Non-Hermitian Hamiltonians and Quantum Transport in Multi-Terminal Conductors
Abstract
1. Introduction
2. Multi-Terminal Quantum Conductor
3. Transmission Coefficient in Multi-Terminal Quantum Conductor
3.1. Formula for Transmission Coefficient
3.2. Conditions for Perfect and Zero Transmission
4. Three-Terminal Quantum Conductors: Illustrative Examples
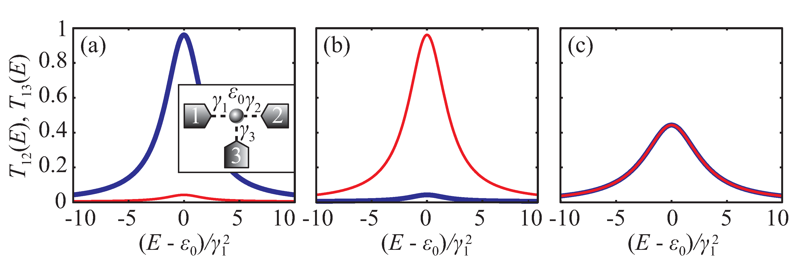
4.1. Suppression of Transmission by the Third Electrode
4.2. Quantum Interference Transistor
5. Three-Terminal Quantum Conductors: Comparison With Two-Terminal Configuration
5.1. Perfect Transmission
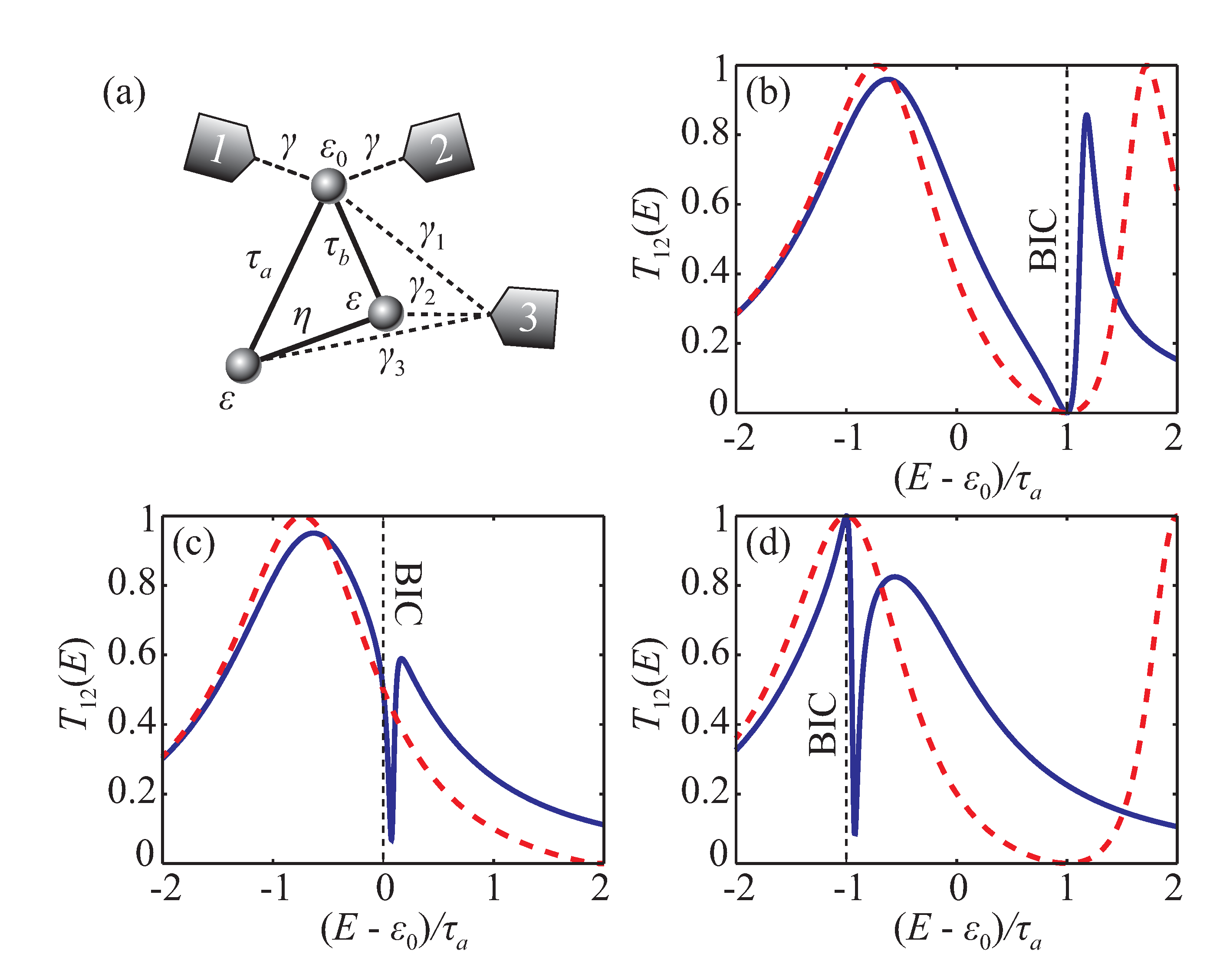
5.2. Transmission and Bound States in the Continuum
- 1.
- , , and give BIC at and transmission ,
- 2.
- give BIC at and transmission ,
- 3.
- and give BIC at and transmission .
6. Summary and Discussion
Author Contributions
Funding
Conflicts of Interest
Appendix A. Non-Negativity of
Appendix B. Conditions for Perfect Transmission
Appendix C. Perfect Transmission in Three-Site Linear Conductor
Appendix D. Transmission at BIC
Appendix D.1.
Appendix D.2.
Appendix D.3.
References
- Datta, S. Electronic Transport in Mesoscopic Systems; Cambridge Studies in Semiconductor Physics; Cambridge University Press: Cambridge, UK, 1997. [Google Scholar]
- Feshbach, H. Unified theory of nuclear reactions. Ann. Phys. 1958, 5, 357–390. [Google Scholar] [CrossRef]
- Fano, U. Effects of Configuration Interaction on Intensities and Phase Shifts. Phys. Rev. 1961, 124, 1866–1878. [Google Scholar] [CrossRef]
- Miroshnichenko, A.E.; Flach, S.; Kivshar, Y.S. Fano resonances in nanoscale structures. Rev. Mod. Phys. 2010, 82, 2257–2298. [Google Scholar] [CrossRef]
- Moiseyev, N. Non-Hermitian Quantum Mechanics; Cambridge University Press: Cambridge, UK, 2011. [Google Scholar] [CrossRef]
- Hatano, N.; Sasada, K.; Nakamura, H.; Petrosky, T. Some Properties of the Resonant State in Quantum Mechanics and Its Computation. Prog. Theor. Phys. 2008, 119, 187–222. [Google Scholar] [CrossRef]
- Gorbatsevich, A.; Zhuravlev, M.; Kapaev, V. Collapse of resonances in semiconductor heterostructures as a transition with symmetry breaking in an open quantum system. J. Exp. Theor. Phys. 2008, 107, 288–301. [Google Scholar] [CrossRef]
- Gorbatsevich, A.; Shubin, N. Coalescence of resonances in dissipationless resonant tunneling structures and PT-symmetry breaking. Ann. Phys. 2017, 376, 353–371. [Google Scholar] [CrossRef]
- Jin, L.; Song, Z. Physics counterpart of the non-Hermitian tight-binding chain. Phys. Rev. A 2010, 81, 032109. [Google Scholar] [CrossRef]
- Jin, L.; Song, Z. A physical interpretation for the non-Hermitian Hamiltonian. J. Phys. A: Math. Theor. 2011, 44, 375304. [Google Scholar] [CrossRef]
- Hernandez-Coronado, H.; Krejčiřík, D.; Siegl, P. Perfect transmission scattering as a PT-symmetric spectral problem. Phys. Lett. A 2011, 375, 2149–2152. [Google Scholar] [CrossRef]
- Bender, C.M.; Boettcher, S. Real Spectra in Non-Hermitian Hamiltonians Having PT Symmetry. Phys. Rev. Lett. 1998, 80, 5243–5246. [Google Scholar] [CrossRef]
- Bender, C.M. Making sense of non-Hermitian Hamiltonians. Rep. Prog. Phys. 2007, 70, 947. [Google Scholar] [CrossRef]
- Gorbatsevich, A.A.; Shubin, N.M. PT-symmetry breaking in resonant tunneling heterostructures. JETP Lett. 2016, 103, 769–773. [Google Scholar] [CrossRef][Green Version]
- Gorbatsevich, A.A.; Shubin, N.M. Unified theory of resonances and bound states in the continuum in Hermitian tight-binding models. Phys. Rev. B 2017, 96, 205441. [Google Scholar] [CrossRef]
- Kato, T. Perturbation Theory for Linear Operators; Classics in Mathematics; Springer-Verlag: Berlin/Heidelberg, Germany, 1995. [Google Scholar]
- Hsu, C.W.; Zhen, B.; Stone, A.D.; Joannopoulos, J.D.; Soljacic, M. Bound states in the continuum. Nat. Rev. Mater. 2016, 1, 16048. [Google Scholar] [CrossRef]
- Saha, K.K.; Lu, W.; Bernholc, J.; Meunier, V. Electron transport in multiterminal molecular devices: A density functional theory study. Phys. Rev. B 2010, 81, 125420. [Google Scholar] [CrossRef]
- Onipko, A.; Malysheva, L. Manifestation of bound states and coupling to leads in coherent transmission through multiterminal molecular conductors. Phys. Rev. B 2012, 86, 085413. [Google Scholar] [CrossRef]
- Malysheva, L.; Onipko, A. Coherent transmission in multiterminal molecular conductors. Phys. Status Solidi (b) 2011, 248, 2676–2679. [Google Scholar] [CrossRef]
- Büttiker, M. Four-Terminal Phase-Coherent Conductance. Phys. Rev. Lett. 1986, 57, 1761–1764. [Google Scholar] [CrossRef] [PubMed]
- Büttiker, M.; Imry, Y.; Landauer, R.; Pinhas, S. Generalized many-channel conductance formula with application to small rings. Phys. Rev. B 1985, 31, 6207–6215. [Google Scholar] [CrossRef]
- Büttiker, M. Role of quantum coherence in series resistors. Phys. Rev. B 1986, 33, 3020–3026. [Google Scholar] [CrossRef]
- Caroli, C.; Combescot, R.; Nozieres, P.; Saint-James, D. Direct calculation of the tunneling current. J. Phys. C Solid State Phys. 1971, 4, 916. [Google Scholar] [CrossRef]
- Sokolov, V.V.; Zelevinsky, V.G. Collective dynamics of unstable quantum states. Ann. Phys. 1992, 216, 323–350. [Google Scholar] [CrossRef]
- Sherman, J.; Morrison, W.J. Adjustment of an Inverse Matrix Corresponding to a Change in One Element of a Given Matrix. Ann. Math. Stat. 1950, 21, 124–127. [Google Scholar] [CrossRef]
- Harville, D.A. Matrix Algebra from a Statistician’s Perspective; Springer-Verlag: New York, NY, USA, 1997; Volume 1. [Google Scholar]
- Ryndyk, D.; Gutiérrez, R.; Song, B.; Cuniberti, G. Green function techniques in the treatment of quantum transport at the molecular scale. In Energy Transfer Dynamics in Biomaterial Systems; Springer: Berlin/Heidelberg, Germany, 2009; pp. 213–335. [Google Scholar]
- Gorbatsevich, A.A.; Krasnikov, G.Y.; Shubin, N.M. PT-symmetric interference transistor. Sci. Rep. 2018, 8, 15780. [Google Scholar] [CrossRef]
- Zahid, F.; Paulsson, M.; Polizzi, E.; Ghosh, A.W.; Siddiqui, L.; Datta, S. A self-consistent transport model for molecular conduction based on extended Hückel theory with full three-dimensional electrostatics. J. Chem. Phys. 2005, 123, 064707. [Google Scholar] [CrossRef]
- Markussen, T.; Schiötz, J.; Thygesen, K.S. Electrochemical control of quantum interference in anthraquinone-based molecular switches. J. Chem. Phys. 2010, 132, 224104. [Google Scholar] [CrossRef]
- Pedersen, K.G.; Strange, M.; Leijnse, M.; Hedegård, P.; Solomon, G.C.; Paaske, J. Quantum interference in off-resonant transport through single molecules. Phys. Rev. B 2014, 90, 125413. [Google Scholar] [CrossRef]
- Huang, B.; Liu, X.; Yuan, Y.; Hong, Z.W.; Zheng, J.F.; Pei, L.Q.; Shao, Y.; Li, J.F.; Zhou, X.S.; Chen, J.Z.; et al. Controlling and Observing Sharp-Valleyed Quantum Interference Effect in Single Molecular Junctions. J. Am. Chem. Soc. 2018, 140, 17685–17690. [Google Scholar] [CrossRef]
- Bai, J.; Daaoub, A.; Sangtarash, S.; Li, X.; Tang, Y.; Zou, Q.; Sadeghi, H.; Liu, S.; Huang, X.; Tan, Z.; et al. Anti-resonance features of destructive quantum interference in single-molecule thiophene junctions achieved by electrochemical gating. Nat. Mater. 2019, 18, 364–369. [Google Scholar] [CrossRef]
- Kiguchi, M.; Takahashi, Y.; Fujii, S.; Takase, M.; Narita, T.; Iyoda, M.; Horikawa, M.; Naitoh, Y.; Nakamura, H. Additive Electron Pathway and Nonadditive Molecular Conductance by Using a Multipodal Bridging Compound. J. Phys. Chem. C 2014, 118, 5275–5283. [Google Scholar] [CrossRef]
- Sebera, J.; Lindner, M.; Gasior, J.; Meszaros, G.; Fuhr, O.; Mayor, M.; Valasek, M.; Kolivoska, V.; Hromadova, M. Tuning the contact conductance of anchoring groups in single molecule junctions by molecular design. Nanoscale 2019, 11, 12959–12964. [Google Scholar] [CrossRef]
- Chen, S.; Chen, G.; Ratner, M.A. Designing Principles of Molecular Quantum Interference Effect Transistors. J. Phys. Chem. Lett. 2018, 9, 2843–2847. [Google Scholar] [CrossRef]
- Garner, M.H.; Solomon, G.C.; Strange, M. Tuning Conductance in Aromatic Molecules: Constructive and Counteractive Substituent Effects. J. Phys. Chem. C 2016, 120, 9097–9103. [Google Scholar] [CrossRef]
- Hansen, T.; Solomon, G.C. When Conductance Is Less than the Sum of Its Parts: Exploring Interference in Multiconnected Molecules. J. Phys. Chem. C 2016, 120, 6295–6301. [Google Scholar] [CrossRef]
- Li, Y.; Mol, J.A.; Benjamin, S.C.; Briggs, G.A.D. Interference-based molecular transistors. Sci. Rep. 2016, 6, 33686. [Google Scholar] [CrossRef]
- Reddy, P.; Jang, S.Y.; Segalman, R.A.; Majumdar, A. Thermoelectricity in Molecular Junctions. Science 2007, 315, 1568–1571. [Google Scholar] [CrossRef]
- Park, S.; Kang, H.; Yoon, H.J. Structure–thermopower relationships in molecular thermoelectrics. J. Mater. Chem. A 2019, 7, 14419–14446. [Google Scholar] [CrossRef]
- Bergfield, J.P.; Solis, M.A.; Stafford, C.A. Giant Thermoelectric Effect from Transmission Supernodes. ACS Nano 2010, 4, 5314–5320. [Google Scholar] [CrossRef]






© 2020 by the authors. Licensee MDPI, Basel, Switzerland. This article is an open access article distributed under the terms and conditions of the Creative Commons Attribution (CC BY) license (http://creativecommons.org/licenses/by/4.0/).
Share and Cite
Shubin, N.M.; Gorbatsevich, A.A.; Krasnikov, G.Y. Non-Hermitian Hamiltonians and Quantum Transport in Multi-Terminal Conductors. Entropy 2020, 22, 459. https://doi.org/10.3390/e22040459
Shubin NM, Gorbatsevich AA, Krasnikov GY. Non-Hermitian Hamiltonians and Quantum Transport in Multi-Terminal Conductors. Entropy. 2020; 22(4):459. https://doi.org/10.3390/e22040459
Chicago/Turabian StyleShubin, Nikolay M., Alexander A. Gorbatsevich, and Gennadiy Ya. Krasnikov. 2020. "Non-Hermitian Hamiltonians and Quantum Transport in Multi-Terminal Conductors" Entropy 22, no. 4: 459. https://doi.org/10.3390/e22040459
APA StyleShubin, N. M., Gorbatsevich, A. A., & Krasnikov, G. Y. (2020). Non-Hermitian Hamiltonians and Quantum Transport in Multi-Terminal Conductors. Entropy, 22(4), 459. https://doi.org/10.3390/e22040459

