Exploring the Alterations in the Distribution of Neural Network Weights in Dementia Due to Alzheimer’s Disease
Abstract
1. Introduction
2. Materials
2.1. Subjects and Variable Collection
2.2. EEG Acquisition and Preprocessing
- Digital filtering with a band-pass Finite Impulse Response (FIR) filter, employing a Hamming window in the frequency range 1–70 Hz.
- Digital filtering with a band-stop FIR filter to remove power line interference at 50 Hz.
- Independent Component Analysis (ICA) to minimize ocular and muscular artifact-related components.
- Selection of 5-s artifact-free trials by visual inspection. First twenty artifact-free trials of each subject are included in posterior analyses to have sufficient information and to avoid the influence of different number of artifact-free trials between subjects.
3. Methods
3.1. Source Reconstruction: sLORETA
3.2. Connectivity Estimation
3.3. Characterization of Network Weights Distribution
3.4. Bin-by-Bin Analysis
3.5. Statistical Analyses
4. Results
4.1. Socio-Demographic and Clinical Data Analyses
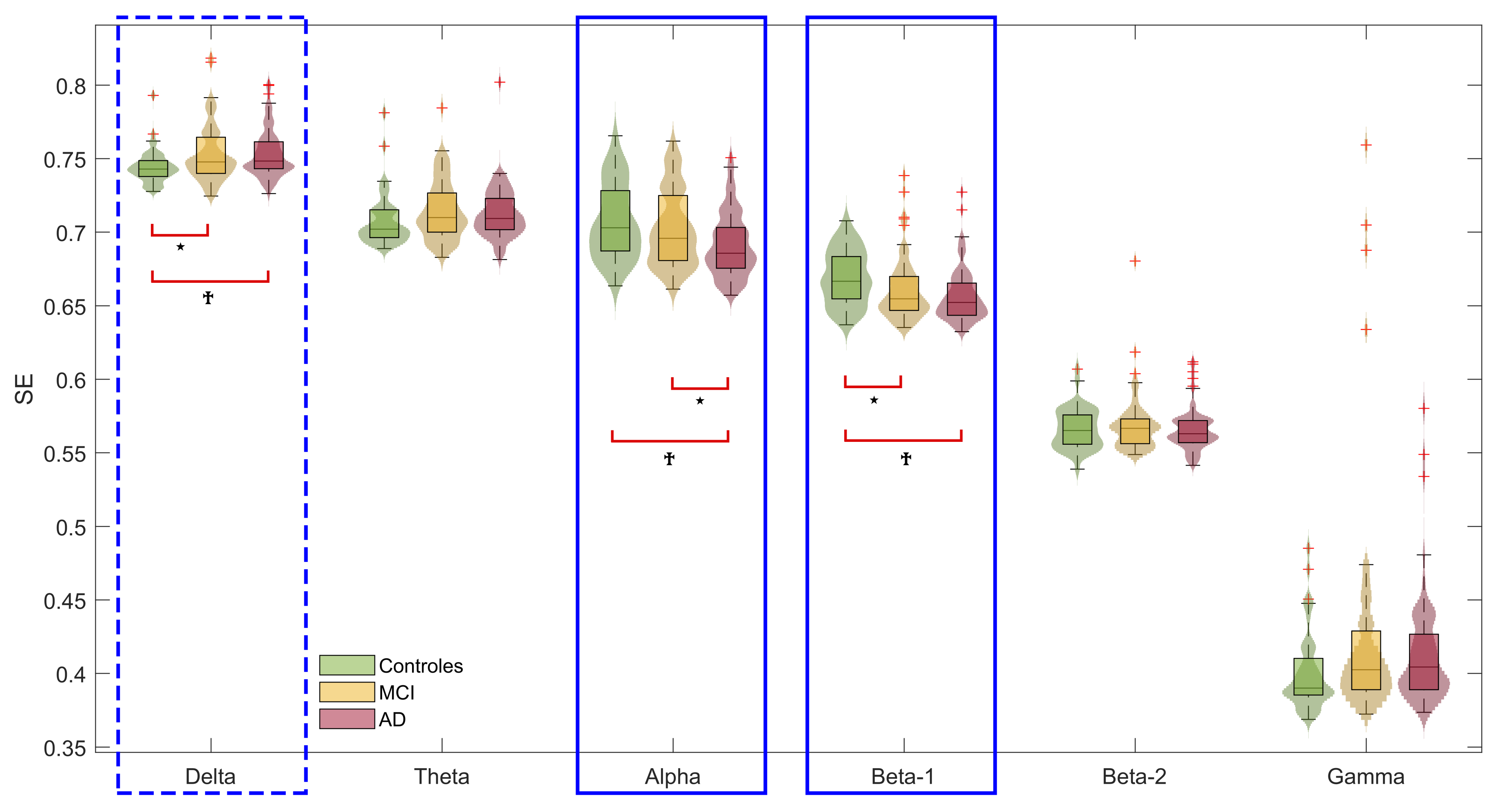
4.2. Shannon Entropy of Network Weights Distribution
4.3. Histogram of Network Weights Analysis
5. Discussion
5.1. Shannon Entropy Is Useful to Characterize Network Weights Distribution
5.2. MCI and AD Modify the Distribution of Low and High Connectivity Values
5.3. Limitations and Future Research Lines
6. Conclusions
Author Contributions
Funding
Institutional Review Board Statement
Informed Consent Statement
Data Availability Statement
Conflicts of Interest
Abbreviations
| AEC | Amplitude Envelope Correlation |
| AD | Alzheimer’s disease |
| A/T/N | Amyloid/Tau/Neurodegeneration |
| CAR | Common Average Referencing |
| EEG | Electroencephalogram |
| FIR | Finite Impulse Response |
| FDR | False Discovery Rate |
| ICA | Independent Component Analysis |
| MCI | Mild Cognitive Impairment |
| MEG | Magnetoencephalogram |
| MMSE | Mini-Mental State Examination |
| NIA-AA | National Institute on Aging and Alzheimer’s Association |
| NINCDS-ADRDA | National Institute of Neurological and Communicative Disorders and Stroke, |
| Alzheimer’s Disease and Related Disorders | |
| ROI | Region of Interest |
| sLORETA | Standarized low—resolution brain electromagnetic tomography |
| SD | Standard deviation |
| SE | Shannon entropy |
References
- Alzheimer’s Association. Alzheimer’s disease facts and figures. Alzheimer’s Dement. 2019, 15, 321–387. [Google Scholar]
- Rossini, L.; Di lorio, R.; Vecchio, F.; Anfossi, M.; Babiloni, C.; Bozzali, M.; Bruni, A.C.; Cappa, S.F.; Escudero, J.; Fraga, F.J.; et al. Early diagnosis of Alzheimer’s disease: The role of biomarkers including advanced EEG signal analysis. Report from the IFCN-sponsored panel of ex-perts. Clin. Neurophsiol. 2020, 131, 1287–1310. [Google Scholar] [CrossRef]
- Alzheimer Europe. Dementia in Europe. Yearbook 2019—Estimating the prevalence of dementia in Europe. In European Union’s Health Programme (2014–2020); Alzheimer Europe: Luxembourg, 2019; pp. 4–75. [Google Scholar]
- Qiu, C.; Kivipelto, M.; Von Strauss, E. Epidemiology of Alzheimer’s disease: Occurrence, determinants, and strategies toward intervention. Dialogues Clin. Neurosci. 2009, 11, 111–128. [Google Scholar] [PubMed]
- Butterfield, D.A.; Halliwell, B. Oxidative stress, dysfunctional glucose metabolism and Alzheimer disease. Alzheimer Dis. 2019, 20, 148–160. [Google Scholar] [CrossRef]
- Petersen, R.C. Mild cognitive impairment as a diagnostic entity. J. Intern. Med. 2004, 256, 183–194. [Google Scholar] [CrossRef] [PubMed]
- Maturana-Candelas, A.; Gómez, C.; Poza, J.; Pinto, N.; Hornero, R. EEG Characterization of the Alzeimer’s Disease Continuum by Means of Multiscale Entropies. Entropy 2019, 21, 544. [Google Scholar] [CrossRef]
- Clifford, J.R., Jr.; Bennett, D.A.; Blennow, K.; Carrillo, M.C.; Dunn, B.; Haeberlein, S.B.; Holtzmanm, D.M.; Jagust, W.; Jessen, F.; Karlawish, J.; et al. NIA-AA Research Framework: Toward a biological definition of Alzheimer’s disease. Alzheimers Dement. 2018, 14, 535–562. [Google Scholar]
- Clifford, J.R., Jr.; Bennett, D.A.; Blennow, K.; Carrillo, M.C.; Feldman, H.H.; Frisoni, G.B.; Hampel, H.; Jagust, W.J.; Johnson, K.A.; Knopman, D.S.; et al. A/T/N: An unbiased descriptive classification scheme for Alzheimer disease biomarkers. Neurology 2016, 87, 539–547. [Google Scholar]
- Park, S.A.; Han, S.M.; Kim, C.E. New fluid biomarkers tracking non-amyloid-β and non-tau pathology in Alzheimer’s disease. Exp. Mol. Med. 2020, 52, 556–568. [Google Scholar] [CrossRef]
- Zetterber, H.; Bendlin, B.B. Biomarkers for Alzheimer’s disease—Preparing for a new era of disease-modifying therapies. Mol. Psychiatry 2020, 26, 296–308. [Google Scholar] [CrossRef]
- Kaçar, S.; Sakoğlu, U. Design of a novel biomedical signal proccesing and analysis tool for functional neuroimaging. Comput. Methods Programs Biomed. 2016, 125, 46–57. [Google Scholar] [CrossRef] [PubMed]
- Nunez, P.; Srinivasan, R. Electric Fields of the Brain: The Neurophysis of EEG, 2nd ed.; Oxford University Press: New York, NY, USA, 2006. [Google Scholar]
- Kulkarni, N.; Bairagi, V. Electroencephalogram and Its Use in Clinical Neuroscience. In EEG-Based Diagnosis of Alzheimer Disease; Academic Press: Cambridge, MA, USA, 2018; pp. 25–35. [Google Scholar]
- Ruiz-Gómez, S.J.; Hornero, R.; Poza, J.; Maturana-Candelas, A.; Pinto, N.; Gómez, C. Computational modeling of the effects of EEG volume conduction on functional connectivity metrics. Application to Alzheimer’s disease continuum. J. Neural Eng. 2019, 16, 066019. [Google Scholar] [CrossRef] [PubMed]
- Rubinov, M.; Sporns, O. Complex network measures of brain connectivity: Uses and Interpretations. Neuroimage 2010, 52, 1059–1069. [Google Scholar] [CrossRef] [PubMed]
- Gomez-Pilar, J.; Poza, J.; Bachiller, A.; Gómez, C.; Nuñez, P.; Lubeiro, A.; Molina, V.; Hornero, R. Quantification of Graph Complexity Based on the Edge Weight Distribution Balance: Application to Brain Networks. Int. J. Neural Syst. 2018, 28, 1750032. [Google Scholar] [CrossRef]
- Keshmiri, S. Entropy and the Brain: An overview. Entropy 2020, 22, 917. [Google Scholar] [CrossRef]
- Cieri, F.; Zhuang, X.; Cladwell, J.Z.K.; Cordes, D. Brain Entropy During Aging Through a Free Energy Principle Approach. Front. Hum. Neurosci. 2021, 15, 1–19. [Google Scholar] [CrossRef]
- Costa, M.; Goldberger, A.L.; Peng, C.K. Multiscale entropy analysis of biological signals. Phys. Rev. E. 2005, 75, 021906. [Google Scholar] [CrossRef]
- Viol, A.; Palhano-Fontes, F.; Onias, H.; de Araujo, D.B.; Viswanathan, G.M. Shannon entropy of brain functional complex networks under the influence of the psychedelic Ayahuasca. Sci. Rep. 2017, 7, 7388. [Google Scholar] [CrossRef]
- Ursino, M.; Ricci, G.; Magosso, E. Transfer Entropy as a Measure of Brain Connectivity: A Critical Analysis With the Help of Neural Mass Models. Front. Comput. Neurosci. 2020, 14, 1–26. [Google Scholar] [CrossRef]
- Anand, K.; Bianconi, G. Entropy measures for networks: Toward an information theory of complex topologies. Phys. Rev. E 2009, 80, 045102. [Google Scholar] [CrossRef]
- Wen, T.; Jiang, W. Measuring the complexity of complex network by Tsallis entropy. Physica A 2019, 526, 121054. [Google Scholar] [CrossRef]
- Li, X.; Zhu, Z.; Zhao, W.; Sun, Y.; Wen, D.; Xie, Y.; Liu, X.; Niu, H.; Han, Y. Decreased resting-state brain signal complexity in patients with mild cognitive impairment and Alzheimer’s disease: A multi-scale entropy analysis. Biomed. Opt. Express 2018, 9, 1916–1929. [Google Scholar] [CrossRef] [PubMed]
- Frantzidis, C.A.; Vivas, A.B.; Tsolaki, A.; Klados, M.A.; Tsolaki, M.; Bamidis, P.D. Functional disorganization of small-world brain networks in mild Alzheimer’s Disease and amnestic Mild Cognitive Impairment: An EEG study using Relative Wavelet Entropy (RWE). Front. Aging Neurosci. 2014, 6, 1–11. [Google Scholar] [CrossRef]
- Abásolo, D.; Hornero, R.; Espino, P. Approximate entropy of EEG background activity in Alzheimer’s disease patients. Intell. Autom. Soft. Comput. 2009, 15, 591–603. [Google Scholar]
- Ruiz-Gómez, S.; Gómez, C.; Poza, J.; Martínez-Zarzuela, M.; Tola-Arribas, M.A.; Cano, M.; Hornero, R. Measuring Alterations of Spontaneous EEG Neural Coupling in Alzheimer’s Disease and Mild Cognitive Impairment by Means of Cross-Entropy Metrics. Front. Neuroinform. 2018, 12, 1–11. [Google Scholar] [CrossRef]
- Mizuno, T. Assessment of EEG dynamical complexity in Alzheimer’s disease using multiscale entropy. Clin. Neurophysiol. 2010, 121, 1438–1446. [Google Scholar] [CrossRef]
- Chai, X.; Weng, X.; Zhang, Z.; Lu, Y.; Liu, G.; Niu, H. Quantitative EEG in Mild Cognitive Impairment and Alzheimer’s Disease by AR-Spectral and Multi-scale Entropy Analysis. In World Congress on Medical Physics and Biomedical Engineering; Springer: Singapore, 2018; pp. 159–163. [Google Scholar]
- Pincus, S. Approximate entropy as a measure of system complexity. Proc. Natl. Acad. Sci. USA 1991, 88, 2297–2301. [Google Scholar] [CrossRef]
- Shannon, C.E. A mathematical theory of communication. Bell Syst. Tech. J. 1948, 27, 379–423. [Google Scholar] [CrossRef]
- Li, R.; Nguyen, T.; Potter, T.; Zhang, Y. Dynamic cortical connectivity alterations associated with Alzheimer’s disease: An EEG and fNIRS integration study. Neuroimage Clin. 2019, 21, 101622. [Google Scholar] [CrossRef]
- Jacobs, H.I.L.; Radua, J.; Lückmann, H.C.; Sack, A.T. Meta-analysis of functional network alterations in Alzheimer’s disease: Toward a network biomarker. Neurosci. Biobehav. Rev. 2013, 37, 753–765. [Google Scholar] [CrossRef]
- Hatz, F.; Fuhr, P. Functional EEG Connectivity Alterations in Alzheimer’s Disease. In Biomarkers for Preclinical Alzheimer’s Disease; Humana Press: New York, NY, USA, 2018; pp. 157–169. [Google Scholar]
- Nuñez, P.; Poza, J.; Gómez, C.; Barroso-García, V.; Maturana-Candelas, A.; Tola-Arribas, M.A.; Cano, M.; Hornero, R. Characterization of the dynamic behavior of neural activity in Alzheimer’s disease: Exploring the non-stationarity and recurrence structure of EEG resting-state activity. J. Neural Eng. 2020, 17, 016071. [Google Scholar] [CrossRef] [PubMed]
- Revilla-Vallejo, M.; Gómez, C.; Gutiérrez-de Pablo, V.; Tola-Arribas, M.A.; Cano, M.; Hornero, R.; Poza, J. Evaluación de la robustez de la red neuronal funcional en la demencia por enfermedad de Alzheimer. In Proceedings of the XXXVIII Anual Conference of Biomedical Engineering Spanish Society, Valladolid, Spain, 27–28 November 2020. [Google Scholar]
- Douw, L.; Nieboer, D.; Stam, C.J.; Tewarie, P.; Hillebrand, A. Consistency of magnetoencephalographic functional connectivity and network reconstruction using a template versus native MRI for co-registration. Hum. Brain Mapp. 2018, 39, 104–119. [Google Scholar] [CrossRef]
- Lai, M.; Demuru, M.; Hillebrand, A.; Fraschini, M. A comparison between scalp- and source-reconstructed EEG networks. Sci. Rep. 2018, 8, 1–18. [Google Scholar] [CrossRef] [PubMed]
- Pascual-Marqui, R.D. Standarized low-resolution brain electromagnetic tomography (sLORETA): Technical details. Methods Finds. Exp. Clin. Pharmacol. 2002, 24, 5–12. [Google Scholar]
- Tadel, F.; Baillet, S.; Mosher, J.C.; Pantazis, D.; Leahy, R.M. Brainstorm: A User-Fiendly Application for MEG/EEG Analysis. Comput. Intell. Neurosci. 2011, 2011, 879716. [Google Scholar] [CrossRef]
- Rodríguez-González, V.; Gómez, C.; Shigihara, Y.; Hoshi, H.; Hornero, R.; Revilla-Vallejo, M.; Poza, J. Consistency of local activation parameters at sensor- and source-level in neural signals. J. Neural Eng. 2020, 17, 056020. [Google Scholar] [CrossRef] [PubMed]
- Mazziota, J.; Toga, A.; Evans, A.; Fox, P.; Lancaster, J.; Zilles, K.; Woods, R.; Paus, T.; Simpson, G.; Pike, B.; et al. A probabilistic atlas and reference system for the human brain: International Consortium for Brain Mapping (ICBM). Philos. Trans. R. Soc. Lond. B Biol. Sci. 2011, 356, 1293–1322. [Google Scholar] [CrossRef]
- Gramfort, A.; Papadopoulo, T.; Olivi, E.; Clerc, M. OpenMEEG: Opensource software for quasistatic bioelectromagnetics. BioMed. Eng. OnLine 2010, 9, 1–20. [Google Scholar] [CrossRef]
- Desikan, R.S.; Ségonne, F.; Fischl, B.; Quinn, B.T.; Dickerson, B.C.; Blacker, D.; Buckner, R.L.; Dale, A.M.; Maguire, R.P.; Hyman, B.T.; et al. An automated labeling system for subdividing the human cerebral cortex on MRI scans into gyral based regions of interest. NeuroImage 2006, 31, 968–980. [Google Scholar] [CrossRef]
- Stam, C.J.; Haan, W.; Daffertshofer, A.; Jones, B.F.; Manshanden, I.; Montez, T.; Verbunt, J.P.A.; Munck, J.C.; Dijk, B.W.; Berendese, H.W.; et al. Graph theoretical analysis of magnetoencephalographic functional connectivity in Alzheimer’ s disease. Brain 2009, 132 Pt 1, 213–224. [Google Scholar] [CrossRef]
- O’Neil, G.C.; Tewarie, P.; Vidaurre, D.; Liuzz, L.; Woolrich, M.W.; Brookes, M.J. Dynamics of large-scale electrophysiological networks: A technical review. NeuroImage 2018, 180 Pt B, 559–576. [Google Scholar] [CrossRef]
- Stam, C.J. Use of magnetoencephalography (MEG) to study functional brain networks in neurodegenerative disorders. J. Neurol. Sci. 2010, 289, 128–134. [Google Scholar] [CrossRef] [PubMed]
- Núñez, P.; Poza, J.; Gómez, C.; Rodríguez-González, V.; Hillebrand, A.; Tola-Arribas, M.A.; Hornero, R. Characterizing the fluctuations of dynamic resting-state electrophysiological functional connectivity: Reduced neuronal coupling variability in mild cognitive impairment and dementia due to Alzheimer’s disease. J. Neural Eng. 2019, 16, 1–21. [Google Scholar] [CrossRef] [PubMed]
- Briels, C.T.; Schoonhoven, D.N.; Stam, C.J.; de Waal, H.; Scheltens, P.; Gow, A. Reproducibility of EEG functional connectivity in Alzheimer’s disease. Alzheimer’s Res. Ther. 2020, 12, 1–14. [Google Scholar] [CrossRef] [PubMed]
- Liu, Z.; Fukunaga, M.; De Zwart, J.A.; Duyn, J.H. Large-scale spontaneous fluctuations and correlations in brain electrical activity observed with magnetoencephalography. NeuroImage 2010, 51, 102–111. [Google Scholar] [CrossRef]
- Colclough, G.L.; Woolrich, M.W.; Tewarie, P.K.; Brookes, M.J.; Quinn, A.J.; Smith, S.M. How reliable are MEG resting-state connectivity metrics? NeuroImage 2016, 138, 284–293. [Google Scholar] [CrossRef] [PubMed]
- Koelewijn, L.; Bompas, A.; Tales, A.; Brookes, M.J.; Muthukumaraswamy, S.D.; Bayer, A.; Singh, K.D. Alzheimer’s disease disrupts alpha and beta-band resting-state oscillatory network connectivity. Clin. Neurophysiol. 2017, 128, 2347–2357. [Google Scholar] [CrossRef] [PubMed]
- Brookes, M.J.; O’Neill, G.C.; Hall, E.L.; Woolrich, M.W.; Baker, A.; Palazzo, S.C.; Robson, S.E.; Morris, P.G.; Barnes, G.R. Measuring temporal, spectral and spatial changes in electrophysiological brain network connectivity. NeuroImage 2014, 91, 282–299. [Google Scholar] [CrossRef] [PubMed]
- Naividi, W. Chapter 2. Probability. In Statistic for Engineers and Scientists; McGraw-Hill Interamerican: Ciudad de México, Mexico, 2006. [Google Scholar]
- Benjamini, Y.; Hochberg, Y. Controlling the false discovery rate: A practical and powerful approach to multiple testing. J. R. Stat. Soc. 1995, 57, 289–300. [Google Scholar] [CrossRef]
- Gomez-Pilar, J.; Poza, J.; Gómez, C.; Northoff, G.; Lubeiro, A.; Cea-Cañas, B.B.; Molina, V.; Hornero, R. Altered predictive capability of the brain network EEG model in schizophrenia during cognition. Schizophr. Res. 2018, 201, 120–129. [Google Scholar] [CrossRef]
- Babiloni, C.; Lizio, R.; Marzano, N.; Capotosto, P.; Soricelli, A.; Triggianni, A.I.; Cordonde, S.; Gesualdo, L.; Del Percio, C. Brain neural synchronization and functional coupling in Alzheimer’s disease as revealed by resting state EEG rhythms. Int. J. Psychophysiol. 2016, 103, 88–102. [Google Scholar] [CrossRef]
- Jeong, J. EEG dynamics in patients with Alzheimer’s disease. Clin. Neurophysiol. 2004, 115, 1490–1505. [Google Scholar] [CrossRef]
- De Haan, W.; van der Flier, W.M.; Smits, L.L.; Scheltens, P.; Stam, C.J. Disrupted modular brain dynamics reflect cognitive dysfunction in Alzheimer’s disease. NeuroImage 2012, 59, 3085–3093. [Google Scholar] [CrossRef]
- Lord, L.D.; Stevner, A.B.; Deco, G.; Kringelbach, M.L. Understanding principles of integration and segregation using whole-brain computational connectomics: Implications for neuropsychiatric disorders. Philos. Trans. R. Soc. 2017, 375, 20160283. [Google Scholar] [CrossRef]
- Buldú, J.M.; Bajo, R.; Maestú, F.; Castellanos, N.; Leyva, I.; Gil, P.; Sendiña-Nadal, I.; Almendral, J.A.; Nevado, A.; del-Pozo, F.; et al. Reorganization of Functional Networks in Mild Cognitive Impairment. PLoS ONE 2011, 6, e19584. [Google Scholar] [CrossRef]
- Lizio, R.; Vecchio, F.; Frisoni, G.B.; Ferri, R.; Rodriguez, G.; Babiloni, C. Electroencephalographic Rhythms in Alzheimer’s Disease. Int. J. Alzheimers Dis. 2011, 2011, 927573. [Google Scholar] [CrossRef] [PubMed]
- Tewarie, P.; van Dellen, E.; Hillebrand, H.; Stam, C.J. The minimum spanning tree: An unbiased method for brainnetwork analysis. NeuroImage 2015, 104, 177–188. [Google Scholar] [CrossRef] [PubMed]
- Abásolo, D.; Hornero, R.; Espino, P.; Álvarez, D.; Poza, J. Entropy analysis of the EEG background activity in Alzheimer’s disease patients. Physiol. Meas. 2006, 27, 241–253. [Google Scholar] [CrossRef] [PubMed]
- Delbeuck, X.; Van der Linder, M.; Collette, F. Alzheimer’ Disease as a Disconnection Syndrome? Neuropsychol. Rev. 2003, 13, 79–92. [Google Scholar] [CrossRef]
- Vallet, G.T.; Hudon, C.; Simard, M.; Versace, R. The disconnection syndrome in the Alzheimer’s disease: The cross-modal priming example. Cortex 2012, 49, 2402–2415. [Google Scholar] [CrossRef] [PubMed]
- Delbeuck, X.; Van der Linder, M.; Collette, F. Is Alzheimer’s disease a disconnection syndrome?: Evidence from a crossmodal audio-visual illusory experiment. Neuropsychologia 2007, 45, 3315–3323. [Google Scholar] [CrossRef] [PubMed]
- Lombardi, A.; Guaragnella, C.; Amoroso, N.; Monaco, A.; Fazio, L.; Taurisano, P.; Pergola, G.; Blasi, G.; Bertolino, A.; Belloti, R.; et al. Modelling cognitive loads in schizophrenia by means of new functional dynamics indexes. Neuroimage 2020, 12, 1–14. [Google Scholar] [CrossRef] [PubMed]



| Data | Group | ||
|---|---|---|---|
| Controls | MCI Subjects | AD Patients | |
| Number of subjects | 45 | 69 | 81 |
| Age (years) (m[IQR]) | 75.6 [73.88, 78.63] | 77.1 [72.25, 80.33] | 81.7 [76.25, 83.53] |
| Sex (M:F) | 14:31 | 29:40 | 34:47 |
| Education level (A:B) | 17:28 | 43:26 | 59:22 |
| MMSE (m[IQR]) | 29 [28, 30] | 27 [26, 28] | 21 [18, 24] |
Publisher’s Note: MDPI stays neutral with regard to jurisdictional claims in published maps and institutional affiliations. |
© 2021 by the authors. Licensee MDPI, Basel, Switzerland. This article is an open access article distributed under the terms and conditions of the Creative Commons Attribution (CC BY) license (https://creativecommons.org/licenses/by/4.0/).
Share and Cite
Revilla-Vallejo, M.; Poza, J.; Gomez-Pilar, J.; Hornero, R.; Tola-Arribas, M.Á.; Cano, M.; Gómez, C. Exploring the Alterations in the Distribution of Neural Network Weights in Dementia Due to Alzheimer’s Disease. Entropy 2021, 23, 500. https://doi.org/10.3390/e23050500
Revilla-Vallejo M, Poza J, Gomez-Pilar J, Hornero R, Tola-Arribas MÁ, Cano M, Gómez C. Exploring the Alterations in the Distribution of Neural Network Weights in Dementia Due to Alzheimer’s Disease. Entropy. 2021; 23(5):500. https://doi.org/10.3390/e23050500
Chicago/Turabian StyleRevilla-Vallejo, Marcos, Jesús Poza, Javier Gomez-Pilar, Roberto Hornero, Miguel Ángel Tola-Arribas, Mónica Cano, and Carlos Gómez. 2021. "Exploring the Alterations in the Distribution of Neural Network Weights in Dementia Due to Alzheimer’s Disease" Entropy 23, no. 5: 500. https://doi.org/10.3390/e23050500
APA StyleRevilla-Vallejo, M., Poza, J., Gomez-Pilar, J., Hornero, R., Tola-Arribas, M. Á., Cano, M., & Gómez, C. (2021). Exploring the Alterations in the Distribution of Neural Network Weights in Dementia Due to Alzheimer’s Disease. Entropy, 23(5), 500. https://doi.org/10.3390/e23050500

