Temporal–Spatial Evolution of Kinetic and Thermal Energy Dissipation Rates in a Three-Dimensional Turbulent Rayleigh–Taylor Mixing Zone
Abstract
1. Introduction
2. Dynamics Equation and Numerical Methods
2.1. Convection Diffusion Equation of Thermal Fluid
2.2. Numerical Method for Rayleigh–Taylor Flow Equation
3. Results and Discussion
3.1. Profiles of and in 3D Case
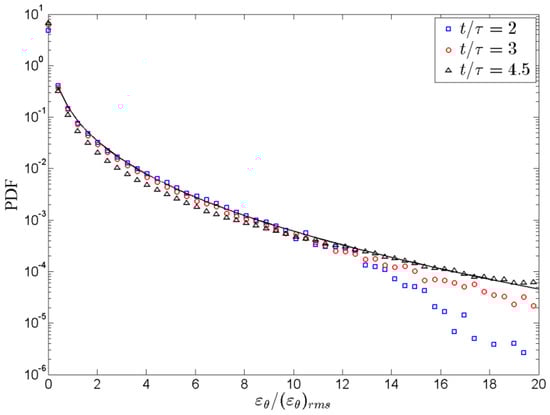
3.2. Probability Density Functions of and in the 3D Turbulent RT Mixing Zone
3.3. Fractal Dimension of Mixing Interface
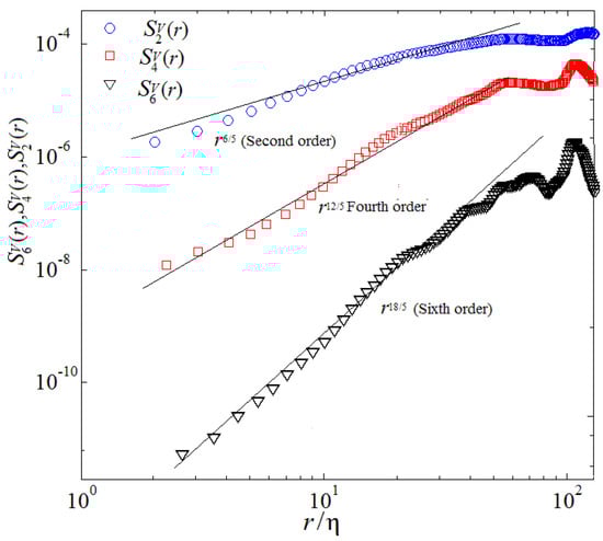
3.4. Spatial Intermittency in Mixing Zone
4. Conclusions
Author Contributions
Funding
Acknowledgments
Conflicts of Interest
References
- Boffetta, G.; Mazzino, A. Incompressible Rayleigh–Taylor Turbulence. Annu. Rev. Fluid Mech. 2017, 49, 119–143. [Google Scholar] [CrossRef]
- Taylor, G.I. The instability of liquid surfaces when accelerated in a direction perpendicular to their planes. I. Proc. R. Soc. Lond. Ser. A Math. Phys. Sci. 1950, 201, 192–196. [Google Scholar] [CrossRef]
- Isobe, H.; Miyagoshi, T.; Shibata, K.; Yokoyama, T. Filamentary structure on the Sun from the magnetic Rayleigh–Taylor instability. Nature 2005, 434, 478–481. [Google Scholar] [CrossRef]
- Zhou, Y. A scaling analysis of turbulent flows driven by Rayleigh–Taylor and Richtmyer–Meshkov instabilities. Phys. Fluids 2001, 13, 538–543. [Google Scholar] [CrossRef]
- Abarzhi, S.I. Review of theoretical modelling approaches of Rayleigh–Taylor instabilities and turbulent mixing. Philos. Trans. R. Soc. A 2010, 368, 1809–1828. [Google Scholar] [CrossRef]
- Chertkov, M. Phenomenology of Rayleigh-Taylor Turbulence. Phys. Rev. Lett. 2003, 91, 115001–115007. [Google Scholar] [CrossRef] [PubMed]
- Chertkov, M.; Falkovich, G.; Kolokolov, I. Intermittent Dissipation of a Passive Scalar in Turbulence. Phys. Rev. Lett. 1998, 80, 2121–2124. [Google Scholar] [CrossRef]
- Dalziel, S.B.; Linden, P.F.; Youngs, D.L. Self-similarity and internal structure of turbulence induced by Rayleigh–Taylor instability. J. Fluid Mech. 1999, 399, 1–48. [Google Scholar] [CrossRef]
- Boffetta, G.; Mazzino, A.; Musacchio, S.; Vozella, L. Kolmogorov scaling and intermittency in Rayleigh-Taylor turbulence. Phys. Rev. E 2009, 79, 065301. [Google Scholar] [CrossRef]
- Vladimirova, N.; Chertkov, M. Self-similarity and universality in Rayleigh–Taylor, Boussinesq turbulence. Phys. Fluids 2009, 21, 15102. [Google Scholar] [CrossRef]
- Zhou, Q. Temporal evolution and scaling of mixing in two-dimensional Rayleigh-Taylor turbulence. Phys. Fluids 2013, 25, 085107. [Google Scholar] [CrossRef]
- Zhou, Q.; Jiang, L.-F. Kinetic and thermal energy dissipation rates in two-dimensional Rayleigh-Taylor turbulence. Phys. Fluids 2016, 28, 045109. [Google Scholar] [CrossRef]
- Zhou, Q.; Huang, Y.-X.; Lu, Z.-M.; Liu, Y.-L.; Ni, R. Scale-to-scale energy and enstrophy transport in two-dimensional Rayleigh–Taylor turbulence. J. Fluid Mech. 2015, 786, 294–308. [Google Scholar] [CrossRef]
- Qiu, X.; Liu, Y.-L.; Zhou, Q. Local dissipation scales in two-dimensional Rayleigh-Taylor turbulence. Phys. Rev. E 2014, 90, 043012. [Google Scholar] [CrossRef] [PubMed]
- Cook, A.W.; Dimotakis, P.E. Transition stages of Rayleigh–Taylor instability between miscible fluids. J. Fluid Mech. 2001, 443, 69–83. [Google Scholar] [CrossRef]
- Zhou, Y. Rayleigh–Taylor and Richtmyer–Meshkov instability induced flow, turbulence, and mixing. II. Phys. Rep. 2017, 15, 1–160. [Google Scholar] [CrossRef]
- Ristorcelli, J.R.; Clark, T.T. Rayleigh–Taylor turbulence: Self-similar analysis and direct numerical simulations. J. Fluid Mech. 2004, 507, 213–253. [Google Scholar] [CrossRef]
- Gamba, A.A.; Kolokolov, I. Dissipation Statistics of a Passive Scalar in a Multidimensional Smooth Flow. J. Stat. Phys. 1999, 94, 759–777. [Google Scholar] [CrossRef]
- Biferale, L.; Mantovani, F.; Sbragaglia, M.; Scagliarini, A.; Toschi, F.; Tripiccione, R. High resolution numerical study of Rayleigh–Taylor turbulence using a thermal lattice Boltzmann scheme. Phys. Fluids 2010, 22, 115112. [Google Scholar] [CrossRef]
- Boffetta, G.; Mazzino, A.; Musacchio, S.; Vozella, L. Statistics of mixing in three-dimensional Rayleigh–Taylor turbulence at low Atwood number and Prandtl number one. Phys. Fluids 2010, 22, 035109. [Google Scholar] [CrossRef]
- Sreenivasan, K.R. Fractals and multifractals in fluid turbulence. Annu. Rev. Fluid Mech. 1991, 23, 539–600. [Google Scholar] [CrossRef]
- Kolmogorov, A.N. A refinement of previous hypotheses concerning the local structure of turbulence in a viscous incompressible fluid at high Reynolds number. J. Fluid Mech. 1962, 13, 82–85. [Google Scholar] [CrossRef]
- Zhou, Y.; Cabot, W.H. Time-dependent study of anisotropy in Rayleigh-Taylor instability induced turbulent flows with a variety of density ratios. Phys. Fluids 2019, 31, 084106. [Google Scholar]
- Yeung, P.K.; Donzis, D.A.; Sreenivasan, K.R. High-Reynolds-number simulation of turbulent mixing. Phys. Fluids 2005, 17, 81703. [Google Scholar] [CrossRef]
- Yu, J.; Jiang, Y.; Cai, W.; Li, X.; Zhu, Z. Condensation flow patterns and heat transfer correction for zeotropic hydrocarbon mixtures in a helically coiled tube. Int. J. Heat Mass Transf. 2019, 143, 112–121. [Google Scholar] [CrossRef]
- Yu, J.; Jiang, Y.; Cai, W.; Li, F. Forced convective condensation flow and heat transfer characteristics of hydrocarbon mixtures refrigerant in helically coiled tubes. Int. J. Heat Mass Transf. 2018, 124, 646–654. [Google Scholar] [CrossRef]
- Xu, H.; Cantwell, C.D.; Monteserin, C.; Eskilsson, C.; Engsig-Karup, A.P.; Sherwin, S.J. Spectral/hp element methods: Recent developments, applications, and perspectives. J. Hydrodyn. 2018, 30, 1–22. [Google Scholar] [CrossRef]
- Xu, H.; Mughal, S.M.; Gowree, E.; Atkin, C.J.; Sherwin, S.J. Destabilisation and modification of Tollmien–Schlichting disturbances by a three-dimensional surface indentation. J. Fluid Mech. 2017, 819, 592–620. [Google Scholar] [CrossRef]
- Xu, H.; Sherwin, S.J.; Hall, P.; Wu, X. The behaviour of Tollmien–Schlichting waves undergoing small-scale localised distortions. J. Fluid Mech. 2016, 792, 499–525. [Google Scholar] [CrossRef][Green Version]
- Yang, H.; Zhang, W.; Zhu, Z. Unsteady mixed convection in a square enclosure with an inner cylinder rotating in a bi-directional and time-periodic mode. Int. J. Heat Mass Transf. 2019, 136, 563–580. [Google Scholar] [CrossRef]
- Lun, Y.; Lin, L.; He, H.; Ye, X.; Zhu, Z.; Wei, Y. Effects of vortex structure on performance characteristics of a multiblade fan with inclined tongue. Proc. Inst. Mech. Eng. Part A J. Power Energy 2019, 233, 1007–1021. [Google Scholar] [CrossRef]
- Tao, J.; Lin, Z.; Ma, C.; Ye, J.; Zhu, Z.; Li, Y.; Mao, W. An Experimental and Numerical Study of Regulating Performance and Flow Loss in a V-Port Ball Valve. J. Fluids Eng. 2019, 142, 021207. [Google Scholar] [CrossRef]
- Wei, Y.; Zhu, L.; Zhang, W.; Wang, Z. Numerical and experimental investigations on the flow and noise characteristics in a centrifugal fan with step tongue volutes. Proc. Inst. Mech. Eng. Part C J. Mech. Eng. Sci. 2019. [Google Scholar] [CrossRef]
- Yang, H.; Yu, P.; Xu, J.; Ying, C.; Cao, W.; Wang, Y.; Zhu, Z.; Wei, Y. Experimental investigations on the performance and noise characteristics of a forward-curved fan with the stepped tongue. Meas. Control. 2019, 52, 1480–1488. [Google Scholar] [CrossRef]
- Zhang, N.; Liu, X.; Gao, B.; Xia, B. DDES analysis of the unsteady wake flow and its evolution of a centrifugal pump. Renew. Energy 2019, 141, 570–582. [Google Scholar] [CrossRef]
- Zhang, N.; Liu, X.; Gao, B.; Wang, X.; Xia, B. Effects of modifying the blade trailing edge profile on unsteady pressure pulsations and flow structures in a centrifugal pump. Int. J. Heat Fluid Flow 2019, 75, 227–238. [Google Scholar] [CrossRef]
- Hu, X.-Q.; Yang, Q.-W.; Xiao, G.; Chen, X.-T.; Qiu, X. Power generation enhancement in direct methanol fuel cells using non-uniform cross-sectional serpentine channels. Energy Convers. Manag. 2019, 188, 438–446. [Google Scholar] [CrossRef]
- Yang, Q.-W.; Hu, X.; Zhu, Y.; Lei, X.-C.; Yu, B.; Ji, S.-C. Extended criterion for robustness evaluations of energy conversion efficiency in DMFCs. Energy Convers. Manag. 2018, 172, 285–295. [Google Scholar] [CrossRef]
- Zhang, W.; Li, X.; Zhu, Z. Quantification of wake unsteadiness for low-Re flow across two staggered cylinders. Proc. Inst. Mech. Eng. Part C J. Mech. Eng. Sci. 2019, 233, 6892–6909. [Google Scholar] [CrossRef]
- Lin, Z.; Liu, Z.; Liu, Q.; Li, Y. Fluidization characteristics of particles in a groove induced by horizontal air flow. Powder Technol. 2020, 363, 442–447. [Google Scholar] [CrossRef]
- Qian, Y.H.; D’Humières, D.; Lallemand, P. Lattice BGK Models for Navier-Stokes Equation. Europhys. Lett. 1992, 17, 479–484. [Google Scholar] [CrossRef]
- Chen, S.; Doolen, G.D. Lattice Boltzmann Method for Fluid Flows. Annu. Rev. Fluid Mech. 1998, 30, 329–364. [Google Scholar] [CrossRef]
- Wei, Y.; Dou, H.-S.; Qian, Y.; Wang, Z. A novel two-dimensional coupled lattice Boltzmann model for incompressible flow in application of turbulence Rayleigh–Taylor instability. Comput. Fluids 2017, 156, 97–102. [Google Scholar] [CrossRef]
- Wang, Z.; Wei, Y.; Qian, Y. A bounce back-immersed boundary-lattice Boltzmann model for curved boundary. Appl. Math. Model. 2020, 81, 428–440. [Google Scholar] [CrossRef]
- Guo, Z.L.; Shi, B.C.; Zheng, C.G. A coupled lattice BGK model forthe Boussinesq equations. Int. J. Numer. Methods Fluids 2002, 39, 325–342. [Google Scholar] [CrossRef]
- Chen, H.; Kandasamy, S.; Orszag, S.; Shock, R.; Succi, S.; Yakhot, V. Extended Boltzmann Kinetic Equation for Turbulent Flows. Science 2003, 301, 633–636. [Google Scholar] [CrossRef] [PubMed]
- Shan, X. Simulation of Rayleigh-Bénard convection using a lattice Boltzmann method. Phys. Rev. E 1997, 55, 2780–2788. [Google Scholar] [CrossRef]
- Wei, Y.; Dou, H.-S.; Wang, Z.; Qian, Y.; Yan, W. Simulations of natural convection heat transfer in an enclosure at different Rayleigh number using lattice Boltzmann method. Comput. Fluids 2016, 124, 30–38. [Google Scholar] [CrossRef]
- Karlin, I.V.; Sichau, D.; Chikatamarla, S.S. Consistent two-population lattice Boltzmann model for thermal flows. Phys. Rev. E 2013, 88, 063310–063319. [Google Scholar] [CrossRef]
- Wei, Y.K.; Yang, H.; Lin, Z.; Wang, Z.D.; Qian, Y.H. A novel two-dimensional coupled lattice Boltzmann model for thermal incompressible flows. Appl. Math. Comput 2018, 339, 556–567. [Google Scholar] [CrossRef]
- Feng, Z.G.; Michaelides, E.E. The immersed boundary–lattice Boltzmann method for solving uidparticles interaction problems. J. Comput. Phys. 2004, 195, 602–628. [Google Scholar] [CrossRef]
- Xu, H.; Sagaut, P. Optimal low-dispersion low-dissipation LBM schemes for computational aeroacoustics. J. Comput. Phys. 2011, 230, 5353–5382. [Google Scholar] [CrossRef]











© 2020 by the authors. Licensee MDPI, Basel, Switzerland. This article is an open access article distributed under the terms and conditions of the Creative Commons Attribution (CC BY) license (http://creativecommons.org/licenses/by/4.0/).
Share and Cite
Guo, W.; Guo, X.; Wei, Y.; Zhang, Y. Temporal–Spatial Evolution of Kinetic and Thermal Energy Dissipation Rates in a Three-Dimensional Turbulent Rayleigh–Taylor Mixing Zone. Entropy 2020, 22, 652. https://doi.org/10.3390/e22060652
Guo W, Guo X, Wei Y, Zhang Y. Temporal–Spatial Evolution of Kinetic and Thermal Energy Dissipation Rates in a Three-Dimensional Turbulent Rayleigh–Taylor Mixing Zone. Entropy. 2020; 22(6):652. https://doi.org/10.3390/e22060652
Chicago/Turabian StyleGuo, Wenjing, Xiurong Guo, Yikun Wei, and Yan Zhang. 2020. "Temporal–Spatial Evolution of Kinetic and Thermal Energy Dissipation Rates in a Three-Dimensional Turbulent Rayleigh–Taylor Mixing Zone" Entropy 22, no. 6: 652. https://doi.org/10.3390/e22060652
APA StyleGuo, W., Guo, X., Wei, Y., & Zhang, Y. (2020). Temporal–Spatial Evolution of Kinetic and Thermal Energy Dissipation Rates in a Three-Dimensional Turbulent Rayleigh–Taylor Mixing Zone. Entropy, 22(6), 652. https://doi.org/10.3390/e22060652

