Abstract
The q-exponential form is obtained by optimizing the nonadditive entropy (with , where BG stands for Boltzmann–Gibbs) under simple constraints, and emerges in wide classes of natural, artificial and social complex systems. However, in experiments, observations and numerical calculations, it rarely appears in its pure mathematical form. It appears instead exhibiting crossovers to, or mixed with, other similar forms. We first discuss departures from q-exponentials within crossover statistics, or by linearly combining them, or by linearly combining the corresponding q-entropies. Then, we discuss departures originated by double-index nonadditive entropies containing as particular case.
1. Introduction
Nonadditive entropies have been used as a basis to explain a diversity of phenomena, from astrophysics to the oscillatory behavior of El Niño [,,], from DNA to financial markets [,] from high-energy physics of collisions to granular matter and cold atoms [,,], among many others. It turns out that wide classes of complex systems can be satisfactorily handled within a generalization of Boltzmann–Gibbs (BG) statistical mechanics based on the nonadditive entropy
where W is the total number of microstates and k is a conventional positive constant (usually in physics, and in computational sciences), the q-logarithmic function being defined as (). This theory is currently referred to as nonextensive statistical mechanics, or q-statistics for short [,,]. The optimization of with simple constraints yields
where are the energy eigenvalues, and the q-exponential function (inverse of the q-logarithmic function) is defined as follows:
where if and zero if ; notice that this definition implies that, for , there is a cutoff at []. In the limit , Equation (2) recovers the celebrated BG weight.
The aim of the present article is to discuss in detail some departures from a pure q-exponential function which frequently emerge in real situations. Such variations are used in the statistics of nucleotides in full genomes [], the re-association of folded proteins [], standard map for intermediate values of the control parameter [], to mention but a few. We focus on crossover statistics (Section 2), linear combinations of q-exponential functions (Section 3), linear combinations of q-entropies (Section 4), and some two-indices entropies, namely [], [] and [] (Section 5).
2. Multiple Crossover Statistics
Crossover statistics is often useful whenever the phenomenon which is focused on exhibits a q-exponential behavior within a range of the relevant variables, and then makes a crossover to another q-exponential function with a different index q. Although rare, it can, in principle, happen that several crossovers successively occur one after the other. We will refer to it as multiple crossover statistics.
Illustrations of such crossovers can be found in [,,,,,].
Let us consider the following ordinary differential equation:
Its solution is given by
Multiple crossovers emerge from the following nonlinear ordinary differential equation:
with , and , where the right-hand term is constituted by a linear combination of nonlinear terms. Consequently
We know that Equation (7) has analytical solutions for and (Figure 1). For , we need to solve this equation numerically.
Figure 1.
(log-log plot). For the case with (blue curve) and, for the case , the crossover between two curves, namely with (black curve) and (red curve) respectively, both with . For the red curve, we have the crossover characteristic values , which indicate the passage from one regime to another.
Particularly for crossover between two curves () with and , we have:
where we have identified in order to facilitate the connection with the notation used in []. Let us incidentally mention that this equation enabled the study of the anomalous behavior of folded proteins.
For the particular case , we obtain
It is certainly worth mentioning that its instance yields , whose asymptotic behavior becomes . It is precisely through this ordinary-differential path that Planck found, in his historical 19 October 1900 paper, the thermostatistical factor which eventually led to his celebrated law for the black-body radiation with the ultimate identification [,].
For the case , we have
whose analytical solution is intractable. Therefore, we use numerical methods to solve it. In contrast, the characteristic values where changes of behavior of the curve occur are analytically accessible. Those values are obtained through the following considerations. For the characteristic value , we have
Consequently
For we have
hence
Similarly, we have
Therefore, for the particular case whose parameter values are and , with and , we have , and , as shown in Figure 2a,b. It is similarly possible to study multiple crossovers for the case .

Figure 2.
Crossovers in for (log-log plots) (a) between two curves with (red curve), (blue curve) respectively, both with ,,1), and (b) a change was done on the blue curve, with (black curve); the cutoff occurs at .
3. Linear Combination of Normalized q-Exponentials
For a linear combination of normalized q-exponentials, we consider a probability distribution function , such that:
with , being normalization factors (the upper limit emerges in order to being finite). Those quantities are determined by imposing, for all ,
It follows
Let us focus on two specific particular cases, namely with , and with ; , , , and . It follows that
with , , and , and
with , , and . See Figure 3 and Figure 4.
Figure 3.
(log-log plot) of three curves (case ) with parameters and (blue dashed curve), (red dashed curve), and their linear combination (black curve) with and .
Figure 4.
(log-log plots) of four curves with parameters , (blue dashed curve), (red dashed curve), (gray dashed curve), and their linear combination (black curve). (a) Four curves with (blue dashed curve), (red dashed curve), (gray dashed curve) and their linear combination (black curve). (b) With , and , both with (case ).
In Figure 4 (), we fix the value for . Another illustration of the linear combination consists of fixing the value for and using three different values for . In the case illustrated in Figure 5, the linear combination remains close to the curve corresponding to .
with , , and .
Figure 5.
(log-log plot) of four curves (case ) with parameters , (blue dashed curve), (red dashed curve), (gray dashed curve), and their linear combination (black curve) with , and .
Linear combinations of this kind (either of q-exponentials, or of q-Gaussians) have been fruitfully used in [,,,].
4. Linear Combination of q-Entropies
A linear combination of q-entropies can be written as follows:
This expression is generically not normalized. If we happen to prefer normalization for some specific reason, it is enough to divide Equation (25) by .
With the constraints and , where U is the internal energy of the system and are the energy eigenvalues, we define the functional as follows:
Then, through extremization, we obtain
hence
We introduce convenient new variables, namely
This enables us to express as an explicit function of , namely
The cutoff condition, whenever present, is given by . For instance, for , we have (see Figure 6)
The particular case of (25) has been focused on in []:
where one of the entropies is the BG entropy (i.e., ), and the other one corresponds to . Then, we have (see Figure 7)
where is the Lambert function, implicitly defined by (see, for instance, []), , , and (this definition of differs from that in Equation (29)), with . is determined via the normalization of the probabilities , i.e.,
In other words, implicitly depends on . Whenever appropriate, we may go to the continuum limit. If it is allowed to consider , we have
hence
This expression determines a as an explicit function of .
Figure 7.
Three probability distributions based on Equation (33) with and hence (black curve), hence (red curve), and hence (blue curve).
It is known that, in nonextensive statistical mechanics [], the constraints under which the entropy is optimized might be chosen with escort distributions, namely, and . We then have
hence
where with defined as
with . Clearly, is determined by
Let us remind at this point that extremizing with standard constraints is equivalent to extremizing with escort constraints. The equivalence implies in doing the transformation [,].
Let us address now the concavity/convexity of . We illustrate with the linear combination of two () q-entropies with and , assuming and . In other words, we consider
The study of concavity of (41) can be done in the space, taking also into consideration the regions of non admissibility in which the entropy is neither concave nor convex.
We clearly note that when (see Figure 8b), the black region is reduced compared to the case (Figure 8a). This result tends to suggest that the black region tends to disappear at , while the pink (convex) region predominates.
Figure 8.
Concavity/convexity mapping for (41) with , (a) and (b). The green (pink) region represents all points whose entropy (41) is concave (convex). The black region represents all points whose entropy is neither concave nor convex, having two local minima points and a local maximum in between (a global maximum point at and divergences at and ). On the red point is localized the Boltzmann–Gibbs entropy and over the red dashed line cutting the origin, we have all the entropies. On the concave (convex) region we have (). (c) Four () entropies with , and (blue curve), (green curve), (black curve) and (pink curve).
5. Other Departures—Two-Indices Entropies
We focus here on other type of departures from pure q-exponentials, originated now from two-indices nonadditive entropies which recover as particular instances.
5.1.
From [], we have
We verify that . Extremization of under usual constraints yields
Through (29), we have
Taking into account the transformation mentioned below Equation (40), the cutoff occurs for , and is given by (see Figure 9)
Figure 9.
Illustrative probability distributions . (a) and hence, through (45), (gray curve); , hence (black curve); hence (red curve) and finally, hence (blue curve); (b) hence (blue curve); hence (red curve); hence (black curve); and hence (gray curve).
We verify that is single-valued for and multi-valued otherwise.
Let us now consider the case and hence
where . This expression will help us to study the concavity/convexity of the entropy for increasing values of W. See Figure 10 and Figure 11.
Figure 10.
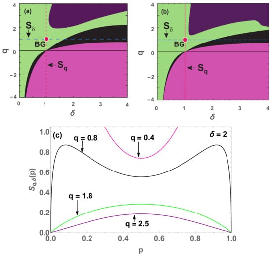
Concavity/convexity regions for (46) (a) . (b) . The green (pink) region represents all points whose entropy (41) is concave (convex). The black region represents all points whose entropy is neither concave nor convex, having two local maxima ( inflexion) points and another local minimum (maximum) in between. The points of transition at are: (both and ) (); () and () () and (both cases) (). At , we have the transition from non concave to concave at () and for , we have . The blue dashed horizontal line represents , while the red dashed vertical line represents all entropies, and the red point is the BG entropy. (c) Four cases () for with the respective colors: and (convex and concave regions respectively); (black region) and (purple region) (non concave and non convex regions).
Figure 11.
Plot for with , and . We clearly observe that is not valid here, because in this value, the entropy is not concave, much less the values close to this.
The black region is clearly reduced for (see Figure 10b), but the purple region at, for example, and , invades the concave region. It is not excluded that the purple region gradually expands with W in such way that it approaches the black region.
We noticed that an inadvertence occurred in []. Indeed, it was therein indicated that, for all entropies , it would be , but this is not exactly so in some cases. As we verify in what follows, we always have . Therefore, the formula in [] constitutes an upper bound of .
The probability is limited by . Numerically, we analyze the plot . If it was for all entropies , we should obtain for all values of W, which is not the case.
The interpretation of is given by the transition green ↔ black; no transition black ↔ pink appears to exist.
We notice in Figure 10, Figure 11, Figure 12 and Figure 13 that the divergence of in the limit means that is concave in the thermodynamic limit for any positive .
Figure 12.
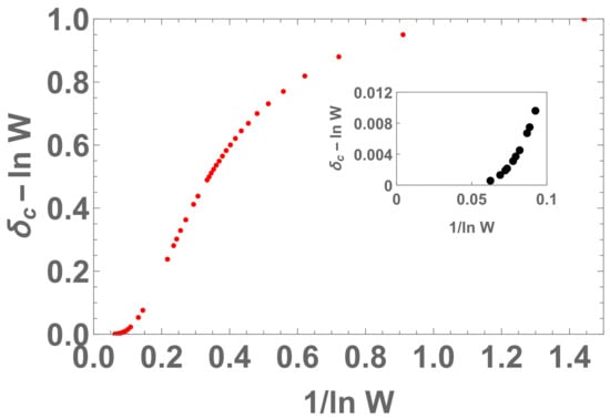
Plot for with . Here, . In the inset, we indicate the behavior of that function closer to origin.
Figure 13.
Plot for with . The regression by excluding the and points yields an 8th degree polynomial of , namely . It means that, when we have , thus , therefore which diverges at infinity.
5.2. Borges–Roditi Entropy
Borges and Roditi [] extended the entropy as follows:
with , where stands for Borges–Roditi; notice that .
Extremization with usual constraints, and using (29), we have:
For , p monotonically decreases to zero when X increases to infinity. For , p is multivalued, hence physically inadmissible. For (hence, for ), p is single-valued and exhibits a cutoff at . See Figure 14 for typical examples.
Figure 14.
Eight illustrative Borges–Roditi probability distributions. (a) (red curve); (black curve); (blue curve), and (gray curve). (b) (red curve), (black curve), (blue curve), and (gray curve).
Let us focus now on the concavity of . By considering the same case that led to Equation (46), we obtain here
The purple region undergoes a slight change whether we compare the Figure 15a () and Figure 15b (), although it appears that the rectangular purple region at does not increase for . Indeed, if it did that, it would affect the BG and entropies whose convexity/concavity are known. With respect to the black region, the fact of that region shrinks from to suggests that it possibly disappears in .
Figure 15.
Concavity/convexity for (49) with (a) and (b) . The green (pink) region represents all points whose entropy (49) is concave (convex). The black (purple) region represents all points whose entropy is neither concave nor convex, having two local maxima (inflexion) points and another local minimum (maximum) in between. The red dashed vertical lines represent all entropies and the red point is the BG entropy, while the light (dark) blue lines represents all Shafee (Kaniadakis ) entropies [,]. (c) Four illustrative cases () with and its respective colors: and (pink and green regions respectively ); (black region) and (purple region).
5.3.
On the basis of some algebraic properties, has been generalized in [,,]:
with
We verify that , hence . with . Clearly, we can reformulate (51) in terms of such that
The reformulated version of the extremized entropy is written as
The cutoff equation is given by
For and , p is single-valued and exhibits a cutoff at (see Figure 16). For , p is multi-valued, hence, it is inadequate for physical purposes. For and , p exhibits clearly a cutoff.
Figure 16.
Eight illustrative probability distributions . (a) (gray curve), (blue curve), (black curve), and (red curve). (b) (gray curve), (blue curve), (black curve), and (red curve).
In Figure 17a,b, we observe that the purple region appears to remain the same for all . In contrast, the black region for is slightly smaller than that for , which suggests that, in , such a region might disappear. We checked for large values of W, and this scenario is confirmed. This happens in two different ways: the black region close to the BG point gradually disappears, being replaced by the pink (convex) region, and the black region in the negative part of also disappears, being replaced by the green (concave) region.
Figure 17.
Concavity/convexity for (55) with (a) and (b) . The green (pink) region represents all points whose entropy (55) is concave (convex). The black (purple) region represents all points whose entropy is neither concave nor convex, having two local maxima (inflexion) points and another local minimum (maximum) in between. The red dashed vertical line represents all entropies and the red point is the BG entropy. (c) Four cases () with the respective colors: with , and (pink and green regions) and (black region), and (purple region).
6. Conclusions
In summary, we have explored here various mathematical properties related to extensions of q-exponentials and q-entropies, including some double-index nonadditive entropies.
In the case of crossover statistics (Equation (7)), there are multiple changes in the slopes of the corresponding log-log plots. The values of the abscissa at which the relevant quantities make crossovers between two successive regimes are characterized by , analytically calculated in all cases, as illustrated in Figure 1 and Figure 2.
When we consider linear combinations of normalized q-exponentials, we may focus on the influence of the ’s and of the ’s in Equation (18). For a single value of and various values for the ’s, the result might be close to one of the q-exponentials, whereas if we adopt a single value of and various values for the ’s, the outcome might be sensibly different from all the q-exponentials, as illustrated in Figure 3, Figure 4 and Figure 5.
With respect to the linear combination of q-entropies, it is generically impossible to have the probability distribution in Equation (30) as an explicit function of . Notice, however, that we do have as an explicit function of . This is in contrast with the case where we have linear combinations of the normalized q-exponentials. The final results for these two types of linear combinations clearly differ, as first shown in []. Let us emphasize that, consistently, the operations of linearly combining and entropic extremization do not commute.
In addition to that, for the linear combination of two nonadditive entropies (case M = 2), as well as for the three double-index nonadditive entropies (namely, , and ), we have studied their convexity/concavity in the indices-space. The results depend naturally on the total number of states (W). The limit is particularly interesting, since it corresponds to the thermodynamical limit. We verify that, in the case of a linear combination of two q-entropies (), the concave region remains one and the same for all values of W. Indeed, the value of W only affects the size of the convex region, as illustrated in Figure 8. It seems plausible that, in the limit, the only possibilities which remain are either concave or convex. In what concerns , and , regions in the indices-space exist, for a given value of W, where the entropy is concave, or convex, or none of them, as illustrated in Figure 10, Figure 15 and Figure 17. For all these three entropies, the region which is neither concave nor convex does not disappear even for . In particular, we have studied in detail the case of ( and ), and have obtained that convexity never emerges, . A critical value exists such that is concave for and neither concave nor convex for ; moreover, in the limit, we verify that . The results displayed in the present paper could hopefully guide the use of entropies differing from for large classes of natural, artificial and social complex systems.
Author Contributions
Conceptualization, C.T.; methodology, C.T.; software, H.S.L.; validation, H.S.L.; formal analysis, C.T.; investigation, H.S.L. and C.T.; resources, H.S.L. and C.T.; data curation, H.S.L. and C.T.; writing–original draft preparation, H.S.L. and C.T.; writing–review and editing, H.S.L. and C.T.; visualization, H.S.L. and C.T.; supervision, C.T.; project administration, C.T.; funding acquisition, H.S.L. and C.T. All authors have read and agreed to the published version of the manuscript.
Funding
This research was funded by CNPq-Conselho Nacional de Desenvolvimento Cientifico e Tecnologico and by FAPERJ—Fundacao Carlos Chagas Filho de Amparo a Pesquisa do Estado do Rio de Janeiro.
Acknowledgments
We acknowledge related exchanges with Nobar Baella, Rouhollah Ebrahimi, and Hamid-Reza Rastegar, at early stages of this work.
Conflicts of Interest
The authors declare no conflict of interest. The funders had no role in the design of the study, in the collection, analysis, or interpretation of data, in the writing of the manuscript, or in the decision to publish the results.
References
- Saxena, R.K.; Mathai, A.M.; Haubold, H.J. Astrophysical thermonuclear functions for Boltzmann—Gibbs statistics and Tsallis statistics. Phys. A 2004, 344, 649–656. [Google Scholar] [CrossRef]
- Plastino, A.R.; Plastino, A. Stellar polytropes and Tsallis’ entropy. Phys. Lett. A 1992, 174, 384–386. [Google Scholar] [CrossRef]
- Ausloos, M.; Petroni, F. Tsallis non-extensive statistical mechanics of El Niño southern oscillation index. Phys. A 2007, 373, 721–736. [Google Scholar] [CrossRef]
- Bogachev, M.I.; Kayumov, A.R.; Bunde, A. Universal internucleotide statistics in full genomes: A footprint of the DNA structure and packaging? PLoS ONE 2014, 9, e112534. [Google Scholar] [CrossRef]
- Borland, L. Closed form option pricing formulas based on a non-Gaussian stock price model with statistical feedback. Phys. Rev. Lett. 2002, 89, 098701. [Google Scholar] [CrossRef]
- Deppman, A.; Megias, E.; Menezes, D.P. Fractals, non-extensive statistics, and QCD. Phys. Rev. D 2020, 101, 034019. [Google Scholar] [CrossRef]
- Combe, G.; Richefeu, V.; Stasiak, M.; Atman, A.P.F. Experimental validation of nonextensive scaling law in confined granular media. Phys. Rev. Lett. 2015, 115, 238301. [Google Scholar] [CrossRef]
- Lutz, E.; Renzoni, F. Beyond Boltzmann-Gibbs statistical mechanics in optical lattices. Nat. Phys. 2013, 9, 615–619. [Google Scholar] [CrossRef]
- Tsallis, C. Possible generalization of Boltzmann-Gibbs statistics. J. Stat. Phys. 1988, 52, 479–487. [Google Scholar] [CrossRef]
- Tsallis, C. Introduction to Nonextensive Statistical Mechanics—Approaching a Complex World; Springer: New York, NY, USA, 2009. [Google Scholar]
- A Regularly Updated Bibliography. Available online: http://tsallis.cat.cbpf.br/biblio.htm (accessed on 14 September 2020).
- Tsallis, C.; Bemski, G.; Mendes, R.S. Is re-association in folded proteins a case of nonextensivity? Phys. Lett. A 1999, 257, 93–98. [Google Scholar] [CrossRef]
- Tirnakli, U.; Borges, E.P. The standard map: From Boltzmann-Gibbs statistics to Tsallis statistics. Sci. Rep. 2016, 6, 23644. [Google Scholar] [CrossRef] [PubMed]
- Tsallis, C.; Cirto, L.J.L. Black hole thermodynamical entropy. Eur. Phys. J. C 2013, 73, 2487. [Google Scholar] [CrossRef]
- Borges, E.P.; Roditi, I. A family of non-extensive entropies. Phys. Lett. A 1998, 246, 399. [Google Scholar] [CrossRef]
- Schwammle, V.; Tsallis, C. Two-parameter generalization of the logarithm and exponential functions and Boltzmann-Gibbs-Shannon entropy. J. Math. Phys. 2007, 48, 113301. [Google Scholar] [CrossRef]
- Tsekouras, G.A.; Tsallis, C. Generalized entropy arising from a distribution of q-indices. Phys. Rev. E 2005, 71, 046144. [Google Scholar] [CrossRef] [PubMed]
- Oikonomou, T.; Provata, A. Non-extensive trends in the size distribution of coding and non-coding DNA sequences in the human genome. Eur. Phys. J. B 2006, 50, 259–264. [Google Scholar] [CrossRef][Green Version]
- Bakar, B.; Tirnakli, U. Analysis of self-organized criticality in Ehrenfest’s dog-flea model. Phys. Rev. E 2009, 79, 040103(R). [Google Scholar] [CrossRef]
- Celikoglu, A.; Tirnakli, U.; Queiros, S.M.D. Analysis of return distributions in the coherent noise model. Phys. Rev. E 2010, 82, 021124. [Google Scholar] [CrossRef]
- Bakar, B.; Tirnakli, U. Return distributions in dog-flea model revisited. Phys. A 2010, 389, 3382–3386. [Google Scholar] [CrossRef]
- Planck, M. Ueber irreversible Strahlungsvorgänge. Ann. D Phys. 1900, 1, 69–122. [Google Scholar] [CrossRef]
- Planck, M. Zur Theorie des Gesetzes der Energieverteilung im Normalspectrum. Verhandl. Dtsch. Phys. Ges. 1900, 2, 237–245. [Google Scholar]
- Sicuro, G.; Bagchi, D.; Tsallis, C. On the connection between linear combination of entropies and linear combination of extremizing distributions. Phys. Lett. A 2016, 380, 2025–2030. [Google Scholar] [CrossRef][Green Version]
- Ruiz, G.; Tirnakli, U.; Borges, E.P.; Tsallis, C. Statistical characterization of the standard map. J. Stat. Mech. 2017, 2017, 063403. [Google Scholar] [CrossRef]
- da Silva, G.F.T.; Moreira, A.A.; Nobre, F.D.; Curado, E.M.F. Thermostatistics of overdamped motion of interacting particles. Phys. Rev. Lett. 2010, 105, 260601. [Google Scholar]
- Tsallis, C.; Mendes, R.S.; Plastino, A.R. The role of constraints within generalized nonextensive statistics. Phys. A 1998, 261, 534–554. [Google Scholar] [CrossRef]
- Ferri, G.L.; Martinez, S.; Plastino, A. Equivalence of the four versions of Tsallis’ statistics. J. Stat. Mech. Theory Exp. 2005, 2005, P04009. [Google Scholar] [CrossRef]
- Shafee, F. Lambert function and a new non-extensive form of entropy. IMA J. Appl. Math. 2007, 72, 785–800. [Google Scholar] [CrossRef]
- Kaniadakis, G. Statistical mechanics in the context of special relativity. Phys. Rev. E 2002, 66, 056125. [Google Scholar] [CrossRef]
- Asgarani, S.; Mirza, B. Probability distribution of (Schwammle and Tsallis) two-parameter entropies and the Lambert W-function. Phys. A 2008, 387, 6277–6283. [Google Scholar] [CrossRef][Green Version]
- Corcino, C.B.; Corcino, R.B. Logarithmic generalization of the Lambert W function and its applications to adiabatic thermostatics of the three-parameter entropy. arXiv 2020, arXiv:2011.04283. [Google Scholar]
Publisher’s Note: MDPI stays neutral with regard to jurisdictional claims in published maps and institutional affiliations. |
© 2020 by the authors. Licensee MDPI, Basel, Switzerland. This article is an open access article distributed under the terms and conditions of the Creative Commons Attribution (CC BY) license (http://creativecommons.org/licenses/by/4.0/).