Intrinsic and Extrinsic Thermodynamics for Stochastic Population Processes with Multi-Level Large-Deviation Structure
Abstract
1. Introduction
1.1. On the History of the Development of Ideas Used Here, and a Transition from Mechanical to Large-Deviation Perspectives
1.1.1. On the Additive Decomposition of Total Entropy Change
1.1.2. On Subsuming all Entropy Concepts within a Uniform Large-Deviation Paradigm
1.2. Main Results and Order of the Derivation
2. Multi-Level Systems
2.1. Micro to Macro, within and between Levels
2.2. Models Based on Population Processes
- is an unordered pair of indices.
- counts every pair in both orders.counts every unordered pair once.
- Therefore for any function , .
- is a sum on the component of .
- counts all unordered pairs with common s-component .
2.3. Stochastic Description within the Mesoscale
2.4. System-Environment Decompositions of the Entropy Change
2.4.1. The Information/Heat Decomposition of Total Relative-Entropy Change
2.4.2. Relative Entropy Referencing the System Steady State at Instantaneous Parameters
2.4.3. Intrinsic and Extrinsic Thermodynamics
2.4.4. System Hartley Information as a Temporal Connection
3. Hamilton–Jacobi Theory for Large Deviations
3.1. Generating Functions, Liouville Equation, and the Hamilton–Jacobi Construction for Saddle Points
3.1.1. Relation of the Liouville Operator to the Cumulant-Generating Function
3.1.2. Legendre Transform of the CGF
3.1.3. Hamiltonian Equations of Motion and the Action
3.2. The Stationary Distribution and Macrostates
- The relative entropy is a functional on arbitrary distributions, like the Shannon entropy that is a special case. It identifies no concept of macrostate, and has no dependence on state variables.
- In a multi-level system that may have arbitrarily fine-grained descriptions, there is no upper limit to , and no appearance of the system scale at any particular level, which characterizes state-function entropies.
3.2.1. Coherent States, Dimensional Reduction, and the f-Divergence
3.2.2. Multiple Fixed Points and Instantons
4. Population Processes with CRN-Form Generators
4.1. Hypergraph Generator of State-Space Transitions
4.1.1. Descaling of Transition Matrices for Microstates
4.1.2. Descaling of Transition Matrices for Macrostates
4.1.3. Equations of Motion and the Manifold
4.1.4. The Schlögl Cubic Model to Illustrate
4.2. Large-Deviation and Lyapunov Roles of the Effective Action
4.2.1. Convexity Proof of the Lyapunov Property of Macrostate Entropy in Hamilton–Jacobi Variables
- = 0: As noted, for both escapes and relaxations, .
- Convexity: Both the potential value for the escape trajectory, and the velocity of the relaxation trajectory, are evaluated at the same location . The Liouville function , with all , is convex on the s-dimensional sub-manifold of fixed n. is bounded above at fixed n, and in order for cycles to be possible, shift vectors giving positive exponentials must exist for all directions of in the stoichiometric subspace. Therefore, at large in every direction, and the region at fixed n is bounded. The boundary at fixed n is likewise convex with respect to as affine coordinates, and is its interior.
- Chord: The vector is thus a chord spanning the sub-manifold of co-dimension 1 within the s-dimensional manifold of fixed n.
- Outward-directedness: The equation of motion gives as the outward normal function to the surface . The outward normal at is the classical relaxation trajectory. Every chord of the surface lies in its interior, implying that for any n, and thus .
4.2.2. Instantons and the Loss of Large-Deviation Accessibility from First Passages
- The 2nd law as formulated in Equation (4) is approximated in the large-deviation limit not by a single Hamiltonian trajectory, but by the sum of all Hamiltonian trajectories, from an initial condition. Along a single trajectory, could increase or decrease.
- increases everywhere in the sub-manifold of the manifold , by Equation (49). This is the classical increase of (relative) entropy of Boltzmann and Gibbs. decreases everywhere in the submanifold of the manifold , by Equation (48). This is the construction of the log-probability for large deviations. These escape paths, however, simply lead to the evaluations of , the stationary distribution.
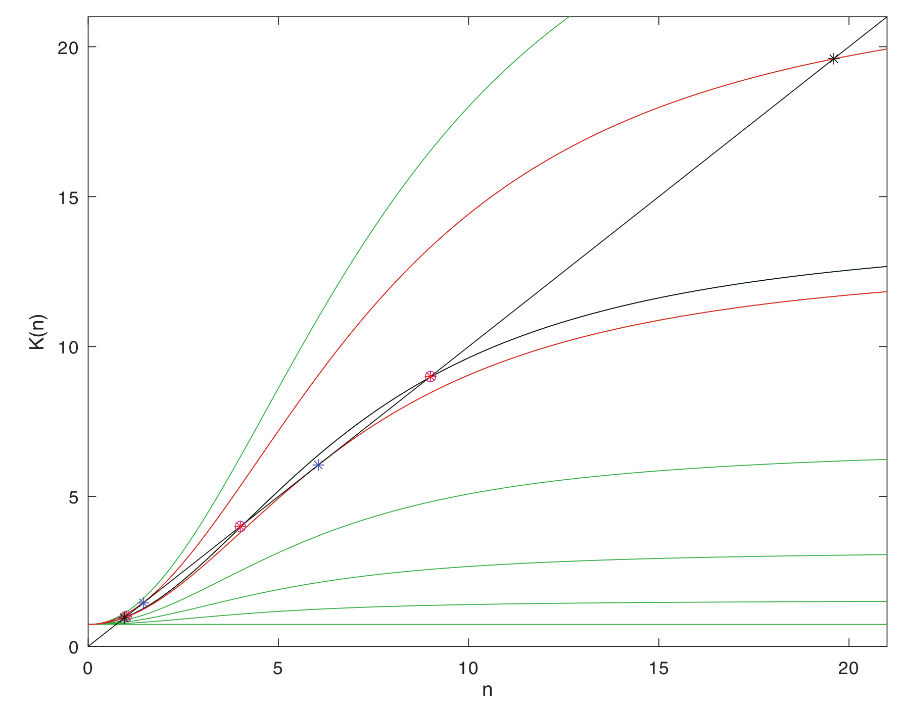
- If a CRN has multiple fixed points and instantons, all trajectories are exponentially close to the exact trajectory before they enter a small neighborhood around the terminus of the exact trajectory; that is, they give the appearance of being the black deterministic trajectory in Figure 1. The trajectory sum is correspondingly close to the deterministic relaxation that increases the conditional entropy in Equation (34).
- On longer times, however, the infinite sum of formally distinct Hamiltonian trajectories disperses into a sum over series of instantons making a random walk among fixed points, with an integral for each passage over the possible times at which the escape occurs. (See [64] Ch.7.) Such a sum is shown as a tree of colored first-passage trajectories in Figure 1. The “cross-sectional” sum at a single observation time over instantons distinguished by their escaping times gives the same result as a longitudinal line integral along a single instanton between the start time and the observation. That integral of through a full passage (escape instanton + succeeding relaxation) gives . The escape from fixed point to a saddle between and a fixed point in an adjacent basin, which we denote , is an integral over Equation (48), while the relaxation from the saddle to the fixed point is an integral over Equation (49). These are the classical “entropy fluctuations” of stochastic thermodynamics.
- The contribution to the probability of a trajectory from each instanton comes only from the sub-manifold, and is given by , just the leaving rate from the macrostate . The result, upon coarse-graining to the macroscale (see Table 1 and the top diagram in Figure 1) where first-passages become instantaneous elementary events, is a new stochastic process on discrete states corresponding to the mesoscale Hamiltonian fixed points . The coarse-grained counterpart to from Equation (34) is the Lyapunov function reduced by a transition matrix with matrix elements . The coarse-graining and the reduction of are described in detail for a 2-basin example in [67].
- The properties of are exactly those we have assumed for as inputs to the mesoscale, completing the self-consistency of our recursively-defined multi-level model universe.
5. Cycle Decompositions and Non-Decrease of Intrinsic and Extrinsic Relative Entropies
5.1. Complexity Classes and Cycle Decompositions of Stationary Currents on the Hypergraph
- The CRNs with detailed balance are those in which , for all pairs of complexes connected by a reaction. Under the descaling (43), this condition is that .
- The CRNs with complex balance only require , for each complex j, or under descaling, .
- The general case requires only , the condition of current balance at each species p, or under descaling, only .
5.1.1. Complex Balance and Relations of the Lyapunov and Large-Deviation Roles of
5.1.2. Vorticity in the Flowfield of Stationary Trajectories
5.1.3. Hyperflow Decomposition for Non-Complex-Balanced CRNs
5.2. Cycle Decomposition in the Microstate Space, and Non-Decrease of Relative Entropy Components
5.2.1. The System-Marginal Relative Entropy from
5.2.2. Non-Negativity of the Housekeeping Entropy Rate
6. Examples
6.1. Dualizing the Housekeeping Embedding Thermodynamics
6.1.1. One System, Families of Environments
6.1.2. The Housekeeping Entropy Rate
6.1.3. Legendre Duality for Housekeeping Entropy Rate
6.2. Metastability and as the Reference Measure for Relative Entropy
7. Discussion
7.1. The Problem of Macroworlds as an Alternative Central Contribution
7.2. The End of Entropy Flow, the Natural Partition, and Hartley Information
7.3. Making Trajectories First-Class Citizens
7.4. Rule-Based Systems and Life
8. Concluding Remarks
Funding
Acknowledgments
Conflicts of Interest
Appendix A. On Distributions of Strings in a Mixture with Random Ligation and Hydrolysis
References
- Szilard, L. Uber die entropieverminderung in einem thermodynamischen system bei eingriffen intelligenter wesen. Z. Phys. 1929, 53, 840–856. [Google Scholar] [CrossRef]
- Landauer, R. Irreversibility and Heat Generation in the Computing Process. IBM J. Res. Dev. 1961, 3, 183–191. [Google Scholar] [CrossRef]
- Bennett, C.H. The Thermodynamics of Computation—A Review. Int. J. Theor. Phys. 1982, 21, 905–940. [Google Scholar] [CrossRef]
- Wolpert, D.H. The stochastic thermodynamics of computation. J. Phys. A Math. Theor. 2019, 52, 193001. [Google Scholar] [CrossRef]
- Seifert, U. Stochastic thermodynamics, fluctuation theorems, and molecular machines. Rep. Prog. Phys. 2012, 75, 126001. [Google Scholar] [CrossRef] [PubMed]
- England, J.L. Statistical physics of self-replication. J. Chem. Phys. 2013, 139, 121923. [Google Scholar] [CrossRef] [PubMed]
- Perunov, N.; Marsland, R.; England, J. Statistical physics of adaptation. Phys. Rev. X 2015, 6, 021036. [Google Scholar] [CrossRef]
- Luce, R.D. Individual Choice Behavior; Wiley: New York, NY, USA, 1959. [Google Scholar]
- McFadden, D. Quantal choice analysis: A survey. Ann. Econ. Soc. Meas. 1976, 5, 363–390. [Google Scholar]
- Lenton, T.M.; Livina, V.N.; Dakos, V.; van Nes, E.H.; Scheffer, M. Early warning of climate tipping points from critical slowing down: Comparing methods to improve robustness. Philos. Trans. R. Soc. A 2011, 370, 1185–1204. [Google Scholar] [CrossRef]
- Onsager, L. Reciprocal Relations in Irreversible Processes. I. Phys. Rev. 1931, 37, 405–426. [Google Scholar] [CrossRef]
- Onsager, L. Reciprocal Relations in Irreversible Processes. II. Phys. Rev. 1931, 38, 2265–2279. [Google Scholar] [CrossRef]
- Glansdorff, P.; Prigogine, I. Thermodynamic Theory of Structure, Stability, and Fluctuations; Wiley: New York, NY, USA, 1971. [Google Scholar]
- Kondepudi, D.; Prigogine, I. Modern Thermodynamics: From Heat Engines to Dissipative Structures; Wiley: New York, NY, USA, 1998. [Google Scholar]
- Evans, D.J.; Searles, D.J. Fluctuation theorem for stochastic systems. Phys. Rev. E 1999, 60, 159–164. [Google Scholar]
- Evans, D.J.; Searles, D.J. The fluctuation theorem. Adv. Phys. 2002, 51, 1529–1585. [Google Scholar] [CrossRef]
- Gallavotti, G.; Cohen, E.D.G. Dynamical ensembles in non-equilibrium statistical mechanics. Phys. Rev. Lett. 1995, 74, 2694–2697. [Google Scholar] [CrossRef] [PubMed]
- Gallavotti, G.; Cohen, E.D.G. Dynamical ensembles in stationary states. J. Stat. Phys. 1995, 80, 931–970. [Google Scholar] [CrossRef]
- Jarzynski, C. Nonequilibrium work relations: Foundations and applications. Eur. Phys. J. B 2008, 64, 331–340. [Google Scholar] [CrossRef]
- Chetrite, R.; Gawedzki, K. Fluctuation relations for diffusion processes. Commun. Math. Phys. 2008, 282, 469–518. [Google Scholar] [CrossRef]
- Esposito, M.; Van den Broeck, C. Three Detailed Fluctuation Theorems. Phys. Rev. Lett. 2010, 104, 090601. [Google Scholar] [CrossRef]
- Crooks, G.E. Entropy production fluctuation theorem and the nonequilibrium work relation for free energy differences. Phys. Rev. E 1999, 6, 2721–2726. [Google Scholar] [CrossRef]
- Crooks, G.E. Path-ensemble averages in systems driven far from equilibrium. Phys. Rev. E 2000, 61, 2361–2366. [Google Scholar] [CrossRef]
- Kurchan, J. Non-equilibrium work relations. J. Stat. Mech. 2007, 2007, P07005. [Google Scholar] [CrossRef]
- Hald, A. A History of Probability and Statistics and Their Applications before 1750; Wiley: New York, NY, USA, 1990. [Google Scholar]
- Joule, J.P. The Scientific Papers of James Prescott Joule; Physical Society; Open Library: London, UK, 1844; Available online: https://openlibrary.org/books/OL239730M/The_scientific_papers_of_James_Prescott_Joule (accessed on 30 July 2020).
- Hirst, T.A. (Ed.) The Mechanical Theory of Heat; John van Voorst: London, UK, 1865. [Google Scholar]
- Boltzmann, L. The second law of thermodynamics. In Populäre Schriften; J. A. Barth: Leipzig, Germany, 1905; pp. 25–50. [Google Scholar]
- Rota, G.C. Lectures on Being Time (1998). New Yearb. Phenomenol. Phenomenol. Philos. 2008, 8, 225–319. [Google Scholar]
- Jaynes, E.T. Information theory and statistical mechanics. Phys. Rev. 1957, 106, 620–630. [Google Scholar] [CrossRef]
- Jaynes, E.T. Information theory and statistical mechanics. II. Phys. Rev. 1957, 108, 171–190. [Google Scholar] [CrossRef]
- Lieb, E.H.; Yngvason, J. The physics and mathematics of the second law of thermodynamics. Phys. Rep. 1999, 310, 1–96. [Google Scholar] [CrossRef]
- Lieb, E.H.; Yngvason, J. The entropy concept for non-equilibrium states. Proc. R. Soc. A 2013, 469, 20130408. [Google Scholar] [CrossRef]
- Lieb, E.H.; Yngvason, J. Entropy meters and the entropy of non-extensive systems. Proc. R. Soc. A 2014, 470, 20140192. [Google Scholar] [CrossRef]
- Gell-Mann, M.; Low, F. Quantum electrodynamics at small distances. Phys. Rev. 1954, 95, 1300–1312. [Google Scholar] [CrossRef]
- Wilson, K.G.; Kogut, J. The renormalization group and the ε expansion. Phys. Rep. Phys. Lett. 1974, 12C, 75–200. [Google Scholar] [CrossRef]
- Weinberg, S. Phenomenological Lagrangians. Phys. A 1979, 96, 327–340. [Google Scholar] [CrossRef]
- Polchinski, J.G. Renormalization group and effective lagrangians. Nucl. Phys. B 1984, 231, 269–295. [Google Scholar] [CrossRef]
- Fermi, E. Thermodynamics; Dover: New York, NY, USA, 1956. [Google Scholar]
- Bertini, L.; De Sole, A.; Gabrielli, D.; Jona-Lasinio, G.; Landim, C. Towards a nonequilibrium thermodynamics: A self-contained macroscopic description of driven diffusive systems. J. Stat. Phys. 2009, 135, 857–872. [Google Scholar] [CrossRef]
- Amari, S.I.; Nagaoka, H. Methods of Information Geometry; Oxford University Press: Oxford, UK, 2000. [Google Scholar]
- Ay, N.; Jost, J.; Lê, H.V.; Schwachhöfer, L. Information Geometry; Springer International: Cham, Switzerland, 2017. [Google Scholar]
- Touchette, H. The large deviation approach to statistical mechanics. Phys. Rep. 2009, 478, 1–69. [Google Scholar] [CrossRef]
- Ellis, R.S. Entropy, Large Deviations, and Statistical Mechanics; Springer: New York, NY, USA, 1985. [Google Scholar]
- Shannon, C.E.; Weaver, W. The Mathematical Theory of Communication; University of Illinois Press: Urbana, IL, USA, 1949. [Google Scholar]
- Hartley, R.V.L. Transmission of information. Bell Syst. Tech. J. 1928, 7, 535–563. [Google Scholar] [CrossRef]
- Esposito, M.; Harbola, U.; Mukamel, S. Entropy fluctuation theorems in driven open systems: Application to electron counting statistics. Phys. Rev. E 2007, 76, 031132. [Google Scholar] [CrossRef] [PubMed]
- Ge, H.; Qian, H. Physical origins of entropy production, free energy dissipation, and their mathematical representations. Phys. Rev. E 2010, 81, 051133. [Google Scholar] [CrossRef] [PubMed]
- Wang, Y.; Qian, H. Mathematical Representation of Clausius’ and Kelvin’s Statements of the Second Law and Irreversibility. J. Stat. Phys. 2020, 179, 808–837. [Google Scholar] [CrossRef]
- Oono, Y.; Paniconi, M. Steady state thermodynamics. Prog. Theor. Phys. Suppl. 1998, 130, 29–44. [Google Scholar] [CrossRef]
- Hatano, T.; Sasa, S.i. Steady state thermodynamics of Langevin systems. Phys. Rev. Lett. 2001, 86, 3463–3466. [Google Scholar] [CrossRef]
- Speck, T.; Seifert, U. Integral fluctuation theorem for the housekeeping heat. J. Phys. A Math. Gen. 2005, 38, L581–L588. [Google Scholar] [CrossRef]
- Harris, R.J.; Schütz, G.M. Fluctuation theorems for stochastic dynamics. J. Stat. Mech. 2007, P07020. [Google Scholar] [CrossRef]
- Ge, H.; Qian, H. Mesoscopic kinetic basis of macroscopic chemical thermodynamics: A mathematical theory. Phys. Rev. E 2016, 94, 052150. [Google Scholar] [CrossRef] [PubMed]
- Santillán, M.; Qian, H. Irreversible thermodynamics in multiscale stochastic dynamical systems. Phys. Rev. E 2011, 83, 041130. [Google Scholar] [CrossRef] [PubMed]
- Qian, H. A decomposition of irreversible diffusion processes without detailed balance. J. Math. Phys. 2013, 54, 053302. [Google Scholar] [CrossRef]
- Ge, H.; Qian, H. Mathematical Formalism of Nonequilibrium Thermodynamics for Nonlinear Chemical Reaction Systems with General Rate Law. J. Stat. Phys. 2017, 166, 190–209. [Google Scholar] [CrossRef]
- Qian, H.; Cheng, Y.C.; Thompson, L.F. Ternary Representation of Stochastic Change and the Origin of Entropy and Its Fluctuations. arXiv 2020, arXiv:1902.09536v1. [Google Scholar]
- Carnot, S. Reflections on the Motive Power of Fire; Mendoza, E., Ed.; Dover: New York, NY, USA, 1960. [Google Scholar]
- Gibbs, J.W. The Scientific Papers of J. Willard Gibbs, Vol. 1: Thermodynamics; Ox Bow Press: New Haven, CT, USA, 1993. [Google Scholar]
- Smith, E. Thermodynamics of natural selection II: Chemical Carnot cycles. J. Theor. Biol. 2008, 252, 198–212. [Google Scholar] [CrossRef] [PubMed]
- Freidlin, M.I.; Wentzell, A.D. Random Perturbations in Dynamical Systems, 2nd ed.; Springer: New York, NY, USA, 1998. [Google Scholar]
- Cardy, J.L. Electron localisation in disordered systems and classical solutions in Ginzburg-Landau field theory. J. Phys. C 1987, 11, L321–L328. [Google Scholar] [CrossRef]
- Coleman, S. Aspects of Symmetry; Cambridge University Press: New York, NY, USA, 1985. [Google Scholar]
- Kirsten, K.; McKane, A.J. Functional determinants by contour integration methods. Ann. Phys. 2003, 308, 502–527. [Google Scholar] [CrossRef]
- Cover, T.M.; Thomas, J.A. Elements of Information Theory; Wiley: New York, NY, USA, 1991. [Google Scholar]
- Smith, E. Large-deviation principles, stochastic effective actions, path entropies, and the structure and meaning of thermodynamic descriptions. Rep. Prog. Phys. 2011, 74, 046601. [Google Scholar] [CrossRef]
- Gell-Mann, M.; Lloyd, S. Information measures, effective complexity, and total information. Complexity 1996, 2, 44–52. [Google Scholar] [CrossRef]
- Gell-Mann, M.; Lloyd, S. Effective complexity. In Nonextensive Entropy—Interdisciplinary Applications; Gell-Mann, M., Tsallis, C., Eds.; Oxford U. Press: New York, NY, USA, 2004; pp. 387–398. [Google Scholar]
- Polettini, M.; Esposito, M. Irreversible Thermodynamics of Open Chemical Networks. I. Emergent Cycles and Broken Conservation Laws. J. Chem. Phys. 2014, 141, 024117. [Google Scholar] [CrossRef] [PubMed]
- Horn, F.; Jackson, R. General mass action kinetics. Arch. Ration. Mech. Anal. 1972, 47, 81–116. [Google Scholar] [CrossRef]
- Feinberg, M. Lectures on Chemical Reaction Networks. Lecture Notes. 1979. Available online: https://crnt.osu.edu/LecturesOnReactionNetworks (accessed on 8 May 2016).
- Krishnamurthy, S.; Smith, E. Solving moment hierarchies for chemical reaction networks. J. Phys. A Math. Theor. 2017, 50, 425002. [Google Scholar] [CrossRef]
- Smith, E.; Krishnamurthy, S. Flows, scaling, and the control of moment hierarchies for stochastic chemical reaction networks. Phys. Rev. E 2017, 96, 062102. [Google Scholar] [CrossRef]
- Seifert, U.; Speck, T. Fluctuation-dissipation theorem in nonequilibrium steady states. Europhys. Lett. 2010, 89, 10007. [Google Scholar] [CrossRef]
- Schnakenberg, J. Network theory of microscopic and macroscopic behavior of master equation systems. Rev. Mod. Phys. 1976, 48, 571–585. [Google Scholar] [CrossRef]
- Andersen, J.L.; Flamm, C.; Merkle, D.; Stadler, P.F. Generic strategies for chemical space exploration. Int. J. Comput. Biol. Drug Des. 2014, 7, 225–258. [Google Scholar] [CrossRef]
- Assaf, M.; Meerson, B. WKB theory of large deviations in stochastic populations. J. Phys. A 2017, 50, 263001. [Google Scholar] [CrossRef]
- Martin, P.C.; Siggia, E.D.; Rose, H.A. Statistical Dynamics of Classical Systems. Phys. Rev. A 1973, 8, 423–437. [Google Scholar] [CrossRef]
- Kamenev, A. Keldysh and Doi-Peliti Techniques for out-of-equilibrium Systems. In Strongly Correlated Fermions and Bosons in Low-Dimensional Disordered Systems; Lerner, I.V., Althsuler, B.L., Fal′ko, V.I., Giamarchi, T., Eds.; Springer: Berlin/Heidelberg, Germany, 2002; pp. 313–340. [Google Scholar]
- Smith, E.; Krishnamurthy, S. Symmetry and Collective Fluctuations in Evolutionary Games; IOP Press: Bristol, UK, 2015. [Google Scholar]
- Angelani, L.; Di Leonardo, R.; Ruocco, G. Self-Starting Micromotors in a Bacterial Bath. Phys. Rev. Lett. 2009, 102, 048104. [Google Scholar] [CrossRef] [PubMed]
- Mallory, S.A.; Valeriani, C.; Cacciuto, A. Curvature-induced activation of a passive tracer in an active bath. Phys. Rev. E 2014, 90, 032309. [Google Scholar] [CrossRef] [PubMed]
- Gelman, A.; Shalizi, C.R. Philosophy and the practice of Bayesian statistics. Br. J. Math. Stat. Psychol. 2013, 66, 8–38. [Google Scholar] [CrossRef] [PubMed]
- Esposito, M.; Lindenberg, K.; Van den Broeck, C. Extracting chemical energy by growing disorder: Efficiency at maximum power. J. Stat. Mech. 2010. [Google Scholar] [CrossRef]
- Kittel, C.; Kroemer, H. Thermal Physics, 2nd ed.; Freeman: New York, NY, USA, 1980. [Google Scholar]
- Siegmund, D. Importance sampling in the Monte Carlo study of sequential tests. Ann. Stat. 1976, 4, 673–684. [Google Scholar] [CrossRef]
- Goldstein, H.; Poole, C.P.; Safko, J.L. Classical Mechanics, 3rd ed.; Addison Wesley: New York, NY, USA, 2001. [Google Scholar]
- Maier, R.S.; Stein, D.L. Effect of focusing and caustics on exit phenomena in systems lacking detailed balance. Phys. Rev. Lett. 1993, 71, 1783–1786. [Google Scholar] [CrossRef]
- Dykman, M.I.; Mori, E.; Ross, J.; Hunt, P.M. Large fluctuations and optimal paths in chemical kinetics. J. Chem. Phys. 1994, 100, 5735–5750. [Google Scholar] [CrossRef]
- Smith, E.; Krishnamurthy, S. Eikonal solutions for moment hierarchies of Chemical Reaction Networks in the limits of large particle number. J. Phys. A Math. Theor. 2020. submitted. [Google Scholar]
- Anderson, D.F.; Craciun, G.; Kurtz, T.G. Product-form stationary distributions for deficiency zero chemical reaction networks. Bull. Math. Biol. 2010, 72, 1947–1970. [Google Scholar] [CrossRef]
- Doi, M. Second quantization representation for classical many-particle system. J. Phys. A 1976, 9, 1465–1478. [Google Scholar] [CrossRef]
- Doi, M. Stochastic theory of diffusion-controlled reaction. J. Phys. A 1976, 9, 1479. [Google Scholar] [CrossRef]
- Peliti, L. Path-integral approach to birth-death processes on a lattice. J. Phys. 1985, 46, 1469. [Google Scholar] [CrossRef]
- Peliti, L. Renormalization of fluctuation effects in A + A → A reaction. J. Phys. A 1986, 19, L365. [Google Scholar] [CrossRef]
- Gunawardena, J. Chemical Reaction Network Theory for In-Silico Biologists. Lecture Notes. 2003. Available online: vcp.med.harvard.edu/papers/crnt.pdf (accessed on 2 June 2016).
- Andersen, J.L.; Flamm, C.; Merkle, D.; Stadler, P.F. Maximizing output and recognizing autocatalysis in chemical reaction networks is NP-complete. J. Syst. Chem. 2012, 3, 1. [Google Scholar] [CrossRef]
- Berge, C. Graphs and Hypergraphs, Rev. ed.; North-Holland: Amsterdam, The Netherlands, 1973. [Google Scholar]
- Baez, J.C.; Fong, B. Quantum Techniques for Studying Equilibrium in Reaction Networks. J. Complex Netw. 2014, 3, 22–34. Available online: https://academic.oup.com/comnet/article-abstract/3/1/22/490572/Quantum-techniques-for-studying-equilibrium-in?redirectedFrom=fulltext (accessed on 26 October 2017). [CrossRef]
- Baish, A.J. Deriving the Jarzynski Relation from Doi-Peliti Field Theory. Bachelor’s Thesis, Bucknell University, Lewisburg, PA, USA, 2015. [Google Scholar]
- Feinberg, M. Chemical reaction network structure and the stability of complex isothermal reactors—I. The deficiency zero and deficiency one theorems. Chem. Enc. Sci. 1987, 42, 2229–2268. [Google Scholar] [CrossRef]
- Schlögl, F. On thermodynamics near a steady state. Z. Phys. 1971, 248, 446–458. [Google Scholar] [CrossRef]
- van Kampen, N.G. Stochastic Processes in Physics and Chemistry, 3rd ed.; Elsevier: Amsterdam, The Netherlands, 2007. [Google Scholar]
- Hill, T.L.; Kedem, O. Studies in irreversible thermodynamics III. models for steady state and active transport across membranes. J. Theor. Biol. 1966, 10, 399–441. [Google Scholar] [CrossRef]
- Hill, T.L. Studies in Irreversible Thermodynamics IV. Diagrammatic Representation of Steady State Fluxes for Unimolecular Systems. J. Theor. Biol. 1966, 10, 442–459. [Google Scholar] [CrossRef]
- Hill, T.L. Free Energy Transduction in Biology: The Steady-State Kinetic and Thermodynamic Formalism; Academic Press: New York, NY, USA, 1977. [Google Scholar]
- Hill, T.L.; Chen, Y.D. Stochastics of Cycle Completions (Fluxes) in Biochemical Kinetic Diagrams. Proc. Nat. Acad. Sci. USA 1975, 72, 1291–1295. [Google Scholar] [CrossRef]
- Qian, M.; Qian, M. Circulation for recurrent Markov chain. Z. Wahrsch. Verw. Geb. 1982, 59, 203–210. [Google Scholar]
- Danos, V.; Feret, J.; Fontana, W.; Harmer, R.; Krivine, J. Rule-based modelling, symmetries, refinements. Form. Methods Syst. Biol. Lect. Notes Comput. Sci. 2008, 5054, 103–122. [Google Scholar]
- Baez, J.C. Quantum Techniques for Reaction Networks. 2013. Available online: https://arxiv.org/abs/1306.3451 (accessed on 14 October 2017).
- Yung, Y.; Allen, M.; Pinto, J.P. Photochemistry of the atmosphere of Titan: Comparison between model and observations. Astrophys. J. Suppl. Ser. 1984, 55, 465–506. [Google Scholar] [CrossRef] [PubMed]
- Hébrard, E.; Dobrijevic, M.; Loison, J.C.; Bergeat, A.; Hickson, K.M. Neutral production of hydrogen isocyanide (HNC) and hydrogen cyanide (HCN) in Titan’s upper atmosphere. Astron. Astrophys. 2012, 541, A21. [Google Scholar] [CrossRef]
- Turse, C.; Leitner, J.; Firneis, M.; Schulze-Makuch, D. Simulations of prebiotic chemistry under post-imact conditions on Titan. Life 2013, 3, 538–549. [Google Scholar] [PubMed]
- Westheimer, F.H. Why nature chose phosphates. Science 1987, 235, 1173–1178. [Google Scholar] [CrossRef]
- Pasek, M.A.; Kee, T.P. On the Origin of Phosphorylated Biomolecules. In Origins of Life: The Primal Self-Organization; Egel, R., Lankenau, D.H., Mulkidjanian, A.Y., Eds.; Springer: Berlin/Heidelberg, Germany, 2011; pp. 57–84. [Google Scholar]
- Goldford, J.E.; Hartman, H.; Smith, T.F.; Segrè, D. Remnants of an Ancient Metabolism without Phosphate. Cell 2017, 168, 1126–1134. [Google Scholar] [CrossRef]
- Goldford, J.E.; Hartman, H.; Marsland, R., III; Segrè, D. Environmental boundary conditions for early life converge to an organo-sulfur metabolism. Nat. Ecol. Evol. 2019, 3, 1715–1724. [Google Scholar] [CrossRef]
- Laplace, P.S. A Philosophical Essay on Probabilities, 6th ed.; Truscott, F.W., Emory, F.L., Eds.; Dover: New York, NY, USA, 1951. [Google Scholar]
- Clausius, R. On the Application of the Theorem of the Equivalence of Transformations to Interior Work; Fourth Memoir; John van Voorst: London, UK, 1867; pp. 215–250. [Google Scholar]
- Smith, E. Quantum-classical correspondence principles for locally non-equilibrium driven systems. Phys. Rev. E 2008, 77, 021109. [Google Scholar] [CrossRef]
- Smith, E.; Morowitz, H.J. The Origin and Nature of Life on Earth: The Emergence of the Fourth Geosphere; Cambridge U. Press: London, UK, 2016; ISBN 9781316348772. [Google Scholar]
- Verdú, S. Fifty years of Shannon theory. IEEE Trans. Inf. Theor. 1998, 44, 2057–2078. [Google Scholar] [CrossRef]
- Abelson, H.; Sussman, G.J.; Sussman, J. Structure and Interpretation of Computer Programs, 2nd ed.; MIT Press: Cambridge, MA, USA, 1996. [Google Scholar]
- Jaynes, E.T. The minimum entropy production principle. Annu. Rev. Phys. Chem. 1980, 31, 579–601. [Google Scholar] [CrossRef]
- Jaynes, E.T. Probability Theory: The Logic of Science; Cambridge U. Press: New York, NY, USA, 2003. [Google Scholar]
- Speck, T.; Seifert, U. Restoring a fluctuation-dissipation theorem in a nonequilibrium steady state. Europhys. Lett. 2006, 74, 391–396. [Google Scholar] [CrossRef]
- Harmer, R.; Danos, V.; Feret, J.; Krivine, J.; Fontana, W. Intrinsic information carriers in combinatorial dynamical systems. Chaos 2010, 20, 037108. [Google Scholar] [CrossRef] [PubMed]
- Behr, N.; Danos, V.; Garnier, I. Stochastic mechanics of graph rewriting. In Proceedings of the 31st Annual ACM/IEEE Symposium on Logic in Computer Science; Shankar, N., Ed.; ACM Press: New York, NY, USA, 2016; pp. 46–55. [Google Scholar]
- Behr, N.; Danos, V.; Garnier, I. Combinatorial Conversion and Moment Bisimulation for Stochastic Rewriting Systems. Log. Methods Comput. Sci. 2020, 16, lmcs:6628. [Google Scholar]
- Behr, N.; Krivine, J. Rewriting Theory for the Life Sciences: A Unifying Theory of CTMC Semantics. In Proceedings of the Graph Transformation, 13th International Conference, ICGT 2020, Proceedings; Volume 12150 of Theoretical Computer Science and General Issues; Gadducci, F., Kehrer, T., Eds.; Springer International Publishing: Cham, Switzerland, 2020; pp. 185–202. [Google Scholar]
- Smith, E. The information geometry of 2-field functional integrals. Inf. Geom. 2019. submitted. Available online: http://arxiv.org/abs/1906.09312 (accessed on 21 June 2019).







| Macroscale | Mesoscale | Microscale |
|---|---|---|
| microstate | H-J fixed point | |
| thermalization of the microscale | H-J relaxation trajectories | |
| elementary transitions between microstates | H-J first-passages | |
| arbitrary distribution on microstates | coarse-grained distribution on fixed points | |
| macrostate (distribution) ↔ H-J variables | ||
| microstate | H-J fixed point | |
| … | … |
| Notation | Definition | Comment |
|---|---|---|
| , , | whole-system, s-marginal, -conditional distributions in the global stationary state | |
| marginal system steady-state distribution | function of instantaneous environment conditional distribution | |
| macrostate tilted to saddle-point value | defined relative to global stationary distributions ; may be defined for whole-system, s, or |
| Case | Complexity Class |
|---|---|
| general case | |
| complex-balanced | |
| detailed-balanced |
© 2020 by the author. Licensee MDPI, Basel, Switzerland. This article is an open access article distributed under the terms and conditions of the Creative Commons Attribution (CC BY) license (http://creativecommons.org/licenses/by/4.0/).
Share and Cite
Smith, E. Intrinsic and Extrinsic Thermodynamics for Stochastic Population Processes with Multi-Level Large-Deviation Structure. Entropy 2020, 22, 1137. https://doi.org/10.3390/e22101137
Smith E. Intrinsic and Extrinsic Thermodynamics for Stochastic Population Processes with Multi-Level Large-Deviation Structure. Entropy. 2020; 22(10):1137. https://doi.org/10.3390/e22101137
Chicago/Turabian StyleSmith, Eric. 2020. "Intrinsic and Extrinsic Thermodynamics for Stochastic Population Processes with Multi-Level Large-Deviation Structure" Entropy 22, no. 10: 1137. https://doi.org/10.3390/e22101137
APA StyleSmith, E. (2020). Intrinsic and Extrinsic Thermodynamics for Stochastic Population Processes with Multi-Level Large-Deviation Structure. Entropy, 22(10), 1137. https://doi.org/10.3390/e22101137
