Proposal and Thermodynamic Assessment of S-CO2 Brayton Cycle Layout for Improved Heat Recovery
Abstract
1. Introduction
2. Cycle Configurations
2.1. Simple Brayton Cycle (SBC)
2.2. Recompression Brayton Cycle (RBC)
2.3. Recompression Brayton Cycle with Partial Cooling (RBC-PC)
2.4. Recompression Brayton Cycle with Partial Cooling and Improved Heat Recovery (RBC-PC-IHR)
3. Energy Model
4. Simulation Environment
- The cycle operates under steady-state conditions.
- Pressure and heat losses in all pipelines and equipment are considered zero.
- The turbine and compressor adiabatic efficiencies are 93% and 89%, respectively.
- The heat exchanger effectiveness is 95% with a minimum pinch point temperature of 5 °C for all heat exchangers.
- The cycle maximum pressure is 25 MPa.
- Compressor inlet temperature and pressure are maintained at 32 °C and 7.5 MPa corresponding to state ‘6’ for SBC, state ‘7’ for RBC, state ‘9’ for RBC-PC, and state ‘10’ for RBC-PC-IHR.
- The turbine inlet temperature varies from 500 °C to 850 °C.
- Turbine (T1) pressure ratio (p1/p2) is set to 1.0 and 2.0, respectively, for no reheat and reheat configuration.
- Reference temperature used in the exergy analysis is 25 °C.
- Temperature of Heat Source is fixed at 900 °C.
5. Parameter Adjustments
6. Simulation Validation
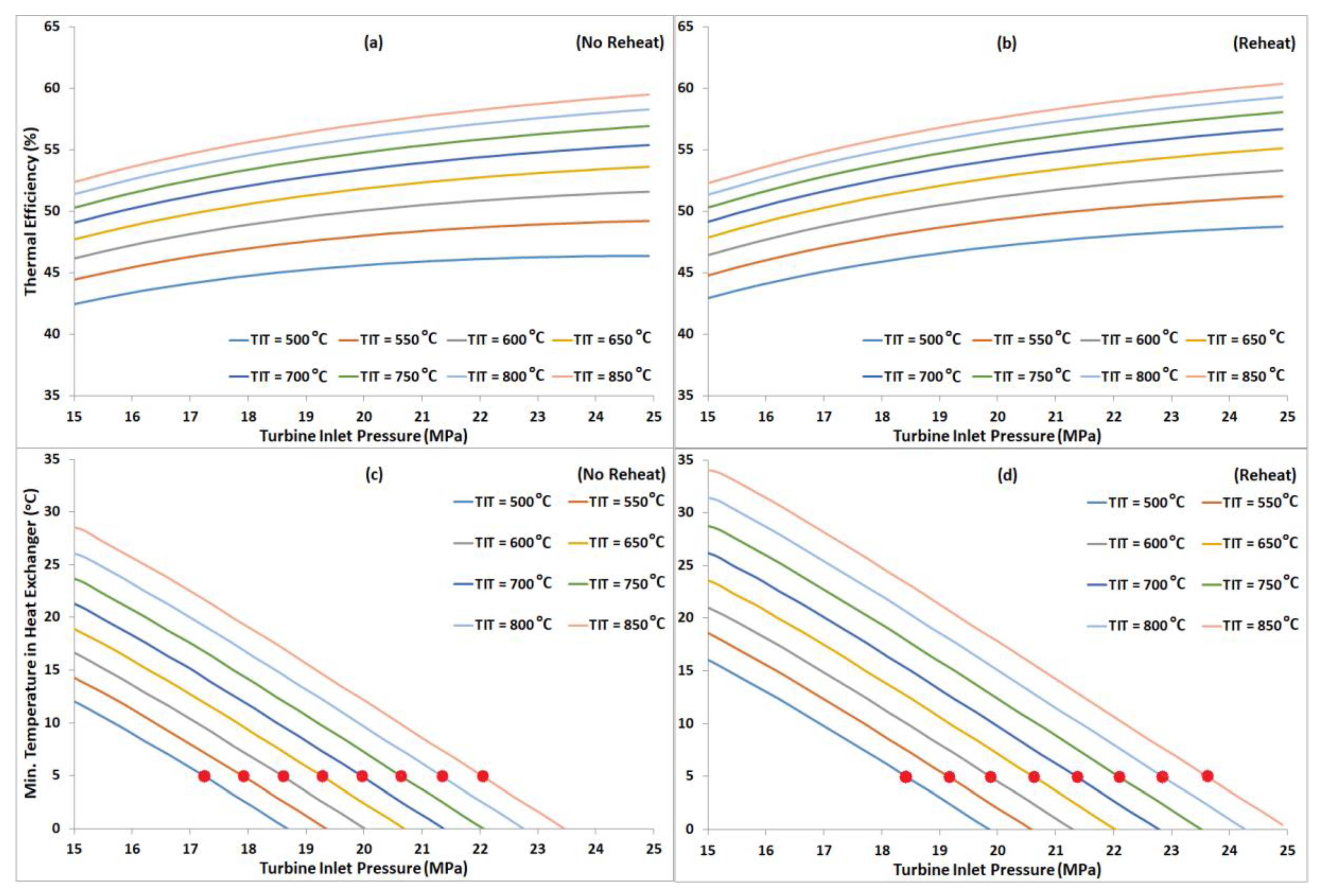
7. Energy Analysis of Proposed Layout (RBC-PC-IHR)
8. Exergy Model
9. Exergy Analysis
9.1. Overall Exergy Performance
9.2. Component-Wise Exergy Performance
9.2.1. Turbines and Compressors
9.2.2. Coolers
9.2.3. Heat Source
9.2.4. Recuperators
10. Conclusions
- Simple Brayton cycle (SBC) has the lowest thermal efficiency which offers at least, on average, 6.5% and 6.0% (in percentage points) less thermal efficiency, respectively, for reheat and no reheat layouts, in comparison to other configurations incorporating heat recovery units. However, it is still considered an attractive option due to its simplicity and compactness.
- Exergy analysis showed that the maximum overall exergy losses occurred in SBC layout (with and without reheat), where the losses in Cooler and HTR were significantly high. This was due to ineffective recovery of exergy in HTR and associated pinch point problem.
- All configurations showed monotonic increase in the thermal efficiency with the turbine inlet temperature.
- Proposed layout, RBC-PC-IHR, had the maximum thermal efficiency and noticeably higher than RBC and RBC-PC layouts for both reheat and no reheat configurations. In comparison to RBC and RBC-PC, the average improvement of thermal efficiency from RBC-PC-IHR in percentage points was RBC (reheat) 1.2%, RBC (no reheat) 1.3%, RBC-PC (reheat) 1.1%, and RBC-PC (no reheat) 1.4%.
- Like thermal efficiency, the overall exergy efficiency of the RBC-PC-IHR layout was significantly higher. The average increase of the overall exergy efficiency in percentage points was RBC (reheat) 1.6%, RBC (no reheat) 1.4%, RBC-PC (reheat) 1.4%, and RBC-PC (no reheat) 1.8%. Component-wise exergy analysis showed that this improvement was due to considerably less exergy loss in the Cooler and Intercooler and Heat Source. Thus, it may be concluded that the introduction of the third recuperator in the proposed layout decreased the overall external irreversibilities.
- Results showed that the exergy losses occurring in the heat exchangers and heat source were significantly greater compared to that of turbo-machineries.
- For low to medium heat source temperatures, S-CO2 Brayton cycle is an attractive alternative to conventional steam Rankine cycles due to its higher energetic and exergetic performance and compactness.
Author Contributions
Funding
Conflicts of Interest
Nomenclature
| CO2 | carbon dioxide | heat input to Heater (kW) | |
| LNG | liquefied natural gas | heat input to Reheater (kW) | |
| specific entropy (kJ/kg K) | ER | Expansion ratio | |
| reference temperature (°C, K) | Subscripts | ||
| source temperature (°C, K) | j | state point | |
| p | pressure (kPa) | in | inlet |
| LTR | low temperature recuperator | out | outlet |
| MTR | medium temperature recuperator | T1 | turbine 1 |
| HTR | high temperature recuperator | T2 | turbine 2 |
| TIP | turbine inlet pressure (kPa) | C1 | compressor 1 |
| SR | split ratio | C2 | compressor 2 |
| PR | pressure ratio | C3 | compressor 3 |
| T | temperature (°C, K) | HI | inlet of hot stream to heat exchanger |
| TIT | turbine inlet temperature (°C, K) | HO | outlet of hot stream to heat exchanger |
| power (kW) | CI | inlet of cold stream to heat exchanger | |
| Irreversibility | CO | outlet of cold stream to heat exchanger | |
| exergy (kJ/kg) | input | input | |
| thermal efficiency | source | source | |
| exergy efficiency | loss by CO2 | ||
| net power output from turbines (kW) | gain by air | ||
| net input power to compressors (kW) | t | total | |
| heat exchanger effectiveness | |||
| h | enthalpy (kJ/kg) | ||
| mass flow rate (kg/s) |
References
- Feher, E.G. The Supercritical Thermodynamic Power Cycle. Energy Convers. 1968, 8, 85–90. [Google Scholar] [CrossRef]
- Angelino, G. Carbon Dioxide Condensation Cycles For Power Production. J. Eng. Gas Turbines Power 1968, 90, 287–295. [Google Scholar] [CrossRef]
- Dostál, V.; Driscoll, M.J.; Hejzlar, P. A Supercritical Carbon Dioxide Cycle for Next Generation Nuclear Reactors; Massachusetts Institute of Technology: Cambridge, MA, USA, 2004. [Google Scholar]
- Angelino, G. Real Gas Effects in Carbon Dioxide Cycles. In ASME 1969 Gas Turbine Conference and Products Show; ASME: New York, NY, USA, 1969; p. V001T01A071. [Google Scholar]
- Turchi, C.S.; Ma, Z.; Dyreby, J. Supercritical Carbon Dioxide Power Cycle Configurations for Use in Concentrating Solar Power Systems. In Volume 5: Manufacturing Materials and Metallurgy; Marine; Microturbines and Small Turbomachinery; Supercritical CO2 Power Cycles; ASME: New York, NY, USA, 2012; p. 967. [Google Scholar]
- Ahn, Y.; Bae, S.J.; Kim, M.; Cho, S.K.; Baik, S.; Lee, J.I.; Cha, J.E. Review of supercritical CO2 power cycle technology and current status of research and development. Nucl. Eng. Technol. 2015, 47, 647–661. [Google Scholar] [CrossRef]
- Chen, Y.; Lundqvist, P.; Johansson, A.; Platell, P. A comparative study of the carbon dioxide transcritical power cycle compared with an organic Rankine cycle with R123 as working fluid in waste heat recovery. Appl. Therm. Eng. 2006, 26, 2142–2147. [Google Scholar] [CrossRef]
- Vesely, L.; Dostal, V.; Hajek, P. Design of Experimental Loop with Supercritical Carbon Dioxide. In Volume 3: Next Generation Reactors and Advanced Reactors; Nuclear Safety and Security; ASME: New York, NY, USA, 2014. [Google Scholar]
- Turchi, C.S. Supercritical CO2 for Application in Concentrating Solar Power Systems. In Proceedings of the Supercritical CO2 Power Cycle Symposium 2009, Troy, NY, USA, 29–30 April 2009. [Google Scholar]
- Wang, X.; Dai, Y. Exergoeconomic analysis of utilizing the transcritical CO2 cycle and the ORC for a recompression supercritical CO2 cycle waste heat recovery: A comparative study. Appl. Energy 2016, 170, 193–207. [Google Scholar] [CrossRef]
- Santini, L.; Accornero, C.; Cioncolini, A. On the adoption of carbon dioxide thermodynamic cycles for nuclear power conversion: A case study applied to Mochovce 3 Nuclear Power Plant. Appl. Energy 2016, 181, 446–463. [Google Scholar] [CrossRef]
- Kulhánek, M.; Dostál, V. Thermodynamic Analysis and Comparison of Supercritical Carbon Dioxide Cycles. In Proceedings of the Supercritical CO2 Power Cycle Symposium, Boulder, CO, USA, 24–25 May 2011. [Google Scholar]
- Moisseytsev, A.; Sienicki, J.J. Investigation of alternative layouts for the supercritical carbon dioxide Brayton cycle for a sodium-cooled fast reactor. Nucl. Eng. Des. 2009, 239, 1362–1371. [Google Scholar] [CrossRef]
- Sarkar, J. Second law analysis of supercritical CO2 recompression Brayton cycle. Energy 2009, 34, 1172–1178. [Google Scholar] [CrossRef]
- Sarkar, J.; Bhattacharyya, S. Optimization of recompression S-CO2 power cycle with reheating. Energy Convers. Manag. 2009, 50, 1939–1945. [Google Scholar] [CrossRef]
- Al-Sulaiman, F.A.; Atif, M. Performance comparison of different supercritical carbon dioxide Brayton cycles integrated with a solar power tower. Energy 2015, 82, 61–71. [Google Scholar] [CrossRef]
- Atif, M.; Al-Sulaiman, F.A. Energy and exergy analyses of solar tower power plant driven supercritical carbon dioxide recompression cycles for six different locations. Renew. Sustain. Energy Rev. 2017, 68, 153–167. [Google Scholar] [CrossRef]
- Kim, M.S.; Ahn, Y.; Kim, B.; Lee, J.I. Study on the supercritical CO2 power cycles for landfill gas firing gas turbine bottoming cycle. Energy 2016, 111, 893–909. [Google Scholar] [CrossRef]
- Gavic, D.J. Investigation of Water, Air, and Hybrid Cooling for Supercritical Carbon Dioxide Brayton Cycles. Master’s Thesis, University of Wisconsin-Madinson, Madison, WI, USA, 2012. [Google Scholar]
- Singh, R.; Miller, S.A.; Rowlands, A.S.; Jacobs, P.A. Dynamic characteristics of a direct-heated supercritical carbon-dioxide Brayton cycle in a solar thermal power plant. Energy 2013, 50, 194–204. [Google Scholar] [CrossRef]
- Chacartegui, R.; Muñoz de Escalona, J.M.; Sánchez, D.; Monje, B.; Sánchez, T. Alternative cycles based on carbon dioxide for central receiver solar power plants. Appl. Therm. Eng. 2011, 31, 872–879. [Google Scholar] [CrossRef]
- Deng, S.; Jin, H.; Cai, R.; Lin, R. Novel cogeneration power system with liquefied natural gas (LNG) cryogenic exergy utilization. Energy 2004, 29, 497–512. [Google Scholar] [CrossRef]
- Zhang, N.; Lior, N. A novel near-zero CO2 emission thermal cycle with LNG cryogenic exergy utilization. Energy 2006, 31, 1666–1679. [Google Scholar] [CrossRef]
- Siddiqui, M.E.; Taimoor, A.A.; Almitani, K.H. Energy and Exergy Analysis of the S-CO2 Brayton Cycle Coupled with Bottoming Cycles. Processes 2018, 6, 153. [Google Scholar] [CrossRef]
- Angelino, G.; Invernizzi, C.M. Carbon dioxide power cycles using liquid natural gas as heat sink. Appl. Therm. Eng. 2009, 29, 2935–2941. [Google Scholar] [CrossRef]
- Wang, X.; Liu, Q.; Bai, Z.; Lei, J.; Jin, H. Thermodynamic Analysis of the Cascaded Supercritical CO2 Cycle Integrated with Solar and Biomass Energy. Energy Procedia 2017, 105, 445–452. [Google Scholar] [CrossRef]
- Wang, X.; Liu, Q.; Bai, Z.; Lei, J.; Jin, H. Thermodynamic investigations of the supercritical CO2 system with solar energy and biomass. Appl. Energy 2018, 227, 108–118. [Google Scholar] [CrossRef]
- Padilla, R.V.; Soo Too, Y.C.; Benito, R.; Stein, W. Exergetic analysis of supercritical CO2 Brayton cycles integrated with solar central receivers. Appl. Energy 2015, 148, 348–365. [Google Scholar] [CrossRef]
- Turchi, C.S.; Ma, Z.; Neises, T.W.; Wagner, M.J. Thermodynamic Study of Advanced Supercritical Carbon Dioxide Power Cycles for Concentrating Solar Power Systems. J. Sol. Energy Eng. 2013, 135, 041007. [Google Scholar] [CrossRef]
- Cengel, Y.; Boles, M. Thermodynamics: An Engineering Approach, 9th ed.; McGraw-Hill Education: New York, NY, USA, 2018. [Google Scholar]
- Borgnakke, C.; Sonntag, R.E. Fundamentals of Thermodynamics, 8th ed.; Wiley: Hoboken, NJ, USA, 2012. [Google Scholar]
- Besarati, S.M.; Yogi Goswami, D. Analysis of Advanced Supercritical Carbon Dioxide Power Cycles with a Bottoming Cycle for Concentrating Solar Power Applications. J. Sol. Energy Eng. 2014, 136, 010904. [Google Scholar] [CrossRef]
- Moran, M.J.; Shapiro, H.N.; Boettner, D.D.; Bailey, M.B. Fundamentals of Engineering Thermodynamics, 7th ed.; Wiley: Hoboken, NJ, USA, 2010; ISBN 9780470495902. [Google Scholar]
- Ahn, Y.; Lee, J.; Kim, S.G.; Lee, J.I.; Cha, J.E.; Lee, S.W. Design consideration of supercritical CO2 power cycle integral experiment loop. Energy 2015, 86, 115–127. [Google Scholar] [CrossRef]
- Linares, J.I.; Cantizano, A.; Arenas, E.; Moratilla, B.Y.; Martín-Palacios, V.; Batet, L. Recuperated versus single-recuperator re-compressed supercritical CO2 Brayton power cycles for DEMO fusion reactor based on dual coolant lithium lead blanket. Energy 2017, 140, 307–317. [Google Scholar] [CrossRef]
- Lior, N.; Zhang, N. Energy, exergy, and Second Law performance criteria. Energy 2007, 32, 281–296. [Google Scholar] [CrossRef]












| Turbine Efficiency | 93% a |
| Compressor Efficiency | 89% |
| Turbine Inlet Temperature (TIT) | 500–850 °C |
| Heat Exchanger Effectiveness ( | 95% |
| Cycle High Pressure | 25 MPa |
| Compressor Inlet Temperature | 32 °C |
| Minimum Pinch Temperature ( | 5 °C |
| Turbine (T1) Pressure Ratio (p1/p2) | 1.0 for no reheat and 2.0 for reheat |
| Split Ratio | Adjusted for each TIT to maintain minimum pinch temperature of 5 °C in heat exchangers |
| TIT | 500 °C | 550 °C | 600 °C | 650 °C | 700 °C | 750 °C | 800 °C | 850 °C | Average |
|---|---|---|---|---|---|---|---|---|---|
| Thermal efficiency (%)-No reheat | |||||||||
| RBC | 4.9 | 5.5 | 5.7 | 6.2 | 6.4 | 6.5 | 6.6 | 6.7 | 6.1 |
| TIP (MPa) | 18.9 | 19.6 | 21.1 | 21.9 | 22.7 | 23.4 | 24.9 | 24.9 | |
| RBC-PC | 4.5 | 4.8 | 5.5 | 5.9 | 6.2 | 6.7 | 7.1 | 7.5 | 6.0 |
| TIP (MPa) | 12.1 | 12.5 | 13.6 | 14.3 | 15.1 | 16.2 | 17.4 | 18.5 | |
| RBC-PC-IHR | 5.7 | 6.3 | 6.8 | 7.3 | 7.8 | 8.0 | 8.4 | 8.8 | 7.4 |
| TIP (MPa) | 17.2 | 17.9 | 18.7 | 19.3 | 20 | 20.8 | 21.3 | 22.2 | |
| Thermal efficiency (%)-Reheat | |||||||||
| RBC | 4.9 | 5.3 | 5.9 | 6.4 | 6.9 | 7.1 | 7.5 | 8.0 | 6.5 |
| TIP (MPa) | 21.9 | 21.9 | 22.7 | 23.4 | 24.9 | 24.9 | 24.9 | 24.9 | |
| RBC-PC | 5.0 | 5.7 | 6.2 | 6.7 | 7.0 | 7.2 | 7.3 | 7.4 | 6.6 |
| TIP (MPa) | 20.4 | 21.9 | 23.4 | 24.9 | 24.9 | 24.9 | 24.9 | 24.9 | |
| RBC-PC-IHR | 5.6 | 6.3 | 6.9 | 7.5 | 8.1 | 8.5 | 9.0 | 9.4 | 7.7 |
| TIP (MPa) | 18.3 | 19.2 | 19.9 | 20.8 | 21.4 | 22.2 | 22.9 | 23.8 | |
| TIT | 500 °C | 550 °C | 600 °C | 650 °C | 700 °C | 750 °C | 800 °C | 850 °C | Average |
|---|---|---|---|---|---|---|---|---|---|
| Overall Exergy efficiency (%)-No reheat | |||||||||
| RBC | 6.6 | 7.1 | 7.6 | 8.2 | 8.7 | 9.3 | 9.8 | 10.0 | 8.4 |
| RBC-PC | 5.9 | 6.3 | 7.2 | 7.8 | 8.4 | 8.9 | 9.4 | 9.9 | 8.0 |
| RBC-PC-IHR | 7.8 | 8.4 | 9.0 | 9.7 | 10.3 | 10.6 | 11.1 | 11.6 | 9.8 |
| Overall Exergy efficiency (%) – Reheat | |||||||||
| RBC | 7.9 | 8.4 | 8.9 | 9.4 | 10.0 | 9.8 | 10.2 | 10.4 | 9.4 |
| RBC-PC | 8.2 | 8.7 | 9.3 | 9.8 | 10.2 | 10.0 | 10.2 | 10.1 | 9.6 |
| RBC-PC-IHR | 9.1 | 9.6 | 10.3 | 10.9 | 11.5 | 11.7 | 12.2 | 12.5 | 11.0 |
© 2020 by the authors. Licensee MDPI, Basel, Switzerland. This article is an open access article distributed under the terms and conditions of the Creative Commons Attribution (CC BY) license (http://creativecommons.org/licenses/by/4.0/).
Share and Cite
Siddiqui, M.E.; Almitani, K.H. Proposal and Thermodynamic Assessment of S-CO2 Brayton Cycle Layout for Improved Heat Recovery. Entropy 2020, 22, 305. https://doi.org/10.3390/e22030305
Siddiqui ME, Almitani KH. Proposal and Thermodynamic Assessment of S-CO2 Brayton Cycle Layout for Improved Heat Recovery. Entropy. 2020; 22(3):305. https://doi.org/10.3390/e22030305
Chicago/Turabian StyleSiddiqui, Muhammad Ehtisham, and Khalid H. Almitani. 2020. "Proposal and Thermodynamic Assessment of S-CO2 Brayton Cycle Layout for Improved Heat Recovery" Entropy 22, no. 3: 305. https://doi.org/10.3390/e22030305
APA StyleSiddiqui, M. E., & Almitani, K. H. (2020). Proposal and Thermodynamic Assessment of S-CO2 Brayton Cycle Layout for Improved Heat Recovery. Entropy, 22(3), 305. https://doi.org/10.3390/e22030305

