Gradient Profile Estimation Using Exponential Cubic Spline Smoothing in a Bayesian Framework
Abstract
1. Introduction
2. Separating Spaces in Bayesian Context
3. The Bayesian Recipe
The Choice of Prior Probability Distributions
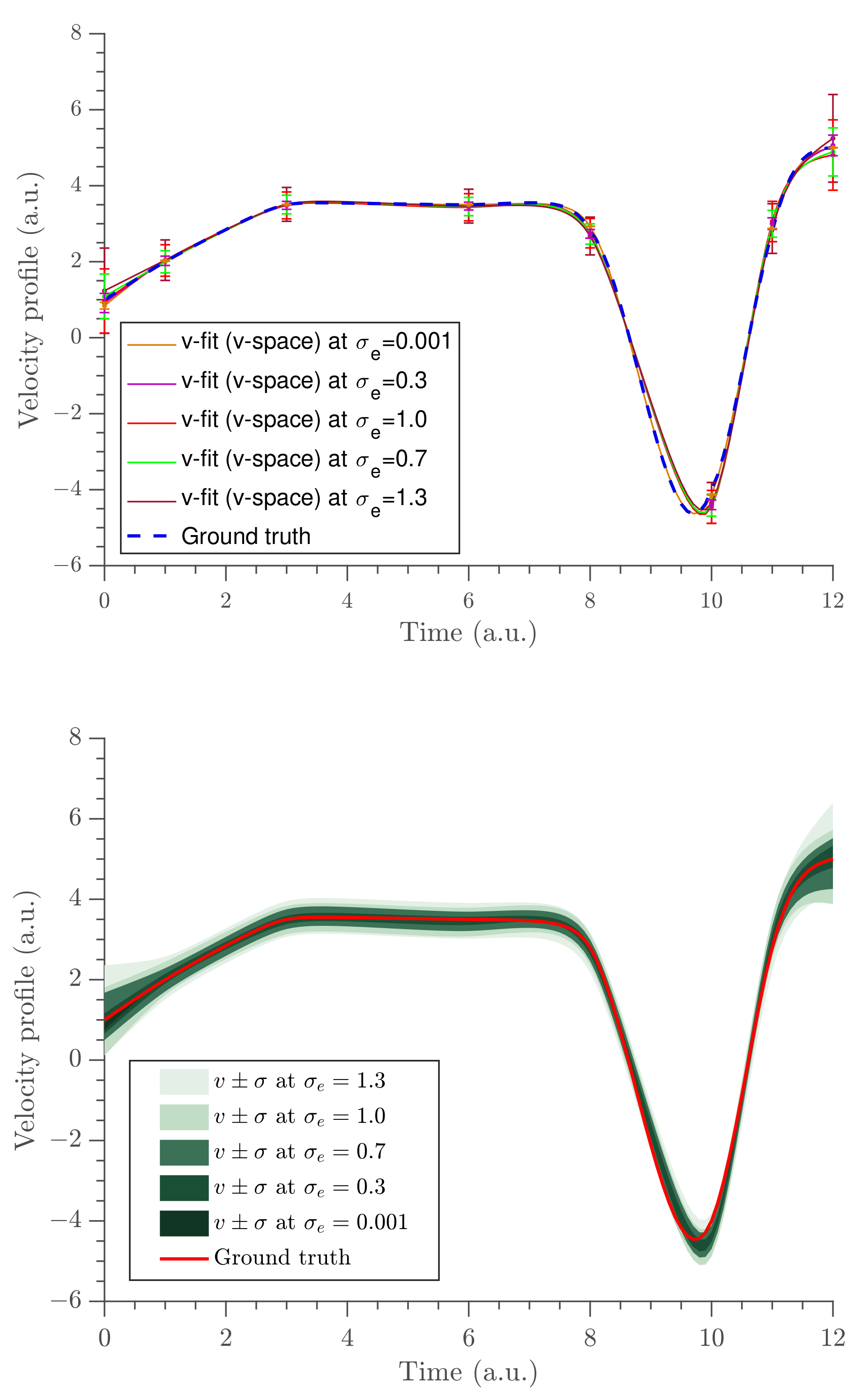
4. Numerical Simulation
5. Results
6. Conclusions
Author Contributions
Funding
Acknowledgments
Conflicts of Interest
Appendix A
Appendix B
| Algorithm A1 DRAM |
|
References
- Von Toussaint, U.; Gori, S. Digital particle image velocimetry using splines in tension. In Proceedings of the 30th International Workshop on Bayesian Inference and Maximum Entropy Methods in Science and Engineering (MaxEnt 2010), Chamonix, France, 4–9 July 2010. [Google Scholar]
- Feng, Y.; Goree, J.; Liu, B. Errors in particle tracking velocimetry with high-speed cameras. Rev. Sci. 2011, 82, 053707. [Google Scholar] [CrossRef] [PubMed]
- Chilenski, M.A.; Greenwald, M.; Marzouk, Y.; Howard, N.; White, A.E.; Rice, J.E.; Walk, J.R. Improved profile fitting and quantification of uncertainty in experimental measurements of impurity transport coefficients using Gaussian process regression. Nucl. Fusion 2015, 55, 023012. [Google Scholar] [CrossRef]
- Ziegenhein, T.; Lucas, D. On sampling bias in multiphase flows: Particle image velocimetry in bubbly flows. Flow Meas. Instrum. 2016, 48, 36–41. [Google Scholar] [CrossRef]
- Brown, R.H.; Schneider, S.C.; Mulligan, M.G. Analysis of algorithms for velocity estimation from discrete position versus time data. IEEE Trans. Ind. Electron. 1992, 39, 11–19. [Google Scholar] [CrossRef]
- Reinsch, C.H. Smoothing by spline functions. Numer. Math. 1967, 10, 177–183. [Google Scholar] [CrossRef]
- Reinsch, C.H. Smoothing by spline functions. II. Numer. Math. 1971, 16, 451–454. [Google Scholar] [CrossRef]
- THastie, J.; Tibshirani, R.J. Generalized additive models. In Monographs on Statistics and Applied Probability; Taylor & Francis: Abingdon, UK, 1990; Volume 43. [Google Scholar]
- Wahba, G. Spline Models for Observational Data; SIAM: Philadelphia, PA, USA, 1990; Volume 59. [Google Scholar]
- Wand, M.P.; Jones, M.C. Kernel Smoothing; CRC Press: Boca Raton, FL, USA, 1994. [Google Scholar]
- Green, P.J.; Silverman, B.W. Nonparametric Regression and Generalized Linear Models: A Roughness Penalty Approach; CRC Press: Boca Raton, FL, USA, 1993. [Google Scholar]
- Wold, S. Spline functions in data analysis. Technometrics 1974, 16, 1–11. [Google Scholar] [CrossRef]
- Silverman, B.W. Some aspects of the spline smoothing approach to non-parametric regression curve fitting. J. R. Stat. Soc. 1985, 47, 1–21. [Google Scholar] [CrossRef]
- Wahba, G. Improper priors, spline smoothing and the problem of guarding against model errors in regression. J. R. Stat. Soc. 1978, 40, 364–372. [Google Scholar] [CrossRef]
- Kimeldorf, G.S.; Wahba, G. A correspondence between Bayesian estimation on stochastic processes and smoothing by splines. Ann. Math. Stat. 1970, 41, 495–502. [Google Scholar] [CrossRef]
- Ansley, C.F.; Kohn, R. Estimation, filtering, and smoothing in state space models with incompletely specified initial conditions. Ann. Stat. 1985, 13, 1286–1316. [Google Scholar] [CrossRef]
- Berry, S.M.; Carroll, R.J.; Ruppert, D. Bayesian smoothing and regression splines for measurement error problems. J. Am. Stat. Assoc. 2002, 97, 160–169. [Google Scholar] [CrossRef]
- Fischer, R.; Hanson, K.M.; Dose, V.; von Der Linden, W. Background estimation in experimental spectra. Phys. Rev. E 2000, 61, 1152. [Google Scholar] [CrossRef] [PubMed]
- Heinecke, A.; Tallarita, M.; De Iorio, M. Bayesian splines versus fractional polynomials in network meta-analysis. BMC Med. Res. Methodol. 2020, 20, 261. [Google Scholar] [CrossRef]
- Dose, V.; Fischer, R. Function estimation employing exponential splines. AIP Conf. Proc. 2005, 803, 67–71. [Google Scholar]
- Fischer, R.; Dose, V. Flexible and reliable profile estimation using exponential splines. AIP Conf. Proc. 2006, 872, 296–303. [Google Scholar]
- Bayes, T. LII. An Essay towards Solving a Problem in the Doctrine of Chances. By the Late Rev. Mr. Bayes, F. R. S. Communicated by Mr. Price, in a Letter to John Canton, A. M. F. R. S. Philos. Trans. R. Soc. Lond. 1963, 53, 370–418. [Google Scholar]
- Box, G.E.P.; Tiao, G.C. Bayesian Inference in Statistical Analysis; John Wiley & Sons: Hoboken, NJ, USA, 2011; Volume 40. [Google Scholar]
- Geweke, J. Bayesian inference in econometric models using Monte Carlo integration. Econometrica 1989, 57, 1317–1339. [Google Scholar] [CrossRef]
- Dempster, A.P. A generalization of Bayesian inference. J. R. Stat. Soc. 1986, 30, 205–232. [Google Scholar]
- Gamerman, D.; Lopes, H.F. Markov Chain Monte Carlo: Stochastic Simulation for Bayesian Inference; CRC Press: Boca Raton, FL, USA, 2006. [Google Scholar]
- Knill, D.C.; Richards, W. Perception as Bayesian Inference; Cambridge University Press: Cambridge, UK, 1996. [Google Scholar]
- Newton, M.A.; Raftery, A.E. Approximate Bayesian inference with the weighted likelihood bootstrap. J. R. Stat. Soc. 1994, 56, 3–26. [Google Scholar] [CrossRef]
- Rentrop, P. An algorithm for the computation of the exponential spline. Numer. Math. 1980, 35, 81–93. [Google Scholar] [CrossRef]
- Mohammad-Djafari, A. Bayesian inference for inverse problems. AIP Conf. Proc. 2002, 617, 477–496. [Google Scholar]
- Sivia, D.; Skilling, J. Data Analysis: A Bayesian Tutorial; Oxford University Press: Oxford, UK, 2006. [Google Scholar]
- Gelman, A.; Carlin, J.B.; Stern, H.S.; Rubin, D.B. Bayesian Data Analysis; Taylor & Francis: Abingdon, UK, 2014; Volume 2. [Google Scholar]
- Fischer, R.; Dinklage, A.; Turkin, Y. Non-parametric profile gradient estimation. In Proceedings of the 33rd EPS Conference on Plasma Physics, Rome, Italy, 19–23 June 2006; Volume 30I, p. 2.127. [Google Scholar]
- De Silva, K.P. Bayesian Inference of Profile Gradient with Exponential Cubic Splines; Clarkson University: Potsdam, NY, USA, 2017. [Google Scholar]
- Haario, H.; Laine, M.; Mira, A.; Saksman, E. DRAM: Efficient adaptive MCMC. Stat. Comput. 2006, 16, 339–354. [Google Scholar] [CrossRef]
- MATLAB; Version R2015b; The MathWorks Inc.: Natick, MA, USA, 2015.
- Hansen, P.C. Analysis of discrete ill-posed problems by means of the L-curve. SIAM Rev. 1992, 34, 561–580. [Google Scholar] [CrossRef]
- Merriman, M. A Text Book on the Method of Least Squares; John Wiley & Sons: Hoboken, NJ, USA, 1909. [Google Scholar]
- Dempster, A.P.; Laird, N.M.; Rubin, D.B. Maximum likelihood from incomplete data via the EM algorithm. J. R. Stat. Soc. Ser. B Methodol. 1977, 39, 1–38. [Google Scholar]
- Montoya, E.L.; Ulloa, N.; Miller, V. A simulation study comparing knot selection methods with equally spaced knots in a penalized regression spline. Int. J. Stat. Probab. 2014, 3, 96. [Google Scholar] [CrossRef]
- Li, M.; Liang, K. The velocity distribution for ferromagnetic fluids. Adv. Mater. Res. 2014, 860, 1506–1509. [Google Scholar] [CrossRef]
- Giffin, A.; Caticha, A. Updating probabilities with data and moments. AIP Conf. Proc. 2007, 954, 74–84. [Google Scholar]
- Giffin, A.; Cafaro, C.; Ali, S.A. Application of the maximum relative entropy method to the physics of ferromagnetic materials. Physica A 2016, 455, 11–26. [Google Scholar] [CrossRef]








| Data (x-space) | |
| Parameters (v-space) | , , |
| Parameter | Proposal Distribution | Prior Distribution |
|---|---|---|
| for | Gaussian () | |
| for | Gaussian () |
| Noise Level | v-Fit (-Space) | Derivative of x-Fit (-Space) |
| 1 | ||
| SSE with Noisy Data | SSE with True Data | |||
|---|---|---|---|---|
| x-Fit () | x-Fit () | x-Fit () | x-Fit () | |
Publisher’s Note: MDPI stays neutral with regard to jurisdictional claims in published maps and institutional affiliations. |
© 2021 by the authors. Licensee MDPI, Basel, Switzerland. This article is an open access article distributed under the terms and conditions of the Creative Commons Attribution (CC BY) license (https://creativecommons.org/licenses/by/4.0/).
Share and Cite
De Silva, K.; Cafaro, C.; Giffin, A. Gradient Profile Estimation Using Exponential Cubic Spline Smoothing in a Bayesian Framework. Entropy 2021, 23, 674. https://doi.org/10.3390/e23060674
De Silva K, Cafaro C, Giffin A. Gradient Profile Estimation Using Exponential Cubic Spline Smoothing in a Bayesian Framework. Entropy. 2021; 23(6):674. https://doi.org/10.3390/e23060674
Chicago/Turabian StyleDe Silva, Kushani, Carlo Cafaro, and Adom Giffin. 2021. "Gradient Profile Estimation Using Exponential Cubic Spline Smoothing in a Bayesian Framework" Entropy 23, no. 6: 674. https://doi.org/10.3390/e23060674
APA StyleDe Silva, K., Cafaro, C., & Giffin, A. (2021). Gradient Profile Estimation Using Exponential Cubic Spline Smoothing in a Bayesian Framework. Entropy, 23(6), 674. https://doi.org/10.3390/e23060674

