Associations between Cardiovascular Signal Entropy and Cognitive Performance over Eight Years
Abstract
:1. Introduction
2. Materials and Methods
2.1. Study Population
2.2. Cardiovascular Measurements
2.3. Entropy Analysis
2.4. Heart Rate (HR) and Heart Rate Variability (HRV) Analysis
2.5. Assessment of Cognitive Function
2.6. Covariates
2.7. Statistical Analysis
2.8. Sensitivity Analysis
2.9. Data Simulations
3. Results
3.1. Participant Characteristics
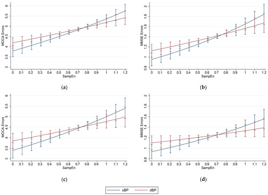
3.2. Associations of Entropy with Cognitive Performance
4. Discussion
5. Conclusions
Author Contributions
Funding
Institutional Review Board Statement
Informed Consent Statement
Data Availability Statement
Acknowledgments
Conflicts of Interest
Appendix A
| Cognitive Measure | CV Measure (SampEn) | IRR | p | 95% CIs | n |
|---|---|---|---|---|---|
| MOCA Errors W1 | sBP | 1.33 | <0.001 | 1.17 to 1.52 | 2482 |
| dBP | 1.19 | 0.005 | 1.05 to 1.34 | 2482 | |
| MMSE Errors W1 | sBP | 1.65 | <0.001 | 1.30 to 2.09 | 2482 |
| dBP | 1.37 | 0.005 | 1.10 to 1.70 | 2482 | |
| MOCA Errors W1 and 3 | sBP | 1.29 | 0.027 | 1.03 to 1.62 | 1963 |
| dBP | 1.18 | 0.124 | 0.96 to 1.46 | 1963 | |
| MMSE Errors W1–5 | sBP | 1.66 | 0.003 | 1.19 to 2.32 | 2363 |
| dBP | 1.38 | 0.044 | 1.01 to 1.87 | 2363 |
| Cognitive Measure | CV Measure (SampEn) | IRR | p | 95% CIs | n |
|---|---|---|---|---|---|
| MOCA Errors W1 | sBP | 1.26 | <0.001 | 1.12 to 1.42 | 4128 |
| dBP | 1.15 | 0.016 | 1.03 to 1.28 | 4128 | |
| MMSE Errors W1 | sBP | 1.51 | <0.001 | 1.20 to 1.91 | 4128 |
| dBP | 1.24 | 0.047 | 1.00 to 1.54 | 4128 | |
| MOCA Errors W1 and 3 | sBP | 1.28 | 0.010 | 1.06 to 1.54 | 3286 |
| dBP | 1.16 | 0.106 | 0.97 to 1.38 | 3286 | |
| MMSE Errors W1–5 | sBP | 1.56 | 0.004 | 1.16 to 2.10 | 3803 |
| dBP | 1.25 | 0.117 | 0.95 to 1.67 | 3803 |
Appendix B
| Measure | Mean Stationary | Variance Stationary | Wide-Sense Stationarity (WSS) | ΔSampEn |
|---|---|---|---|---|
| Untransformed Data | ||||
| sBP | 50.6% | 35.4% | 3.5% | |
| dBP | 48.5% | 30.9% | 2.3% | |
| Transformed Data | ||||
| sBP | 91.3% | 54.9% | 6.4% | 0.167 |
| dBP | 84.7% | 43.1% | 4.8% | 0.211 |
| Cognitive Measure | CV Measure (SampEn) | IRR | p | 95% CIs | n |
|---|---|---|---|---|---|
| MOCA Errors W1 | sBP | 1.38 | <0.001 | 1.25 to 1.52 | 4525 |
| dBP | 1.21 | <0.001 | 1.10 to 1.35 | 4525 | |
| MMSE Errors W1 | sBP | 1.40 | <0.001 | 1.17 to 1.68 | 4525 |
| dBP | 1.35 | 0.001 | 1.13 to 1.62 | 4525 | |
| MOCA Errors W1 and 3 | sBP | 1.47 | <0.001 | 1.24 to 1.74 | 3600 |
| dBP | 1.19 | 0.047 | 1.00 to 1.42 | 3600 | |
| MMSE Errors W1–5 | sBP | 1.51 | 0.001 | 1.17 to 1.95 | 4316 |
| dBP | 1.42 | 0.009 | 1.09 to 1.84 | 4316 |
Appendix C


References
- Lim, S.S.; Vos, T.; Flaxman, A.D.; Danaei, G.; Shibuya, K.; Adair-Rohani, H.; AlMazroa, M.A.; Amann, M.; Anderson, H.R.; Andrews, K.G.; et al. A comparative risk assessment of burden of disease and injury attributable to 67 risk factors and risk factor clusters in 21 regions, 1990–2010: A systematic analysis for the Global Burden of Disease Study 2010. Lancet 2012, 380, 2224–2260. [Google Scholar] [CrossRef] [Green Version]
- Albert, M.S.; DeKosky, S.T.; Dickson, D.; Dubois, B.; Feldman, H.H.; Fox, N.C.; Gamst, A.; Holtzman, D.M.; Jagust, W.J.; Petersen, R.C.; et al. The Diagnosis of Mild Cognitive Impairment due to Alzheimer’s Disease: Recommendations from the National Institute on Aging-Alzheimer’s Association Workgroups on Diagnostic Guidelines for Alzheimer’s Disease. Focus 2013, 11, 96–106. [Google Scholar] [CrossRef]
- Ward, A.; Arrighi, H.M.; Michels, S.; Cedarbaum, J.M. Mild cognitive impairment: Disparity of incidence and prevalence estimates. Alzheimers Dement. 2012, 8, 14–21. [Google Scholar] [CrossRef] [PubMed]
- O’Callaghan, S.; Kenny, R.A. Neurocardiovascular Instability and Cognition. Yale J. Boil. Med. 2016, 89, 59–71. [Google Scholar]
- Romero-Ortuno, R.; Wilson, K.; Hampton, J. Disorders of the autonomic nervous system. In Brocklehurst’s Textbook of Geriatric Medicine and Gerontology, 8th ed.; Fillit, H., Rockwood, K., Young, J.B., Eds.; Elsevier: Cham, Switzerland, 2016; pp. 496–509. [Google Scholar]
- Brown, A.M.; Ransom, B.R. Astrocyte glycogen and brain energy metabolism. Glia 2007, 55, 1263–1271. [Google Scholar] [CrossRef] [PubMed]
- Chon, K.H.; Scully, C.G.; Lu, S. Approximate entropy for all signals. IEEE Eng. Med. Biol. Mag. 2009, 28, 18–23. [Google Scholar] [CrossRef] [PubMed]
- Liu, G.; Xia, Y.; Yang, C.; Zhang, L. The Review of the Major Entropy Methods and Applications in Biomedical Signal Research; Springer: Cham, Switzerland, 2018; pp. 87–100. [Google Scholar]
- Mayer, C.; Bachler, M.; Holzinger, A.; Stein, P.K.; Wassertheurer, S. The Effect of Threshold Values and Weighting Factors on the Association between Entropy Measures and Mortality after Myocardial Infarction in the Cardiac Arrhythmia Suppression Trial (CAST). Entropy 2016, 18, 129. [Google Scholar] [CrossRef] [Green Version]
- Costa, M.; Goldberger, A.L.; Peng, C.-K. Multiscale Entropy Analysis of Complex Physiologic Time Series. Phys. Rev. Lett. 2002, 89, 068102. [Google Scholar] [CrossRef] [Green Version]
- Richman, J.S.; Moorman, J.R. Physiological time-series analysis using approximate entropy and sample entropy. Am. J. Physiol.-Heart Circ. Physiol. 2000, 278, H2039–H2049. [Google Scholar] [CrossRef] [Green Version]
- Gow, B.J.; Peng, C.-K.; Wayne, P.M.; Ahn, A.C. Multiscale Entropy Analysis of Center-of-Pressure Dynamics in Human Postural Control: Methodological Considerations. Entropy 2015, 17, 7926–7947. [Google Scholar] [CrossRef]
- Pincus, S.M.; Gladstone, I.M.; Ehrenkranz, R.A. A regularity statistic for medical data analysis. J. Clin. Monit. 1991, 7, 335–345. [Google Scholar] [CrossRef]
- Donoghue, O.A.; McGarrigle, C.A.; Foley, M.; Fagan, A.; Meaney, J.; Kenny, R.A. Cohort Profile Update: The Irish Longitudinal Study on Ageing (TILDA). Int. J. Epidemiol. 2018, 47, 1398–1398l. [Google Scholar] [CrossRef]
- Kearney, P.M.; Cronin, H.; O’Regan, C.; Kamiya, Y.; Savva, G.M.; Whelan, B.; Kenny, R. Cohort Profile: The Irish Longitudinal Study on Ageing. Int. J. Epidemiol. 2011, 40, 877–884. [Google Scholar] [CrossRef]
- Tarvainen, M.P.; Ranta-Aho, P.O.; Karjalainen, P. An advanced detrending method with application to HRV analysis. IEEE Trans. Biomed. Eng. 2002, 49, 172–175. [Google Scholar] [CrossRef] [PubMed]
- Zhivomirov, H. Signal Stationarity Estimation with Matlab. Available online: https://uk.mathworks.com/matlabcentral/fileexchange/75118-signal-stationarity-estimation-with-matlab (accessed on 20 May 2021).
- Zhivomirov, H.; Nedelchev, I. A Method for Signal Stationarity Estimation. Rom. J. Acoust. Vib. 2020, 117, 149–155. [Google Scholar]
- Martínez-Cagigal, V. Sample Entropy. Available online: https://uk.mathworks.com/matlabcentral/fileexchange/69381-sample-entropy (accessed on 10 January 2020).
- Knight, S.; Newman, L.; O’Connor, J.; Davis, J.; Kenny, R.; Romero-Ortuno, R. Associations between Neurocardiovascular Signal Entropy and Physical Frailty. Entropy 2020, 23, 4. [Google Scholar] [CrossRef] [PubMed]
- Yentes, J.M.; Hunt, N.; Schmid, K.K.; Kaipust, J.P.; McGrath, D.; Stergiou, N. The Appropriate Use of Approximate Entropy and Sample Entropy with Short Data Sets. Ann. Biomed. Eng. 2013, 41, 349–365. [Google Scholar] [CrossRef] [PubMed]
- Hortelano, M.; Reilly, R.B.; Castells, F.; Cervigón, R. Refined Multiscale Fuzzy Entropy to Analyse Post-Exercise Cardiovascular Response in Older Adults with Orthostatic Intolerance. Entropy 2018, 20, 860. [Google Scholar] [CrossRef] [PubMed] [Green Version]
- Turianikova, Z.; Javorka, K.; Baumert, M.; Calkovska, A.; Javorka, M. The effect of orthostatic stress on multiscale entropy of heart rate and blood pressure. Physiol. Meas. 2011, 32, 1425–1437. [Google Scholar] [CrossRef] [PubMed]
- Pardey, J.; Jouravleva, S. The next-generation holter revolution: From analyse-edit-print to analyse-print. Comput. Cardiol. 2004, 2005, 373–376. [Google Scholar] [CrossRef] [Green Version]
- Folstein, M.F.; Folstein, S.E.; McHugh, P.R. “Mini-mental state”: A practical method for grading the cognitive state of patients for the clinician. J. Psychiatr. Res. 1975, 12, 189–198. [Google Scholar] [CrossRef]
- Nasreddine, Z.S.; Phillips, N.A.; Bédirian, V.; Charbonneau, S.; Whitehead, V.; Collin, I.; Cummings, J.L.; Chertkow, H. The Montreal Cognitive Assessment, MoCA: A Brief Screening Tool for Mild Cognitive Impairment. J. Am. Geriatr. Soc. 2005, 53, 695–699. [Google Scholar] [CrossRef]
- Ewing, J.A. Detecting alcoholism. The CAGE questionnaire. JAMA 1984, 252, 1905–1907. [Google Scholar] [CrossRef] [PubMed]
- Lewinsohn, P.M.; Seeley, J.R.; Roberts, R.E.; Allen, N.B. Center for Epidemiologic Studies Depression Scale (CES-D) as a screening instrument for depression among community-residing older adults. Psychol. Aging 1997, 12, 277–287. [Google Scholar] [CrossRef] [PubMed]
- Craig, C.L.; Marshall, A.L.; Sjöström, M.; Bauman, A.E.; Booth, M.L.; Ainsworth, B.E.; Pratt, M.; Ekelund, U.; Yngve, A.; Sallis, J.F.; et al. International physical activity questionnaire: 12-country reliability and validity. Med. Sci. Sports Exerc. 2003, 35, 1381–1395. [Google Scholar] [CrossRef] [PubMed] [Green Version]
- McNicholas, T.; Tobin, K.; Carey, D.; O’Callaghan, S.; Kenny, R.A. Is Baseline Orthostatic Hypotension Associated with a Decline in Global Cognitive Performance at 4-Year Follow-Up? Data from TILDA (The Irish Longitudinal Study on Ageing). J. Am. Hear. Assoc. 2018, 7, e008976. [Google Scholar] [CrossRef] [Green Version]
- Trzepacz, P.T.; Hochstetler, H.; Wang, S.; Walker, B.; Saykin, A.J.; The Alzheimer’s Disease Neuroimaging Initiative. Relationship between the Montreal Cognitive Assessment and Mini-mental State Examination for assessment of mild cognitive impairment in older adults. BMC Geriatr. 2015, 15, 107. [Google Scholar] [CrossRef] [Green Version]
- Berntson, G.G.; Thomas Bigger, J., Jr.; Eckberg, D.L.; Grossman, P.; Kaufmann, P.G.; Malik, M.; Nagaraja, H.N.; Porges, S.W.; Saul, J.P.; Stone, P.H.; et al. Heart rate variability: Origins, methods, and interpretive caveats. Psychophysiology 1997, 34, 623–648. [Google Scholar] [CrossRef]
- Kennedy, D.; Scholey, A. Glucose administration, heart rate and cognitive performance: Effects of increasing mental effort. Psychopharmacology 2000, 149, 63–71. [Google Scholar] [CrossRef]
- Böhm, M.; Cotton, D.; Foster, L.; Custodis, F.; Laufs, U.; Sacco, R.; Bath, P.M.W.; Yusuf, S.; Diener, H.-C. Impact of resting heart rate on mortality, disability and cognitive decline in patients after ischaemic stroke. Eur. Hear. J. 2012, 33, 2804–2812. [Google Scholar] [CrossRef] [Green Version]
- Tessier, A.; Sibon, I.; Poli, M.; Audiffren, M.; Allard, M.; Pfeuty, M. Resting Heart Rate Predicts Depression and Cognition Early after Ischemic Stroke: A Pilot Study. J. Stroke Cerebrovasc. Dis. 2017, 26, 2435–2441. [Google Scholar] [CrossRef] [PubMed]
- Forte, G.; Favieri, F.; Casagrande, M. Heart Rate Variability and Cognitive Function: A Systematic Review. Front. Neurosci. 2019, 13, 710. [Google Scholar] [CrossRef]
- Frewen, J.; Finucane, C.; Savva, G.M.; Boyle, G.; Coen, R.F.; Kenny, R.A. Cognitive function is associated with impaired heart rate variability in ageing adults: The Irish longitudinal study on ageing wave one results. Clin. Auton. Res. 2013, 23, 313–323. [Google Scholar] [CrossRef]
- Dekker, J.M.; Crow, R.S.; Folsom, A.R.; Hannan, P.J.; Liao, D.; Swenne, C.A.; Schouten, E.G. Low heart rate variability in a 2-minute rhythm strip predicts risk of coronary heart disease and mortality from several causes: The ARIC Study. Atherosclerosis Risk in Communities. Circulation 2000, 102, 1239–1244. [Google Scholar] [CrossRef]
- Porta, A.; Castiglioni, P.; Di Rienzo, M.; Bari, V.; Bassani, T.; Marchi, A.; Takahashi, A.C.M.; Tobaldini, E.; Montano, N.; Catai, A.M.; et al. Short-term complexity indexes of heart period and systolic arterial pressure variabilities provide complementary information. J. Appl. Physiol. 2012, 113, 1810–1820. [Google Scholar] [CrossRef] [Green Version]
- Hu, C.-J.; Chung, C.-C.; Kang, J.-H. Measuring entropy in functional neuroscience: Pathophysiological and clinical applications. Neurosci. Neuroeconomics 2016, 5, 45–53. [Google Scholar] [CrossRef] [Green Version]
- Koepchen, H.P. Physiology of Rhythms and Control Systems: An Integrative Approach; Springer: Berlin/Heidelberg, Germany, 1991; pp. 3–20. [Google Scholar]
- Cerutti, S.; Malliani, A.; Pagani, M.; Guzzetti, S.; Baselli, G.; Porta, A. Prediction of short cardiovascular variability signals based on conditional distribution. IEEE Trans. Biomed. Eng. 2000, 47, 1555–1564. [Google Scholar] [CrossRef]
- De Lucia, C.; Eguchi, A.; Koch, W.J. New Insights in Cardiac β-Adrenergic Signaling During Heart Failure and Aging. Front. Pharmacol. 2018, 9, 904. [Google Scholar] [CrossRef] [Green Version]
- Catai, A.M.; Takahashi, A.C.; Perseguini, N.M.; Milan, J.C.; Minatel, V.; Rehder-Santos, P.; Marchi, A.; Bari, V.; Porta, A. Effect of the Postural Challenge on the Dependence of the Cardiovascular Control Complexity on Age. Entropy 2014, 16, 6686–6704. [Google Scholar] [CrossRef] [Green Version]
- Baselli, G.; Porta, A.; Pagani, M. Coupling Arterial Windkessel With Peripheral Vasomotion: Modeling the Effects on Low-Frequency Oscillations. IEEE Trans. Biomed. Eng. 2005, 53, 53–64. [Google Scholar] [CrossRef] [PubMed]
- Lassen, N.A. Cerebral blood flow and oxygen consumption in man. Physiol. Rev. 1959, 39, 183–238. [Google Scholar] [CrossRef] [PubMed] [Green Version]
- Tan, C.O. Defining the characteristic relationship between arterial pressure and cerebral flow. J. Appl. Physiol. 2012, 113, 1194–1200. [Google Scholar] [CrossRef] [Green Version]
- Hayakawa, T.; McGarrigle, C.A.; Coen, R.F.; Soraghan, C.J.; Foran, T.; Lawlor, B.A.; Kenny, R.A. Orthostatic Blood Pressure Behavior in People with Mild Cognitive Impairment Predicts Conversion to Dementia. J. Am. Geriatr. Soc. 2015, 63, 1868–1873. [Google Scholar] [CrossRef] [PubMed]
- Faini, A.; Caravita, S.; Parati, G.; Castiglioni, P. Alterations of Cardiovascular Complexity during Acute Exposure to High Altitude: A Multiscale Entropy Approach. Entropy 2019, 21, 1224. [Google Scholar] [CrossRef] [Green Version]
- Trunkvalterova, Z.; Javorka, M.; Tonhajzerova, I.; Javorkova, J.; Lazárová, Z.; Javorka, K.; Baumert, M. Reduced short-term complexity of heart rate and blood pressure dynamics in patients with diabetes mellitus type 1: Multiscale entropy analysis. Physiol. Meas. 2008, 29, 817–828. [Google Scholar] [CrossRef]
- Ga Costa Barbosa, R.; Vieira, M.F. Postural Control of Elderly Adults on Inclined Surfaces. Ann. Biomed. Eng. 2017, 45, 726–738. [Google Scholar] [CrossRef]
- Hugentobler, J.A.; Gupta, R.; Slater, R.; Paterno, M.V.; Riley, M.A.; Quatman-Yates, C. Influence of Age on Postconcussive Postural Control Measures and Future Implications for Assessment. Clin. J. Sport Med. 2016, 26, 510–517. [Google Scholar] [CrossRef]
- Rhea, C.K.; Kiefer, A.W.; Wright, W.G.; Raisbeck, L.D.; Haran, F.J. Interpretation of postural control may change due to data processing techniques. Gait Posture 2015, 41, 731–735. [Google Scholar] [CrossRef] [PubMed] [Green Version]
- Lubetzky, A.V.; Harel, D.; Lubetzky, E. On the effects of signal processing on sample entropy for postural control. PLoS ONE 2018, 13, e0193460. [Google Scholar] [CrossRef] [Green Version]
- Magagnin, V.; Bassani, T.; Bari, V.; Turiel, M.; Maestri, R.; Pinna, G.D.; Porta, A. Non-stationarities significantly distort short-term spectral, symbolic and entropy heart rate variability indices. Physiol. Meas. 2011, 32, 1775–1786. [Google Scholar] [CrossRef]
- Mesin, L. Estimation of Complexity of Sampled Biomedical Continuous Time Signals Using Approximate Entropy. Front. Physiol. 2018, 9, 710. [Google Scholar] [CrossRef] [PubMed]




| Cohort 1: Baseline Cross-Sectional (n = 4525) | Cohort 2: Longitudinal MOCA (n = 3600) | Cohort 3: Longitudinal MMSE (n = 4316) | |
|---|---|---|---|
| Age [years] | 61.9 (SD: 8.4, range: [50–91]) | 61.7 (SD: 8.2, range: [50–89]) | 61.9 (SD: 8.4, range: [50–91]) |
| Sex [% (n)] | Female: 54.1% (2448) | Female: 54.1% (1947) | Female: 54.4% (2347) |
| Education [% (n)] | |||
| Primary/None | 21.5% (972) | 19.8% (771) | 21.1% (911) |
| Secondary | 41.6% (1883) | 41.3% (1488) | 41.4% (1787) |
| Third/Higher | 36.9% (1670) | 38.9% (1401) | 37.5% (1618) |
| Physical Activity (IPAQ) [% (n)] | |||
| Low | 27.5% (1244) | 26.9% (969) | 27.4% (1182) |
| Moderate | 35.8% (1619) | 35.7% (1285) | 35.5% (1553) |
| High | 36.0% (1628) | 36.6% (1319) | 36.3% (1567) |
| No response | 0.8% (34) | 0.8% (27) | 0.8% (34) |
| Self-Reported Diabetic [%] | 6.5% (293) | 6.2% (224) | 6.4% (277) |
| Number of Cardiovascular Conditions [% (n)] | |||
| 0 | 39.5% (1789) | 39.5% (1423) | 49.4% (1699) |
| 1 | 34.9% (1577) | 35.1% (1263) | 34.9% (1508) |
| 2+ | 25.6% (1159) | 25.4% (614) | 25.7% (1109) |
| Antihypertensive Medication Use [% (n)] | 33.1% (1497) | 32.4% (1166) | 33.2% (1433) |
| CAGE Alcohol Scale | |||
| CAGE < 2 | 78.1% (3535) | 79.3% (2854) | 78.4% (3384) |
| CAGE ≥ 2 | 12.9% (583) | 13.3% (481) | 13.1% (565) |
| No response | 9.0% (407) | 7.4% (265) | 8.5% (367) |
| Smoker [% (n)] | |||
| Never | 45.8% (2074) | 46.7% (1681) | 46.3% (1996) |
| Past | 39.3% (1776) | 39.6% (1427) | 39.2% (1693) |
| Current | 14.9% (675) | 13.7% (492) | 14.5% (627) |
| CESD [% (n)] | |||
| Non-depressed (CESD < 9) | 86.2% (3902) | 86.9% (3130) | 86.3% (3726) |
| Depressed (CESD ≥ 9) | 13.8% (623) | 13.1% (470) | 13.7% (590) |
| Seated sBP [mmHg] | 134.5 (SD: 19.5, range: [78.5–220]) | 134.0 (SD: 19.4, range: [78.5–215]) | 134.3 (SD: 19.4, range: [78.5–220]) |
| Seated dBP [mmHg] | 82.3 (SD: 11.1, range: [51.5–132]) | 82.1 (SD: 11.1, range: [51.5–132]) | 82.2 (SD: 11.1, range: [51.5–132]) |
| SampEn sBP (1 min, 5 Hz) | 0.655 (SD: 0.125, range: [0.017–1.136]) | 0.652 (SD: 0.124, range: [0.017–1.065]) | 0.655 (SD: 0.124, range: [0.017–1.065]) |
| SampEn dBP (1 min, 5 Hz) | 0.597 (SD: 0.134, range: [0.019–1.281]) | 0.595 (SD: 0.131, range: [0.019–1.111]) | 0.597 (SD: 0.133, range: [0.019–1.140]) |
| SampEn sBP (5 min, 5 Hz) | 0.694 (SD: 0.106, range: [0.071–1.260]) | 0.692 (SD: 0.105, range: [0.071–1.185]) | 0.694 (SD: 0.106, range: [0.071–1.185]) |
| SampEn dBP (5 min, 5 Hz) | 0.640 (SD: 0.120, range: [0.069–1.239]) | 0.638 (SD: 0.118, range: [0.069–1.134]) | 0.640 (SD: 0.119, range: [0.069–1.134]) |
| SampEn sBP (5 min, BtB) | 1.672 (SD: 0.484, range: [0.339–3.957]) | 1.669 (SD: 0.480, range: [0.339–3.903]) | 1.673 (SD: 0.484, range: [0.339–3.957]) |
| SampEn dBP (5 min, BtB) | 1.444 (SD: 0.343, range: [0.405–3.460]) | 1.442 (SD: 0.344, range: [0.405–3.460]) | 1.445 (SD: 0.345, range: [0.405–3.460]) |
| Cognitive Measure | CV Measure (SampEn) | IRR | p | 95% CIs | n |
|---|---|---|---|---|---|
| MOCA Errors W1 | sBP | 1.46 | <0.001 | 1.31 to 1.62 | 4525 |
| dBP | 1.26 | <0.001 | 1.15 to 1.40 | 4525 | |
| MMSE Errors W1 | sBP | 1.82 | <0.001 | 1.49 to 2.22 | 4525 |
| dBP | 1.43 | <0.001 | 1.20 to 1.72 | 4525 | |
| MOCA Errors W1 and 3 | sBP | 1.45 | <0.001 | 1.21 to 1.74 | 3600 |
| dBP | 1.26 | 0.010 | 1.06 to 1.49 | 3600 | |
| MMSE Errors W1–5 | sBP | 1.81 | <0.001 | 1.37 to 2.39 | 4316 |
| dBP | 1.44 | 0.005 | 1.12 to 1.87 | 4316 |
| Cognitive Measure | CV Measure (SampEn) | IRR | p | 95% CIs | n |
|---|---|---|---|---|---|
| MOCA Errors W1 | sBP | 1.39 | <0.001 | 1.25 to 1.55 | 4525 |
| dBP | 1.23 | <0.001 | 1.11 to 1.36 | 4525 | |
| MMSE Errors W1 | sBP | 1.69 | <0.001 | 1.38 to 2.05 | 4525 |
| dBP | 1.37 | 0.001 | 1.14 to 1.65 | 4525 | |
| MOCA Errors W1 and 3 | sBP | 1.43 | <0.001 | 1.19 to 1.71 | 3600 |
| dBP | 1.24 | 0.017 | 1.04 to 1.47 | 3600 | |
| MMSE Errors W1–5 | sBP | 1.80 | <0.001 | 1.36 to 2.37 | 4316 |
| dBP | 1.43 | 0.007 | 1.10 to 1.84 | 4316 |
| Cognitive Measure | Cardiovascular Measure (Standardised-Per 1 SD) | IRR | p | 95% CIs |
|---|---|---|---|---|
| MOCA Errors W1 | sBP SampEn (1 min 5 Hz) | 1.042 | <0.001 | 1.029 to 1.056 |
| dBP SampEn (1 min 5 Hz) | 1.028 | <0.001 | 1.014 to 1.042 | |
| sBP SampEn (5 min 5 Hz) | 1.051 | <0.001 | 1.037 to 1.065 | |
| dBP SampEn (5 min 5 Hz) | 1.021 | 0.003 | 1.007 to 1.034 | |
| sBP SampEn (5 min BtB) | 1.007 | 0.286 | 0.994 to 1.021 | |
| dBP SampEn (5 min BtB) | 1.001 | 0.925 | 0.988 to 1.014 | |
| HRV log(SDNN) | 0.943 | <0.001 | 0.930 to 0.957 | |
| HRV log(RMSSD) | 0.970 | <0.001 | 0.955 to 0.984 | |
| HRV log(pNN50) | 0.985 | 0.078 | 0.968 to 1.002 | |
| Mean RS HR | 1.024 | 0.001 | 1.010 to 1.039 | |
| MMSE Errors W1 | sBP SampEn (1 min 5 Hz) | 1.068 | <0.001 | 1.041 to 1.094 |
| dBP SampEn (1 min 5 Hz) | 1.043 | 0.001 | 1.018 to 1.069 | |
| sBP SampEn (5 min 5 Hz) | 1.071 | <0.001 | 1.045 to 1.098 | |
| dBP SampEn (5 min 5 Hz) | 1.033 | 0.008 | 1.009 to 1.059 | |
| sBP SampEn (5 min BtB) | 1.000 | 0.981 | 0.976 to 1.026 | |
| dBP SampEn (5 min BtB) | 1.004 | 0.771 | 0.980 to 1.028 | |
| HRV log(SDNN) | 0.935 | <0.001 | 0.910 to 0.959 | |
| HRV log(RMSSD) | 0.964 | 0.005 | 0.940 to 0.989 | |
| HRV log(pNN50) | 0.981 | 0.208 | 0.953 to 1.011 | |
| Mean RS HR | 1.033 | 0.012 | 1.007 to 1.060 | |
| MOCA Errors W1 and 3 | sBP SampEn (1 min 5 Hz) | 1.045 | <0.001 | 1.022 to 1.069 |
| dBP SampEn (1 min 5 Hz) | 1.028 | 0.017 | 1.005 to 1.052 | |
| sBP SampEn (5 min 5 Hz) | 1.054 | <0.001 | 1.030 to 1.079 | |
| dBP SampEn (5 min 5 Hz) | 1.017 | 0.154 | 0.994 to 1.040 | |
| sBP SampEn (5 min BtB) | 1.016 | 0.170 | 0.993 to 1.040 | |
| dBP SampEn (5 min BtB) | 0.999 | 0.927 | 0.977 to 1.022 | |
| HRV log(SDNN) | 0.937 | <0.001 | 0.915 to 0.961 | |
| HRV log(RMSSD) | 0.969 | 0.011 | 0.946 to 0.993 | |
| HRV log(pNN50) | 0.980 | 0.138 | 0.954 to 1.007 | |
| Mean RS HR | 1.023 | 0.072 | 0.998 to 1.047 | |
| MMSE Errors W1–5 | sBP SampEn (1 min 5 Hz) | 1.071 | <0.001 | 1.036 to 1.107 |
| dBP SampEn (1 min 5 Hz) | 1.047 | 0.007 | 1.012 to 1.082 | |
| sBP SampEn (5 min 5 Hz) | 1.078 | <0.001 | 1.041 to 1.116 | |
| dBP SampEn (5 min 5 Hz) | 1.040 | 0.024 | 1.005 to 1.077 | |
| sBP SampEn (5 min BtB) | 1.002 | 0.906 | 0.968 to 1.038 | |
| dBP SampEn (5 min BtB) | 1.012 | 0.502 | 0.978 to 1.047 | |
| HRV log(SDNN) | 0.935 | <0.001 | 0.901 to 0.970 | |
| HRV log(RMSSD) | 0.977 | 0.207 | 0.941 to 1.013 | |
| HRV log(pNN50) | 0.983 | 0.425 | 0.944 to 1.025 | |
| Mean RS HR | 1.033 | 0.074 | 0.997 to 1.070 |
Publisher’s Note: MDPI stays neutral with regard to jurisdictional claims in published maps and institutional affiliations. |
© 2021 by the authors. Licensee MDPI, Basel, Switzerland. This article is an open access article distributed under the terms and conditions of the Creative Commons Attribution (CC BY) license (https://creativecommons.org/licenses/by/4.0/).
Share and Cite
Knight, S.P.; Newman, L.; Scarlett, S.; O’Connor, J.D.; Davis, J.; De Looze, C.; Kenny, R.A.; Romero-Ortuno, R. Associations between Cardiovascular Signal Entropy and Cognitive Performance over Eight Years. Entropy 2021, 23, 1337. https://doi.org/10.3390/e23101337
Knight SP, Newman L, Scarlett S, O’Connor JD, Davis J, De Looze C, Kenny RA, Romero-Ortuno R. Associations between Cardiovascular Signal Entropy and Cognitive Performance over Eight Years. Entropy. 2021; 23(10):1337. https://doi.org/10.3390/e23101337
Chicago/Turabian StyleKnight, Silvin P., Louise Newman, Siobhan Scarlett, John D. O’Connor, James Davis, Celine De Looze, Rose Anne Kenny, and Roman Romero-Ortuno. 2021. "Associations between Cardiovascular Signal Entropy and Cognitive Performance over Eight Years" Entropy 23, no. 10: 1337. https://doi.org/10.3390/e23101337
APA StyleKnight, S. P., Newman, L., Scarlett, S., O’Connor, J. D., Davis, J., De Looze, C., Kenny, R. A., & Romero-Ortuno, R. (2021). Associations between Cardiovascular Signal Entropy and Cognitive Performance over Eight Years. Entropy, 23(10), 1337. https://doi.org/10.3390/e23101337

