumerable Markov chains. IEEE Trans. Inf. Theory 2011, 57, 4026–4034. [Google Scholar] [CrossRef]
- Sibson, R. Information radius. Z. Wahrscheinlichkeitstheorie Verwandte Geb. 1969, 14, 149–160. [Google Scholar] [CrossRef]
- Arimoto, S. Information Mesures and Capacity of Order α for Discrete Memoryless Channels. In Topics in Information Theory; Colloquia Mathematica Societatis János Bolyai; Csiszár, I., Elias, P., Eds.; North-Holland Pub. Co.: Amsterdam, The Netherlands, 1977; Volume 16, pp. 41–52. [Google Scholar]
- Augustin, U. Noisy Channels. Ph.D. Thesis, Universität Erlangen-Nürnberg, Erlangen, Germany, 1978. [Google Scholar]
- Csiszár, I. Generalized cutoff rates and Rényi’s information measures. IEEE Trans. Inf. Theory 1995, 41, 26–34. [Google Scholar] [CrossRef]
- Lapidoth, A.; Pfister, C. Two measures of dependence. Entropy 2019, 21, 778. [Google Scholar] [CrossRef]
- Tomamichel, M.; Hayashi, M. Operational interpretation of Rényi information measures via composite hypothesis testing against product and Markov distributions. IEEE Trans. Inf. Theory 2017, 64, 1064–1082. [Google Scholar] [CrossRef]
- Verdú, S. α-mutual information. In Proceedings of the 2015 Information Theory and Applications Workshop (ITA), San Diego, CA, USA, 1–6 February 2015; pp. 1–6. [Google Scholar]
- Daróczy, Z. Generalized information functions. Inf. Control 1970, 16, 36–51. [Google Scholar] [CrossRef]
- Chapeau-Blondeau, F.; Rousseau, D.; Delahaies, A. Renyi entropy measure of noise-aided information transmission in a binary channel. Phys. Rev. E 2010, 81, 051112. [Google Scholar] [CrossRef]
- Chapeau-Blondeau, F.; Delahaies, A.; Rousseau, D. Tsallis entropy measure of noise-aided information transmission in a binary channel. Phys. Lett. A 2011, 375, 2211–2219. [Google Scholar] [CrossRef]
- Yamano, T. A possible extension of Shannon’s information theory. Entropy 2001, 3, 280–292. [Google Scholar] [CrossRef]
- Shannon, C.E. A mathematical theory of communication. Bell Syst. Tech. J. 1948, 27, 379–423. [Google Scholar] [CrossRef]
- Arimoto, S. Computation of random coding exponent functions. Inf. Theory IEEE Trans. 1976, 22, 665–671. [Google Scholar] [CrossRef]
- Gallager, R. A simple derivation of the coding theorem and some applications. IEEE Trans. Inf. Theory 1965, 11, 3–18. [Google Scholar] [CrossRef]
- Cover, T.M.; Thomas, J.A. Elements of Information Theory (Wiley Series in Telecommunications and Signal Processing); John Wiley & Sons, Inc: Hoboken, NJ, USA, 2006. [Google Scholar]
- Fehr, S.; Berens, S. On the conditional Rényi entropy. Inf. Theory IEEE Trans. 2014, 60, 6801–6810. [Google Scholar] [CrossRef]
- Wilde, M.M.; Winter, A.; Yang, D. Strong converse for the classical capacity of entanglement-breaking and Hadamard channels via a sandwiched Rényi relative entropy. Commun. Math. Phys. 2014, 331, 593–622. [Google Scholar] [CrossRef]
- Gupta, M.K.; Wilde, M.M. Multiplicativity of completely bounded p-norms implies a strong converse for entanglement-assisted capacity. Commun. Math. Phys. 2015, 334, 867–887. [Google Scholar] [CrossRef]
- Beigi, S. Sandwiched Rényi divergence satisfies data processing inequality. J. Math. Phys. 2013, 54, 122202. [Google Scholar] [CrossRef]
- Hayashi, M.; Tomamichel, M. Correlation detection and an operational interpretation of the Rényi mutual information. J. Math. Phys. 2016, 57, 102201. [Google Scholar] [CrossRef]
- Hayashi, M.; Tajima, H. Measurement-based formulation of quantum heat engines. Phys. Rev. A 2017, 95, 032132. [Google Scholar] [CrossRef]
- Hayashi, M. Quantum Wiretap Channel With Non-Uniform Random Number and Its Exponent and Equivocation Rate of Leaked Information. IEEE Trans. Inf. Theory 2015, 61, 5595–5622. [Google Scholar] [CrossRef]
- Cai, C.; Verdú, S. Conditional Rényi Divergence Saddlepoint and the Maximization of α-Mutual Information. Entropy 2019, 21, 969. [Google Scholar] [CrossRef]
- Tridenski, S.; Zamir, R.; Ingber, A. The Ziv–Zakai–Rényi bound for joint source-channel coding. IEEE Trans. Inf. Theory 2015, 61, 4293–4315. [Google Scholar] [CrossRef]
- Harremoës, P. Interpretations of Rényi entropies and divergences. Phys. A Stat. Mech. Its Appl. 2006, 365, 57–62. [Google Scholar] [CrossRef]
- Jizba, P.; Kleinert, H.; Shefaat, M. Rényi’s information transfer between financial time series. Phys. A Stat. Mech. Appl. 2012, 391, 2971–2989. [Google Scholar] [CrossRef]
- Jizba, P.; Arimitsu, T. The world according to Rényi: Thermodynamics of multifractal systems. Ann. Phys. 2004, 312, 17–59. [Google Scholar] [CrossRef]
- Iwamoto, M.; Shikata, J. Information theoretic security for encryption based on conditional Rényi entropies. In Proceedings of the International Conference on Information Theoretic Security, Singapore, 28–30 November 2013; pp. 103–121. [Google Scholar]
- Ilić, V.; Djordjević, I.; Stanković, M. On a general definition of conditional Rényi entropies. Proceedings 2018, 2, 166. [Google Scholar] [CrossRef]
- Fano, R.M. Transmission of Information; M.I.T. Press: Cambridge, MA, USA, 1961. [Google Scholar]
- Ilic, V.M.; Djordjevic, I.B.; Küeppers, F. On the Daróczy-Tsallis capacities of discrete channels. Entropy 2015, 20, 2. [Google Scholar]
- Yamano, T. Information theory based on nonadditive information content. Phys. Rev. E 2001, 63, 046105. [Google Scholar] [CrossRef]
- Tsallis, C.; Gell-Mann, M.; Sato, Y. Asymptotically scale-invariant occupancy of phase space makes the entropy Sq extensive. Proc. Natl. Acad. Sci. USA 2005, 102, 15377–15382. [Google Scholar] [CrossRef]
- Korbel, J.; Hanel, R.; Thurner, S. Classification of complex systems by their sample-space scaling exponents. New J. Phys. 2018, 20, 093007. [Google Scholar] [CrossRef]







| S | ||
Publisher’s Note: MDPI stays neutral with regard to jurisdictional claims in published maps and institutional affiliations. |
© 2021 by the authors. Licensee MDPI, Basel, Switzerland. This article is an open access article distributed under the terms and conditions of the Creative Commons Attribution (CC BY) license (https://creativecommons.org/licenses/by/4.0/).
Share and Cite
Ilić, V.M.; Djordjević, I.B. On the α-q-Mutual Information and the α-q-Capacities. Entropy 2021, 23, 702. https://doi.org/10.3390/e23060702
Ilić VM, Djordjević IB. On the α-q-Mutual Information and the α-q-Capacities. Entropy. 2021; 23(6):702. https://doi.org/10.3390/e23060702
Chicago/Turabian StyleIlić, Velimir M., and Ivan B. Djordjević. 2021. "On the α-q-Mutual Information and the α-q-Capacities" Entropy 23, no. 6: 702. https://doi.org/10.3390/e23060702
APA StyleIlić, V. M., & Djordjević, I. B. (2021). On the α-q-Mutual Information and the α-q-Capacities. Entropy, 23(6), 702. https://doi.org/10.3390/e23060702

