The Influence of the Symmetry of Identical Particles on Flight Times
Abstract
1. Introduction
2. Free Dynamics of Nonrelativistic and Relativistic Identical Particles
2.1. General Considerations
2.2. Symmetry and Free Particles
2.2.1. Distinguishable Particles
2.2.2. Bosons
2.2.3. Fermions
2.3. Survival Probability and Symmetry
2.4. Free Dynamics of Relativistic Identical Particles
3. Flight Times of Identical Non-Relativistic Particles Scattered by a Delta Function Barrier
3.1. Preliminaries
3.1.1. The Single Particle Dynamics. Momentum Filtering
3.1.2. Two Particles Dynamics
4. Numerical Results
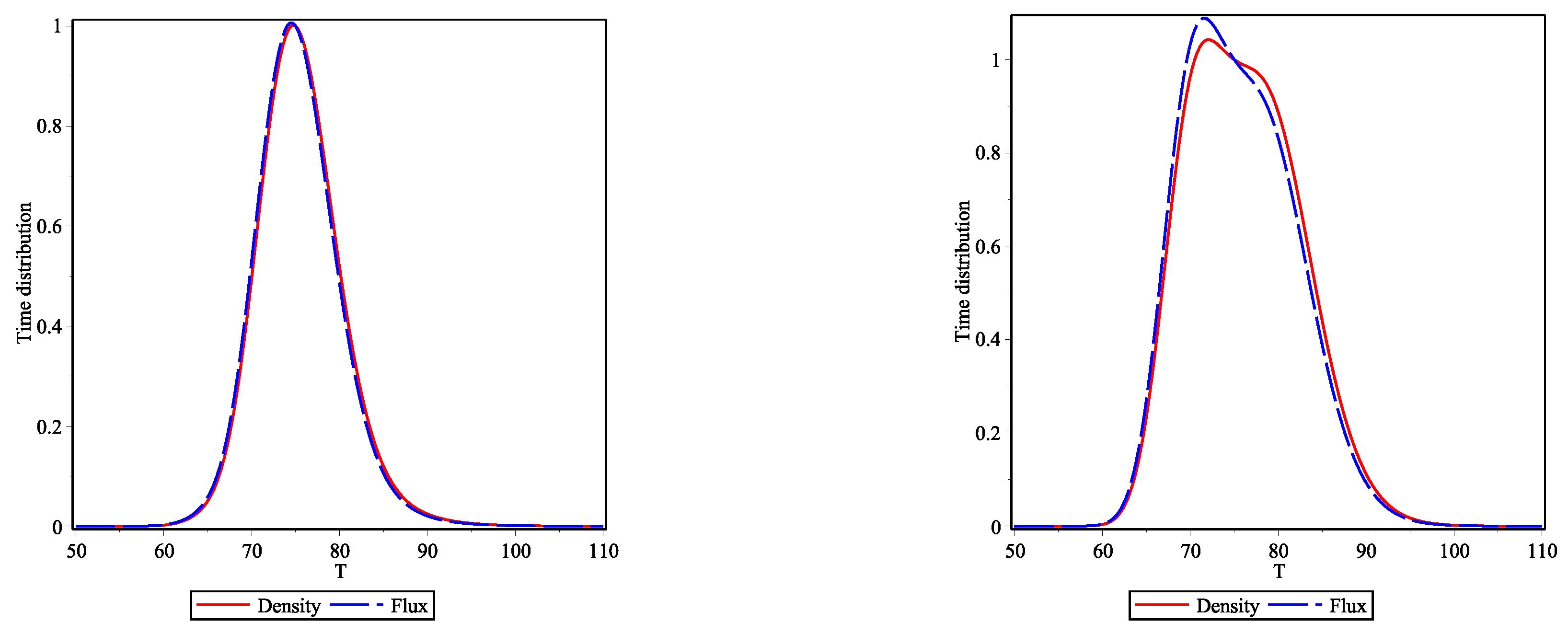
4.1. Free Particle Non-Relativistic Flight Times
4.2. Free Particle Relativistic Flight Time Distributions
4.3. Identical Particle, Non-Relativistic Flight Times for Scattering on a Delta Potential Barrier
5. Discussion
Author Contributions
Funding
Data Availability Statement
Acknowledgments
Conflicts of Interest
References
- Hanbury, B.R.; Twiss, R.Q. Correlation between photons in two coherent beams of light. Nature 1956, 177, 27. [Google Scholar] [CrossRef]
- Jeltes, T.; McNamara, J.M.; Hogervorst, W.; Vassen, W.; Krachmalnicoff, V.; Schellekens, M.; Perrin, A.; Chang, H.; Boiron, D.; Aspect, A.; et al. Comparison of the Hanbury Brown—Twiss effect for bosons and fermions. Nature 2007, 445, 402. [Google Scholar] [CrossRef] [PubMed]
- Henny, M.; Oberholzer, S.; Strunk, C.; Heinzel, T.; Ensslin, K.; Holland, M.; Schönenberger, C. The fermionic Hanbury Brown and Twiss experiment. Science 1999, 284, 296. [Google Scholar] [CrossRef]
- Oliver, W.D.; Kim, J.; Liu, R.C.; Yamamoto, Y. Hanbury Brown and Twiss-type experiment with electrons. Science 1999, 284, 299. [Google Scholar] [CrossRef] [PubMed]
- Kiesel, H.; Renz, A.; Hasselbach, F. Observation of Hanbury Brown—Twiss anticorrelations for free electrons. Nature 2002, 418, 392. [Google Scholar] [CrossRef] [PubMed]
- Iannuzzi, M.; Orecchini, A.; Sacchetti, F.; Facchi, P.; Pascazio, S. Direct experimental evidence of free-fermion antibunching. Phys. Rev. Lett. 2006, 96, 080402. [Google Scholar] [CrossRef] [PubMed]
- Rom, T.; Best, T.; Van Oosten, D.; Schneider, U.; Fölling, S.; Paredes, B.; Bloch, I. Free fermion antibunching in a degenerate atomic Fermi gas released from an optical lattice. Nature 2006, 444, 733. [Google Scholar] [CrossRef]
- Grossmann, F.; Buchholz, M.; Pollak, E.; Nest, M. Spin effects and the Pauli principle in semiclassical electron dynamics. Phys. Rev. A 2014, 89, 032104. [Google Scholar] [CrossRef]
- Buchholz, M.; Grossmann, F. Interference in semiclassical electron dynamics. J. Phys. Conf. Ser. 2018, 1071, 012004. [Google Scholar] [CrossRef]
- Wilets, L.; Henley, E.M.; Kraft, M.; MacKellar, A. Classical many-body model for heavy-ion collisions incorporating the Pauli principle. Nucl. Phys. A 1977, 282, 341. [Google Scholar] [CrossRef]
- Dorso, C.; Duarte, S.; Randrup, J. Classical simulation of the Fermi gas. Phys. Lett. B 1987, 188, 287. [Google Scholar] [CrossRef][Green Version]
- Boal, D.H.; Glosli, J.N. Quasiparticle model for nuclear dynamics studies: Ground-state properties. Phys. Rev. C 1988, 38, 1870. [Google Scholar] [CrossRef]
- Latora, V.; Belkacem, M.; Bonasera, A. Dynamics of instabilities and intermittency. Phys. Rev. Lett. 1994, 73, 1765. [Google Scholar] [CrossRef]
- Gu, B.; Rassolov, V.; Garashchuk, S. Symmetrization of the nuclear wavefunctions defined by the quantum trajectory dynamics. Theor. Chem. Acc. 2016, 135, 267. [Google Scholar] [CrossRef]
- Pathria, R.K.; Beale, P.D. Statistical Mechanics, 3rd ed.; Elsevier: Amsterdam, The Netherlands, 2011. [Google Scholar]
- Marchewka, A.; Granot, E. Role of quantum statistics in multi-particle decay dynamics. Ann. Phys. 2015, 355, 348. [Google Scholar] [CrossRef]
- Petersen, J.; Pollak, E. Tunneling flight time, chemistry, and special relativity. J. Phys. Chem. Lett. 2017, 8, 4017. [Google Scholar] [CrossRef]
- Petersen, J.; Pollak, E. Instantaneous tunneling flight time for wavepacket transmission through asymmetric barriers. J. Phys. Chem. A 2018, 122, 3563. [Google Scholar] [CrossRef]
- Rivlin, T.; Pollak, E.; Dumont, R.S. Determination of the tunneling flight time as the reflected phase time. Phys. Rev. A 2021, 103, 012225. [Google Scholar] [CrossRef]
- Ianconescu, R.; Pollak, E. Determination of the mean tunneling flight time in the Büttiker-Landauer oscillating-barrier model as the reflected phase time. Phys. Rev. A 2021, 103, 042215. [Google Scholar] [CrossRef]
- Misra, B.; Sudarshan, E.C.G. The Zeno’s paradox in quantum theory. J. Math. Phys. 1977, 18, 756. [Google Scholar] [CrossRef]
- Facchi, P.; Pascazio, S.J. Quantum Zeno dynamics: Mathematical and physical aspects. Phys. A Math. Theor. 2008, 41, 493001. [Google Scholar] [CrossRef]
- Sanz, A.S.; Sanz-Sanz, C.; González-Lezana, T.; Roncero, O.; Miret-Artés, S. Quantum zeno effect: Quantum shuffling and markovianity. Ann. Phys. 2012, 327, 1277. [Google Scholar] [CrossRef]
- Dumont, R.S.; Rivlin, T.; Pollak, E. The relativistic tunneling flight time may be superluminal, but it does not imply superluminal signaling. New J. Phys. 2020, 22, 093060. [Google Scholar] [CrossRef]
- Muga, G. Characteristic Times in One-Dimensional Scattering. Lect. Notes Phys. 2008, 734, 31. [Google Scholar]
- Pollak, E.; Miret-Artés, S. Time averaging of weak values—Consequences for time-energy and coordinate-momentum uncertainty. New J. Phys. 2018, 20, 073016. [Google Scholar] [CrossRef]
- Muga, J.G.; Sala Mayato, R.; Egusquiza, I.L. (Eds.) Time in Quantum Mechanics 1. Lect. Notes Phys. 2008, 734. [Google Scholar]
- Pollak, E.; Miller, W.H. New physical interpretation for time in scattering theory. Phys. Rev. Lett. 1984, 53, 115. [Google Scholar] [CrossRef]
- Yu, E.L.; Filinov, A.V. Transmission times of wave packets tunneling through barriers. JETP 1999, 88, 1026. [Google Scholar]
- Lozovik, Y.E.; Filinov, A.V.; Arkhipov, A.S. Simulation of wave packet tunneling of interacting identical particles. Phys. Rev. E 2003, 67, 026707. [Google Scholar] [CrossRef] [PubMed]







| −301 | −299 | ± 450 | 10, 10 | 75.2908 | 75.8847 | 75.4992 | 76.5237 |
| −300 | −300 | ± 450 | 10.1, 9.9 | 75.3749 | 76.1740 | 76.7417 | 77.3525 |
Publisher’s Note: MDPI stays neutral with regard to jurisdictional claims in published maps and institutional affiliations. |
© 2021 by the authors. Licensee MDPI, Basel, Switzerland. This article is an open access article distributed under the terms and conditions of the Creative Commons Attribution (CC BY) license (https://creativecommons.org/licenses/by/4.0/).
Share and Cite
Miret-Artés, S.; Dumont, R.S.; Rivlin, T.; Pollak, E. The Influence of the Symmetry of Identical Particles on Flight Times. Entropy 2021, 23, 1675. https://doi.org/10.3390/e23121675
Miret-Artés S, Dumont RS, Rivlin T, Pollak E. The Influence of the Symmetry of Identical Particles on Flight Times. Entropy. 2021; 23(12):1675. https://doi.org/10.3390/e23121675
Chicago/Turabian StyleMiret-Artés, Salvador, Randall S. Dumont, Tom Rivlin, and Eli Pollak. 2021. "The Influence of the Symmetry of Identical Particles on Flight Times" Entropy 23, no. 12: 1675. https://doi.org/10.3390/e23121675
APA StyleMiret-Artés, S., Dumont, R. S., Rivlin, T., & Pollak, E. (2021). The Influence of the Symmetry of Identical Particles on Flight Times. Entropy, 23(12), 1675. https://doi.org/10.3390/e23121675

