Optimal Heat Exchanger Area Distribution and Low-Temperature Heat Sink Temperature for Power Optimization of an Endoreversible Space Carnot Cycle
Abstract
:1. Introduction
2. Cycle Model and Performance Indicators
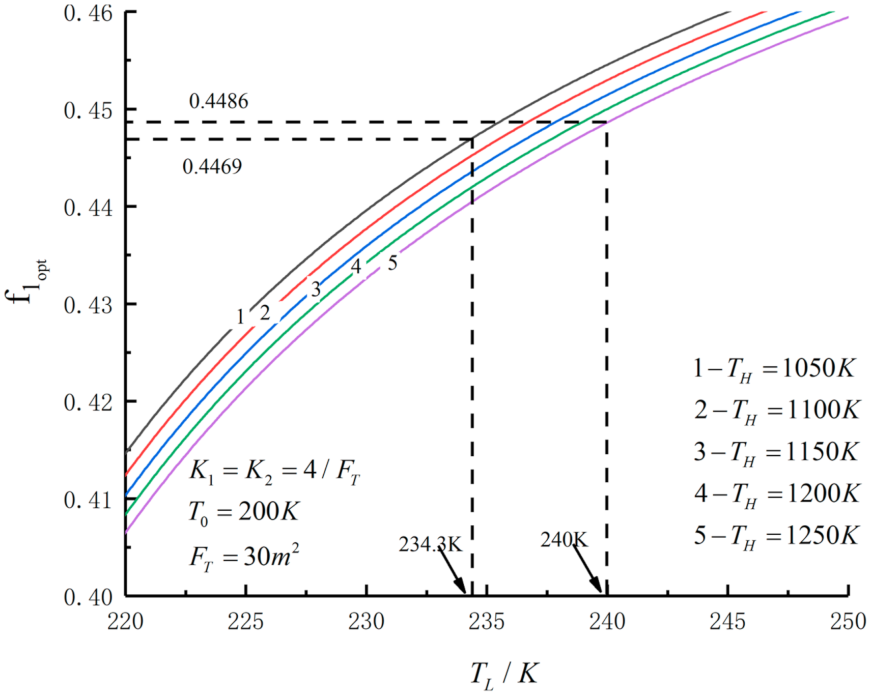
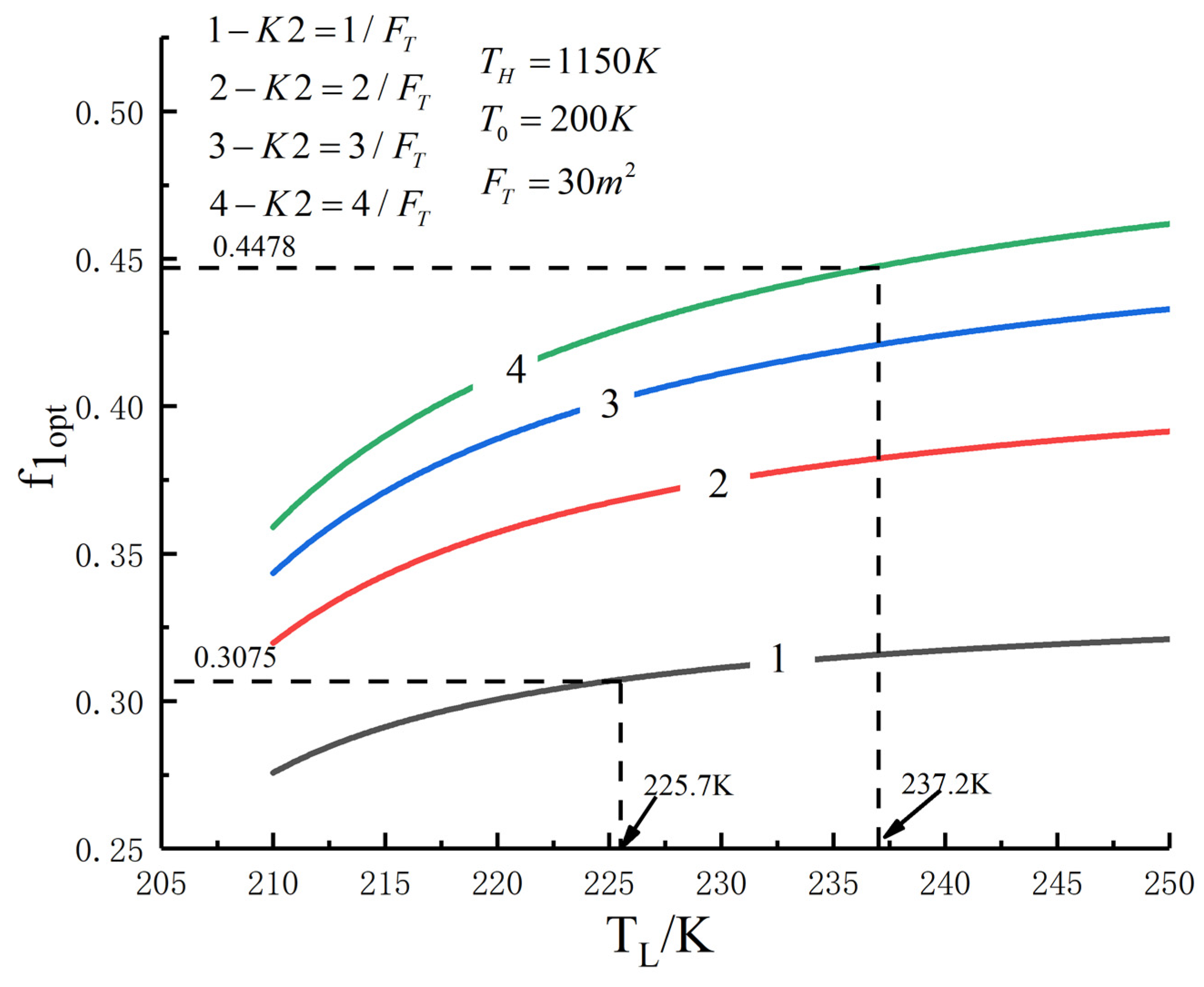
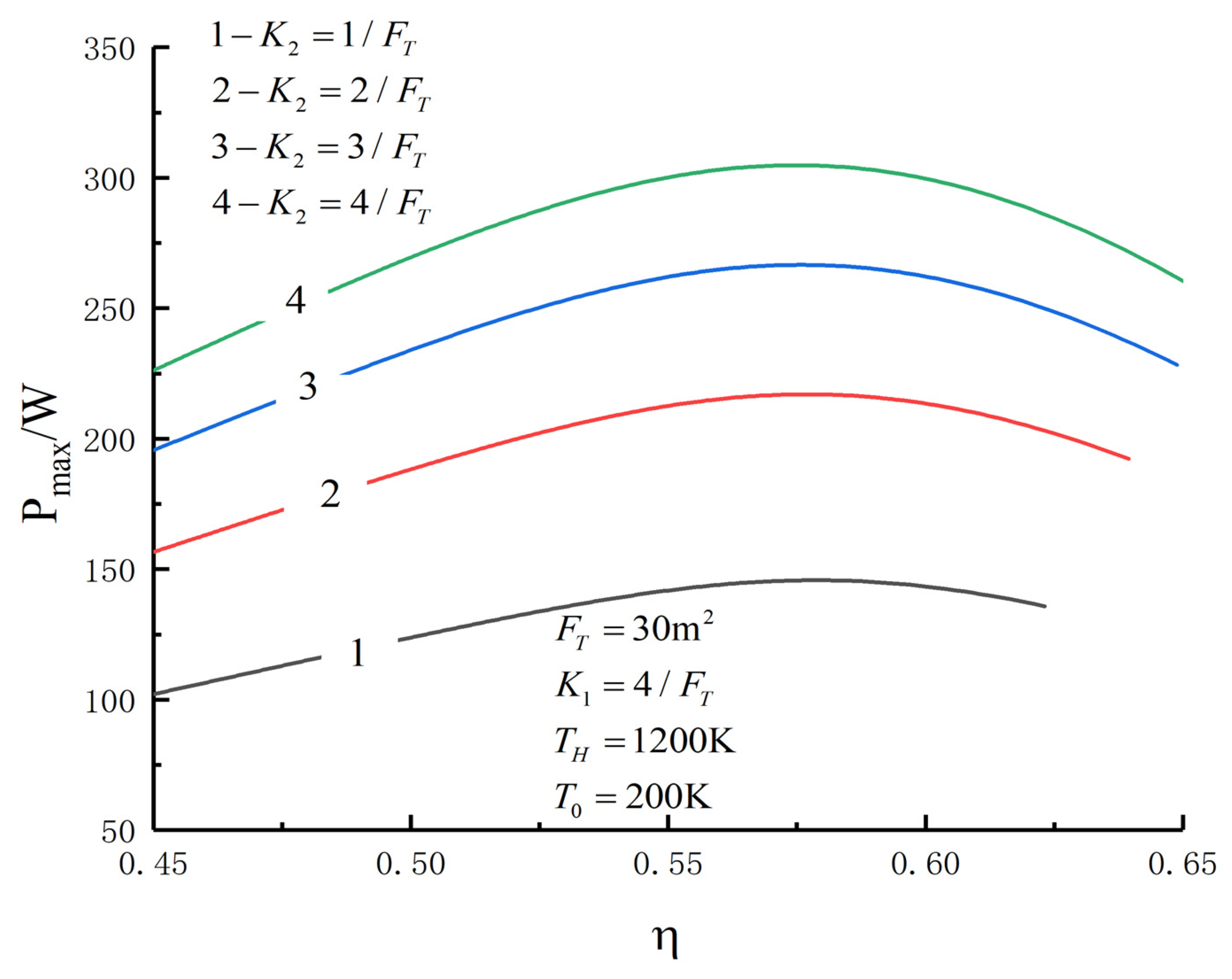
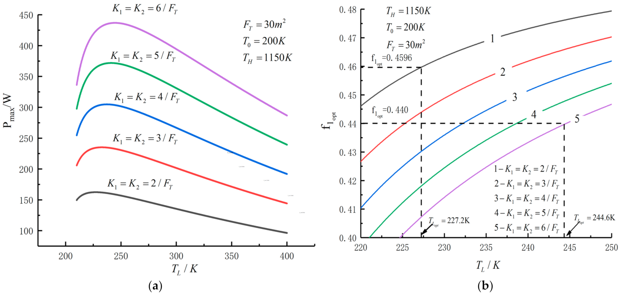
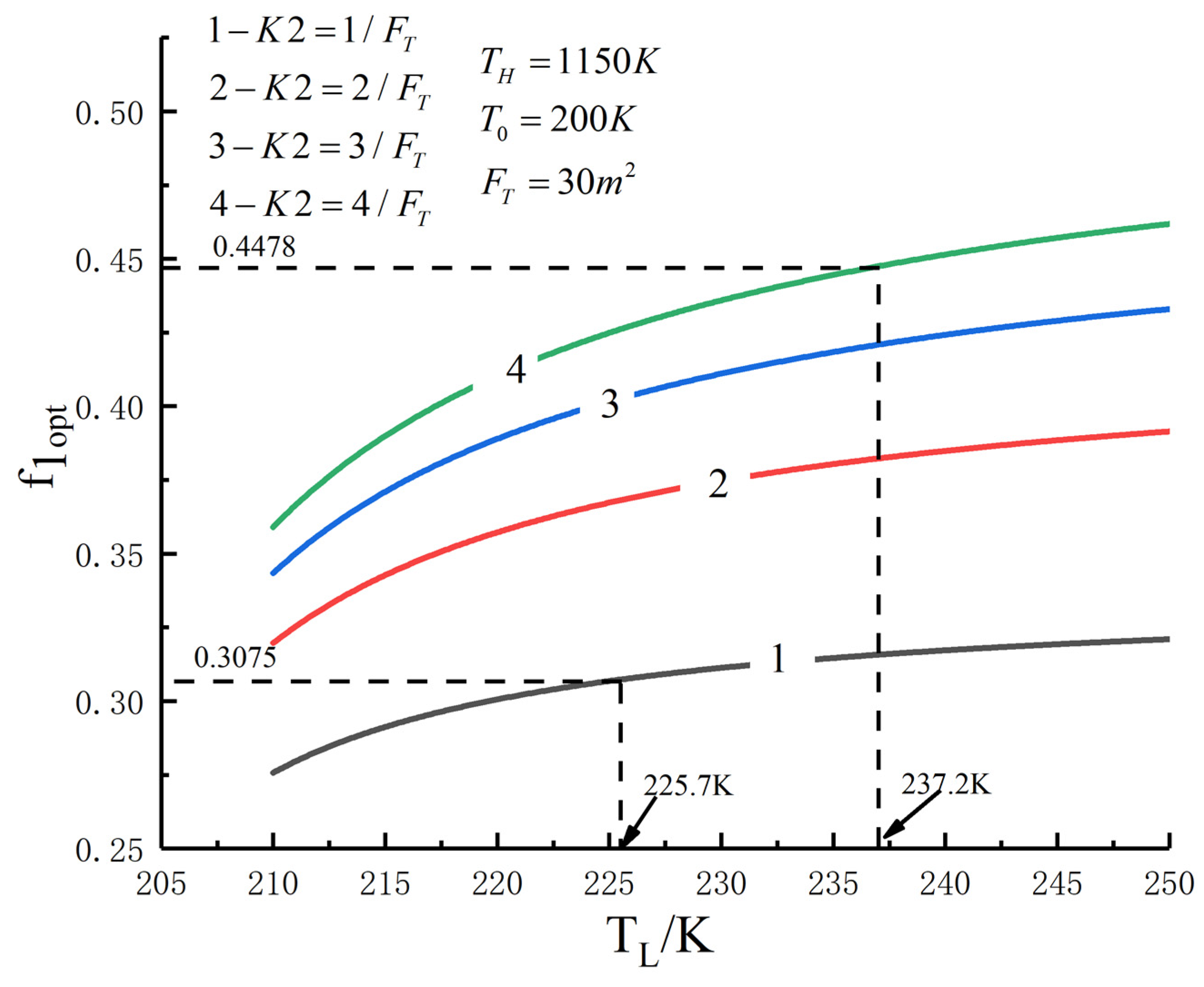
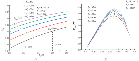
3. Power Optimization
4. About FTT
“FTT is the further extension of conventional irreversible thermodynamics. The cycle model established by Curzon and Ahlborn [4] was a reciprocating Carnot cycle, and the finite time was its major feature. Therefore, such problems of extremal of thermodynamic processes were first named as FTT by Andresen et al [5] and as Optimization Thermodynamics or Optimal Control in Problems of Extremals of Irreversible Thermodynamic Processes by Orlov and Rudenko [51]. When the research object was extended from reciprocating devices characterized by finite-time to the steady state flow devices characterized by finite size, one releases that the physical property of the problems is the heat transfer owing to temperature deference. Therefore, Grazzini [52] termed it as Finite Temperature Difference Thermodynamics, and Lu [53] termed it as Finite Surface Thermodynamics. In fact, the works performed by Moutier [54] and Novikov [2] were also steady state flow device models. While Bejan introduced the effect of temperature difference heat transfer on the total entropy generation of the systems, taken the entropy generation minimization as the optimization objective for designing thermodynamic processes and devices, and termed as “Entropy Generation Minimization” or “Thermodynamic Optimization” [55,56]. For the steady state flow device models, Feidt [15,57,58,59,60,61,62,63,64,65,66] termed it as Finite Physical Dimensions Thermodynamics (FPDT). The model established here in is closer to FPDT. For both reciprocating model and steady state flow model, the suitable name may be thermodynamics of finite size devices and finite time processes, as Bejan termed [55,56].”
5. Conclusions
- (1)
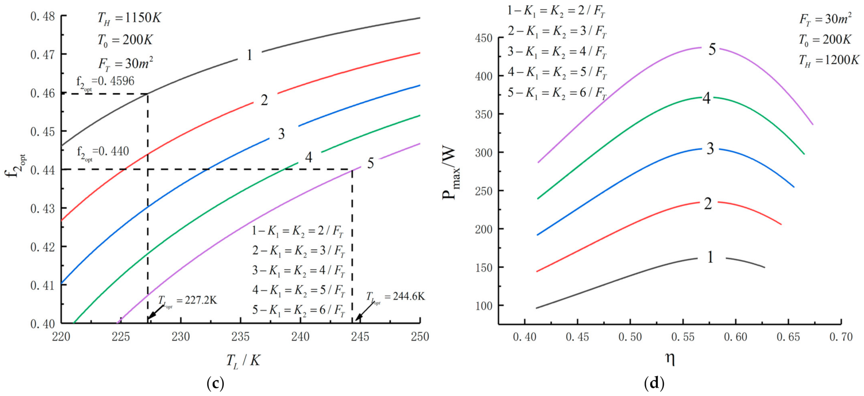
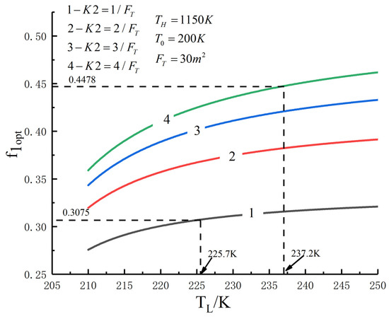
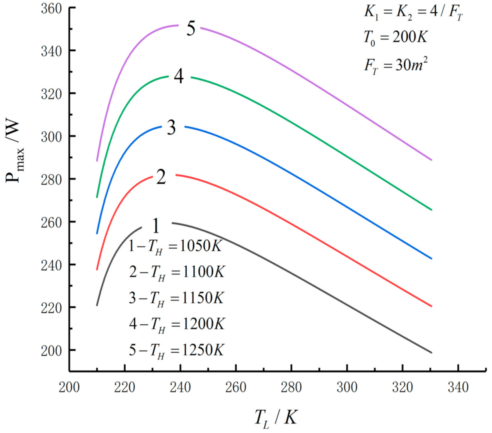
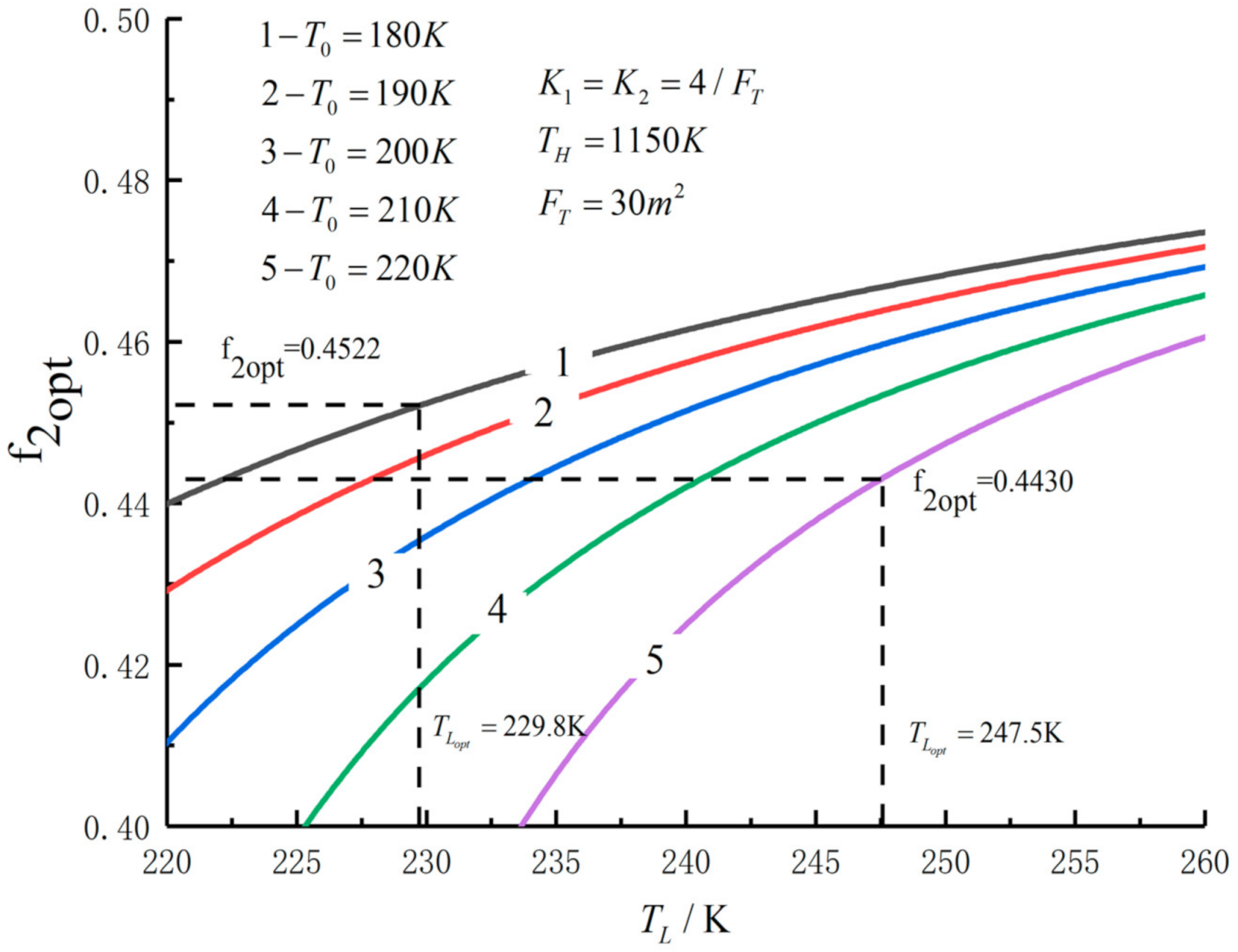
- The relationships between and are parabolic-like ones. When the temperature of the LTHS is fixed, there are a couple of area distributions that allow one to obtain the maximum POW. At the same time, when the area distributions are fixed, there is an optimal temperature of the LTHS that allows one to obtain another maximum POW. So, there is an optimal temperature of the LTHS and a couple of optimal area distributions that allow one to obtain the double-maximum POW.
- (2)
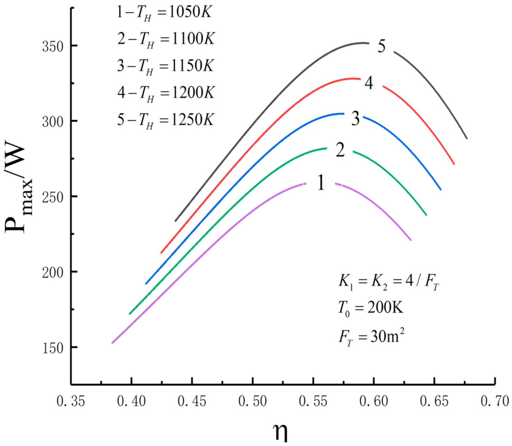
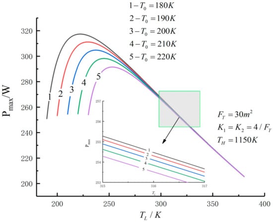
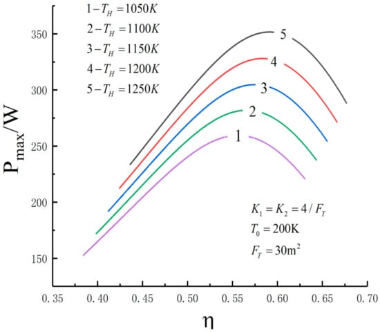
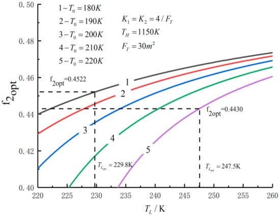
- The double-maximum POW, the corresponding TEF under the double-maximum PO, the optimal area distributions and the optimal temperature of the LTHS increase with an increase in the temperature of the high-temperature heat sink. With a decrease in the space environment, the double-maximum POW, the corresponding TEF under the double-maximum POW and optimal the temperature of the LTHS increase, while the optimal area distributions decrease.
- (3)
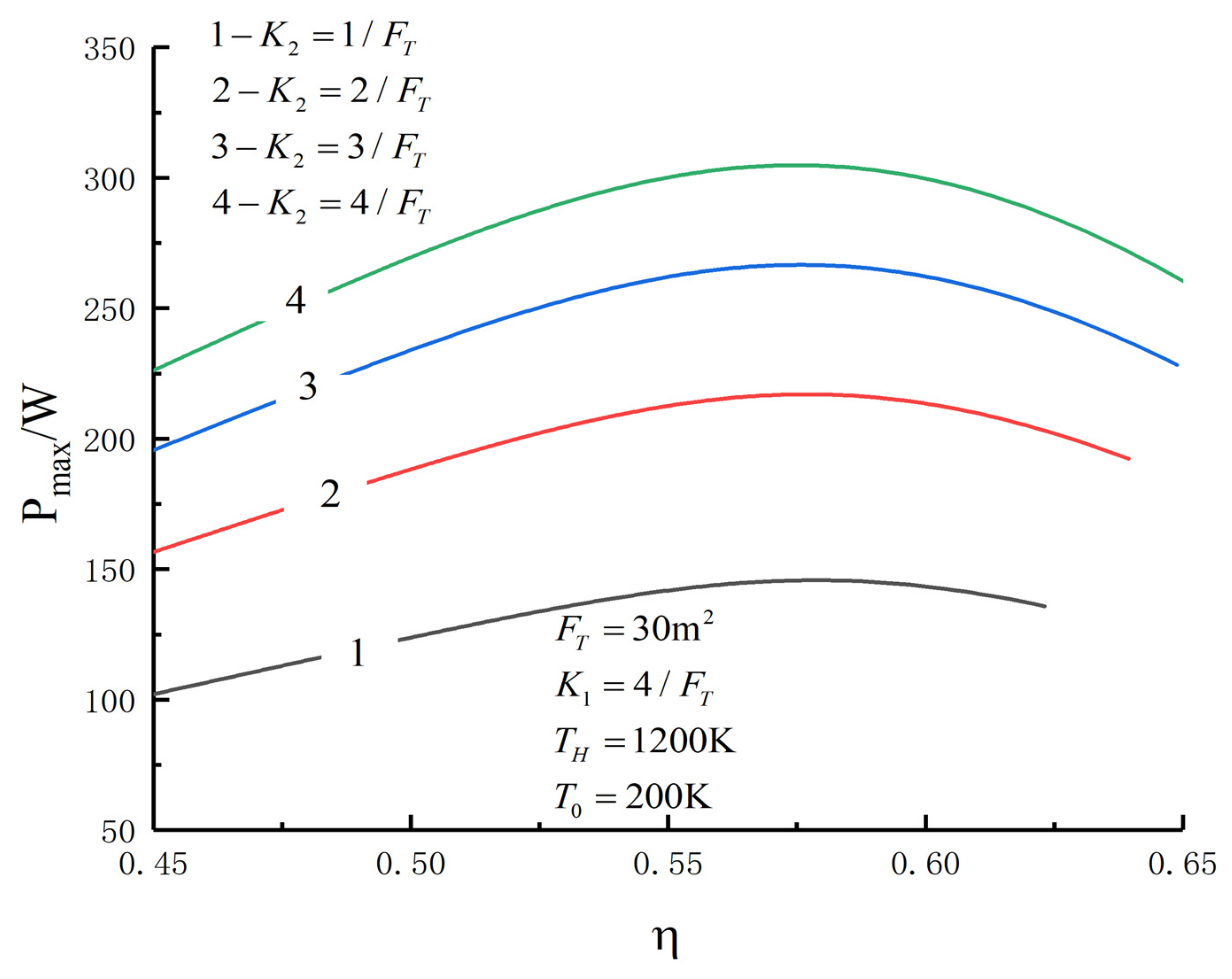
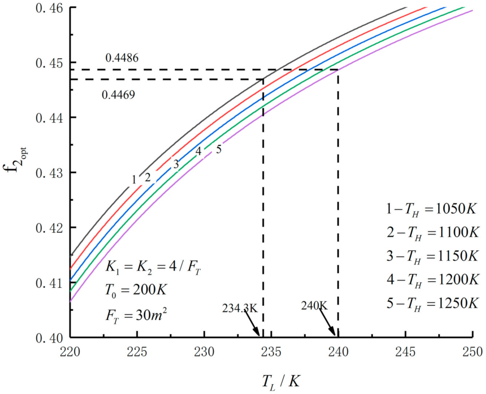
- With an increase in the HT coefficients of the hot HEX and cold HEX, the double-maximum POW and the optimal temperature of the LTHS increase, while the optimal area distributions and the corresponding TEF under the double-maximum POW decrease. With an increase in the total HT area of the HEXs, the double-maximum POW, the optimal area distributions and the corresponding TEF under the double-maximum POW increase, while the optimal temperature of the LTHS decreases.
- (4)
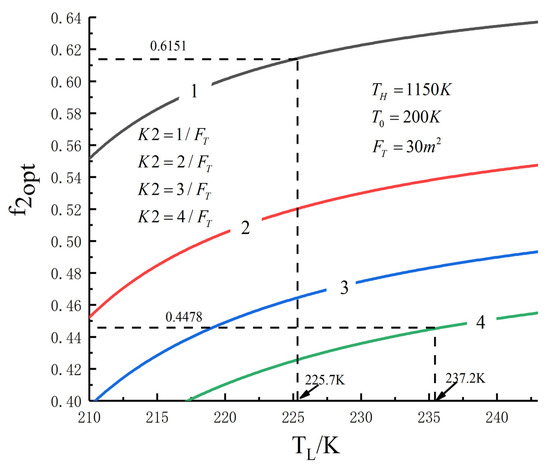
- When the HT coefficients of the hot HEX and cold HXE are different, it will have a greater impact on the POW and the optimal area distributions of the HEXs. With an increase in the HT coefficient of the cold HEX, the double-maximum POW, the optimal area distribution of the hot HEX and the optimal temperature of the LTHS increase, while the optimal area distribution of the cold HEX and the corresponding TEF under the double-maximum POW decrease. When the HT coefficients of the hot HEX and cold HEX are the same, the changes in the optimal area distributions of the hot HEX and cold HEX are the same.
Author Contributions
Funding
Institutional Review Board Statement
Informed Consent Statement
Acknowledgments
Conflicts of Interest
Abbreviations
| CBC | Closed Brayton cycle |
| ECHE | Endoreversible Carnot heat engine |
| FTT | Finite time thermodynamics |
| HEX | Heat exchanger |
| HT | Heat transfer |
| LTSH | Low-temperature heat sink |
| POW | Power output |
| TEF | Thermal efficiency |
| WF | Working fluid |
| FPDT | Finite Physical Dimensions Thermodynamics |
| Nomenclature | |
| Area of radiation surface () | |
| Area of hot heat exchangers () | |
| Area of cold heat exchangers () | |
| Heat transfer coefficient of hot heat exchanger () | |
| Heat transfer coefficient of cold heat exchanger () | |
| Power output () | |
| heat flux rate of hot side () | |
| heat flux rate of cold side () | |
| heat flux rate of radiator panel () | |
| Temperature () | |
| Greek Letters | |
| Emissivity of the radiator (-) | |
| Thermal efficiency (-) | |
| Fin efficiency (-) | |
| Boltzmann constant () | |
| Superscripts | |
| Temperature of the high-temperature heat source | |
| Temperature of the high-temperature work fluid | |
| Temperature of the low-temperature heat sink | |
| Temperature of the low-temperature work fluid | |
| Maximum value | |
| Double maximum value | |
| Optimum | |
| 0 | Environment |
| Cycle state points | |
References
- Carnot, S. Reflection on the Motive of Fire; Bachelier: Paris, France, 1824. [Google Scholar]
- Novikov, I.I. The efficiency of atomic power stations (A review). J. Nucl. Energy 1958, 7, 125–128. [Google Scholar] [CrossRef]
- Chambdal, P. Les Centrales Nucleases; Armand Colin: Paris, France, 1957. [Google Scholar]
- Curzon, F.L.; Ahlborn, B. Efficiency of a Carnot engine at maximum power output. Am. J. Phys. 1975, 43, 22–24. [Google Scholar] [CrossRef]
- Andresen, B.; Berry, R.S.; Nitzan, A.; Salamon, P. Thermodynamics in finite time: The step-Carnot cycle. Phys. Rev. A 1977, 15, 2086–2093. [Google Scholar] [CrossRef]
- Andresen, B. Finite-Time Thermodynamics; Physics Laboratory II, University of Copenhagen: Copenhagen, Danmark, 1983. [Google Scholar]
- Sciubba, E. On the second-law inconsistency of emergy analysis. Energy 2010, 35, 3696–3706. [Google Scholar] [CrossRef]
- Andresen, B. Current trends in finite-time thermodynamics. Ange. Chem. Int. Ed. 2011, 50, 2690–2704. [Google Scholar] [CrossRef] [PubMed]
- Hajmohammadi, M.R.; Eskandari, H.; Saffar-Avval, M.; Campo, A. A new configuration of bend tubes for compound optimization of heat and fluid flow. Energy 2013, 62, 418–424. [Google Scholar] [CrossRef]
- Feidt, M. The history and perspectives of efficiency at maximum power of the Carnot engine. Entropy 2017, 19, 369. [Google Scholar] [CrossRef]
- Gonzalez-Ayala, J.; Roco, J.M.M.; Medina, A.; Calvo-Hernandez, A. Carnot-like heat engines versus low-dissipation models. Entropy 2017, 19, 182. [Google Scholar] [CrossRef] [Green Version]
- Gonzalez-Ayala, J.; Medina, A.; Roco, J.M.M.; Calvo Hernandez, A. Entropy generation and unified optimization of Carnot-like and low-dissipation refrigerators. Phys. Rev. E 2018, 97, 022139. [Google Scholar] [CrossRef] [PubMed] [Green Version]
- Bejan, A. Thermodynamics today. Energy 2018, 160, 1208–1219. [Google Scholar] [CrossRef]
- Pourkiaei, S.M.; Ahmadi, M.H.; Sadeghzadeh, M.; Moosavi, S.; Pourfayaz, F.; Chen, L.G.; Yazdi, M.A.; Kumar, R. Thermoelectric cooler and thermoelectric generator devices: A review of present and potential applications, modeling and materials. Energy 2019, 186, 115849. [Google Scholar] [CrossRef]
- Feidt, M.; Costea, M. Progress in Carnot and Chambadal modeling of thermomechnical engine by considering entropy and heat transfer entropy. Entropy 2019, 21, 1232. [Google Scholar] [CrossRef] [Green Version]
- Guo, J.C.; Wang, Y.; Gonzalez-Ayala, J.; Roco, J.M.M.; Medina, A.; Calvo Hernández, A. Continuous power output criteria and optimum operation strategies of an upgraded thermally regenerative electrochemical cycles system. Energy Convers. Manag. 2019, 180, 654–664. [Google Scholar] [CrossRef]
- Chen, L.G.; Ma, K.; Feng, H.J.; Ge, Y.L. Optimal configuration of a gas expansion process in a piston-type cylinder with generalized convective heat transfer law. Energies 2020, 13, 3229. [Google Scholar] [CrossRef]
- Bejan, A. Discipline in thermodynamics. Energies 2020, 13, 2487. [Google Scholar] [CrossRef]
- Lucia, U.; Grisolia, G.; Kuzemsky, A.L. Time, irreversibility and entropy production in nonequilibrium systems. Entropy 2020, 22, 887. [Google Scholar] [CrossRef]
- Grisolia, G.; Fino, D.; Lucia, U. Thermodynamic optimisation of the biofuel production based onmutualism. Energy Rep. 2020, 6, 1561–1571. [Google Scholar] [CrossRef]
- Gonzalez-Ayala, J.; Roco, J.M.M.; Medina, A.; Calvo-Hernández, A. Optimization, stability, and entropy in endoreversible heat engines. Entropy 2020, 22, 1323. [Google Scholar] [CrossRef]
- Yasunaga, T.; Fontaine, K.; Ikegami, Y. Performance evaluation concept for ocean thermal energy conversion toward standardization and intelligent design. Energies 2021, 14, 2336. [Google Scholar] [CrossRef]
- Dumitrașcu, G.; Feidt, M.; Grigorean, S. Finite physical dimensions thermodynamics analysis and design of closed irreversible cycles. Energies 2021, 14, 3416. [Google Scholar] [CrossRef]
- Chen, L.G.; Meng, Z.W.; Ge, Y.L.; Wu, F. Performance analysis and optimization for irreversible combined quantum Carnot heat engine working with ideal quantum gases. Entropy 2021, 23, 536. [Google Scholar] [CrossRef]
- Costea, M.; Petrescu, S.; Feidt, M.; Dobre, C.; Borcila, B. Optimization modeling of irreversible Carnot engine from the perspective of combining finite speed and finite time analysis. Entropy 2021, 23, 504. [Google Scholar] [CrossRef]
- Li, Z.X.; Cao, H.B.; Yang, H.X.; Guo, J.C. Comparative assessment of various low-dissipation combined models for three-terminal heat pump systems. Entropy 2021, 23, 513. [Google Scholar] [CrossRef]
- Chattopadhyay, P.; Mitra, A.; Paul, G.; Zarikas, V. Bound on efficiency of heat engine from uncertainty relation viewpoint. Entropy 2021, 23, 439. [Google Scholar] [CrossRef]
- Chen, J.F.; Li, Y.; Dong, H. Simulating finite-time isothermal processes with superconducting quantum circuits. Entropy 2021, 23, 353. [Google Scholar] [CrossRef]
- Shakouri, O.; Assad, M.E.H.; Açıkkalp, E. Thermodynamic analysis and multi-objective optimization performance of solid oxide fuel cell-Ericsson heat engine-reverse osmosis desalination. J. Therm. Anal. Calorim. 2021, 145, 1075–1090. [Google Scholar] [CrossRef]
- Açıkkalp, E.; Kandemir, S.Y. Performance assessment of the photon enhanced thermionic emitter and heat engine system. J. Therm. Anal. Calorim. 2021, 145, 649–657. [Google Scholar] [CrossRef]
- Li, J.; Chen, L.G. Exergoeconomic performance optimization of space thermoradiative cell. Eur. Phys. J. Plus 2021, 136, 644. [Google Scholar] [CrossRef]
- Qiu, S.S.; Ding, Z.M.; Chen, L.G.; Ge, Y.L. Performance optimization of thermionic refrigerators based on van der Waals heterostructures. Sci China Technol. Sci 2021, 64, 1007–1016. [Google Scholar] [CrossRef]
- Ding, Z.M.; Qiu, S.S.; Chen, L.G.; Wang, W.H. Modeling and performance optimization of double-resonance electronic cooling device with three electron reservoirs. J. Non-Equilib. Thermodyn. 2021, 46, 273–289. [Google Scholar] [CrossRef]
- Qi, C.Z.; Ding, Z.M.; Chen, L.G.; Ge, Y.L.; Feng, H.J. Modelling of irreversible two-stage combined thermal Brownian refrigerators and their optimal performance. J. Non-Equilib. Thermodyn. 2021, 46, 175–189. [Google Scholar] [CrossRef]
- Berry, R.S.; Salamon, P.; Andresen, B. How it all began. Entropy 2020, 22, 908. [Google Scholar] [CrossRef]
- Yan, Z.J. Thermal efficiency of a Carnot engine at the maximum power-output with a finite thermal capacity heat reservoir. J. Eng. Thermophys. 1984, 5, 125–131. (In Chinese) [Google Scholar]
- Sun, F.R.; Chen, L.G.; Chen, W.Z. Finite-time thermodynamic analysis and evaluation of a steady-state energy conversion heat engine between heat sources. Therm. Energy Power Eng. 1989, 4, 1–6. (In Chinese) [Google Scholar]
- Chen, W.Z.; Sun, F.R.; Chen, L.G. The area characteristics of the steady-state energy conversion heat engine between heat sources. J. Eng. Thermophys. 1990, 11, 365–368. (In Chinese) [Google Scholar]
- Schwalbe, K.; Hoffmann, K.H. Performance features of a stationary stochastic Novikov engine. Entropy 2018, 20, 52. [Google Scholar] [CrossRef] [Green Version]
- Barrett, M.J. Performance expections of closed-Brayton-cycle heat exchangers in 100-kWe nuclear space power systems. In Proceedings of the 1st International Energy Conversion Engineering Conference (IECEC), Portsmouth, VA, USA, 17–21 August 2003. [Google Scholar]
- Barrett, J.M.; Johnson, P.K. Model fidelity requirements for closed-Brayton- cycle space power systems. J. Propuls. Power 2007, 23, 637–640. [Google Scholar] [CrossRef]
- Barrett, M.J. Expectations of closed-Brayton-cycle heat exchangers in nuclear space power systems. J. Propuls. Power 2005, 21, 152–157. [Google Scholar] [CrossRef]
- Toro, C.; Lior, N. Analysis and comparison of solar-driven Stirling, Brayton and Rankine cycles for space power generation. Energy 2017, 120, 549–564. [Google Scholar] [CrossRef]
- Liu, H.Q.; Chi, Z.R.; Zang, S.S. Optimization of a closed Brayton cycle for space power systems. Appl. Therm. Eng. 2020, 179, 115611. [Google Scholar] [CrossRef]
- Ribeiro, G.B.; Guimarães, L.N.F.; Filho, F.B. Heat exchanger optimization of a closed Brayton cycle for nuclear space propulsion. In Proceedings of the 2015 International Nuclear Atlantic Conference—INAC 2015, São Paulo, Brazil, 4–9 October 2015. [Google Scholar]
- Ribeiro, G.B.; Filho, F.B.; Guimarães, L.N.F. Thermodynamic analysis and optimization of a closed Regenerative Brayton cycle for nuclear space power systems. Appl. Therm. Eng. 2015, 90, 250–257. [Google Scholar] [CrossRef]
- Araújo, E.F.; Ribeiro, G.B.; Guimarães, L.N.F. Thermodynamic optimization of a heat exchanger used in thermal cycles applicable for space systems. In Proceedings of the 25th International Congress of Mechanical Engineering, Uberiandia, Brazil, 20–25 October 2019. [Google Scholar]
- Romano, L.F.R.; Ribeiro, G.B. Parametric evaluation of a heat pipe-radiator assembly for nuclear space power systems. Therm. Sci. Eng. Prog. 2019, 13, 100368. [Google Scholar] [CrossRef]
- Romano, L.F.R.; Ribeiro, G.B. Cold-side temperature optimization of a recuperated closed Brayton cycle for space power generation. Therm. Sci. Eng. Prog. 2020, 17, 100498. [Google Scholar] [CrossRef]
- Tang, C.Q.; Chen, L.G.; Feng, H.J.; Ge, Y.L. Four-objective optimization for an improved irreversible closed modified simple Brayton cycle. Entropy 2021, 23, 282. [Google Scholar] [CrossRef]
- Orlov, V.N.; Rudenko, A.V. Optimal control in problems of extremal of irreversible thermodynamic processes. Autom. Remote Control 1985, 46, 549–577. [Google Scholar]
- Grazzini, G. Work from irreversible heat engines. Energy 1991, 16, 747–755. [Google Scholar] [CrossRef]
- Lu, P.C. Thermodynamics with finite heat-transfer area or finite surface thermodynamics. Thermodynamics and the Design, Analysis, and Improvement of Energy Systems, ASME Adv. Energy Sys. Div. Pub. AES 1995, 35, 51–60. [Google Scholar]
- Moutier, J. Éléments de Thermodynamique; Gautier-Villars: Paris, France, 1872. [Google Scholar]
- Bejan, A. Entropy Generation Minimization; CRC Press: Boca Raton, FL, USA, 1996. [Google Scholar]
- Bejan, A. Entropy generation minimization: The new thermodynamics of finite size devices and finite time processes. J. Appl. Phys. 1996, 79, 1191–1218. [Google Scholar] [CrossRef] [Green Version]
- Feidt, M. Thermodynamique et Optimisation Energetique des Systems et Procedes, 2nd ed.; Technique et Documentation; Lavoisier: Paris, France, 1996. (In French) [Google Scholar]
- Dong, Y.; El-Bakkali, A.; Feidt, M.; Descombes, G.; Perilhon, C. Association of finite-dimension thermodynamics and a bond-graph approach for modeling an irreversible heat engine. Entropy 2012, 14, 1234–1258. [Google Scholar] [CrossRef] [Green Version]
- Feidt, M. Thermodynamique Optimale en Dimensions Physiques Finies; Hermès: Paris, France, 2013. [Google Scholar]
- Perescu, S.; Costea, M.; Feidt, M.; Ganea, I.; Boriaru, N. Advanced Thermodynamics of Irreversible Processes with Finite Speed and Finite Dimensions; Editura AGIR: Bucharest, Romania, 2015. [Google Scholar]
- Feidt, M. Finite Physical Dimensions Optimal Thermodynamics 1: Fundamental; ISTE Press and Elsevier: London, UK, 2017. [Google Scholar]
- Feidt, M. Finite Physical Dimensions Optimal Thermodynamics 2: Complex Systems; ISTE Press and Elsevier: London, UK, 2018. [Google Scholar]
- Blaise, M.; Feidt, M.; Maillet, D. Influence of the working fluid properties on optimized power of an irreversible finite dimensions Carnot engine. Energy Convers. Manag. 2018, 163, 444–456. [Google Scholar] [CrossRef]
- Feidt, M.; Costea, M. From finite time to finite physical dimensions thermodynamics: The Carnot engine and Onsager’s relations revisited. J. Non-Equilib. Thermodyn. 2018, 43, 151–162. [Google Scholar] [CrossRef]
- Dumitrascu, G.; Feidt, M.; Popescu, A.; Grigorean, S. Endoreversible trigeneration cycle design based on finite physical dimensions thermodynamics. Energies 2019, 12, 3165. [Google Scholar]
- Feidt, M.; Costea, M.; Feidt, R.; Danel, Q.; Périlhon, C. New criteria to characterize the waste heat recovery. Energies 2020, 13, 789. [Google Scholar] [CrossRef] [Green Version]
- Muschik, W.; Hoffmann, K.H. Modeling, simulation, and reconstruction of 2-reservoir heat-to-power processes in finite-time thermodynamics. Entropy 2020, 22, 997. [Google Scholar] [CrossRef]




















Publisher’s Note: MDPI stays neutral with regard to jurisdictional claims in published maps and institutional affiliations. |
© 2021 by the authors. Licensee MDPI, Basel, Switzerland. This article is an open access article distributed under the terms and conditions of the Creative Commons Attribution (CC BY) license (https://creativecommons.org/licenses/by/4.0/).
Share and Cite
Wang, T.; Ge, Y.; Chen, L.; Feng, H.; Yu, J. Optimal Heat Exchanger Area Distribution and Low-Temperature Heat Sink Temperature for Power Optimization of an Endoreversible Space Carnot Cycle. Entropy 2021, 23, 1285. https://doi.org/10.3390/e23101285
Wang T, Ge Y, Chen L, Feng H, Yu J. Optimal Heat Exchanger Area Distribution and Low-Temperature Heat Sink Temperature for Power Optimization of an Endoreversible Space Carnot Cycle. Entropy. 2021; 23(10):1285. https://doi.org/10.3390/e23101285
Chicago/Turabian StyleWang, Tan, Yanlin Ge, Lingen Chen, Huijun Feng, and Jiuyang Yu. 2021. "Optimal Heat Exchanger Area Distribution and Low-Temperature Heat Sink Temperature for Power Optimization of an Endoreversible Space Carnot Cycle" Entropy 23, no. 10: 1285. https://doi.org/10.3390/e23101285
APA StyleWang, T., Ge, Y., Chen, L., Feng, H., & Yu, J. (2021). Optimal Heat Exchanger Area Distribution and Low-Temperature Heat Sink Temperature for Power Optimization of an Endoreversible Space Carnot Cycle. Entropy, 23(10), 1285. https://doi.org/10.3390/e23101285

