Effects of Glass Transition and Structural Relaxation on Crystal Nucleation: Theoretical Description and Model Analysis
Abstract
1. Introduction
2. The Model: Basic Assumptions
3. Implications for the Description of Crystal Nucleation: Thermodynamic Aspects
4. Implications for the Description of Crystal Nucleation: Kinetic Aspects
4.1. Relaxation and Crystal Nucleation: Analytical Estimates
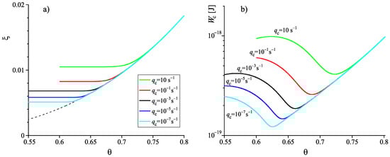
4.2. Relaxation and Crystal Nucleation: Numerical Computations
5. Account of Stress Evolution and Stress Relaxation in Crystal Nucleation
6. Discussion
7. Conclusions
- On cooling, a liquid is transferred, in the glass transition range and below it, into a thermodynamically non-equilibrium state, the glass. Therefore, its properties become different from the properties at the corresponding (relaxed) metastable equilibrium state. As a consequence, the main thermodynamic and kinetic parameters determining the rate of crystal nucleation become dependent on such deviations from metastable equilibrium. These deviations result, in particular, in changes of the theoretical estimates of the steady-state nucleation rates and the time-lag in nucleation. The glass transition temperature and the properties of the glass depend on cooling and heating rates or, more generally, on the path the system is transferred into the state where nucleation is studied. Consequently, accounting for deviations of the state of the liquid from metastable equilibrium, its dependence on cooling and heating rates or the way the system is transferred into the respective state has to be determined.
- Experiments on the determination of the steady-state nucleation rate and the time lag in nucleation are normally performed by transferring the liquid into the desired initial state at moderate cooling rates. At such process conditions, the glass transition takes place at a temperature , defined by Tammann as the temperature at which the liquids Newtonian viscosity, , is equal to Pa s. At such typical experimental conditions, the glass transition temperature and the temperature of the maximum crystal nucleation rate, and , are close, . Consequently, the hypothesis can be advanced that specific features of crystal nucleation occurring at the glass transition temperature and below it may be the origin for the problems in the theoretical interpretation of experimental results on steady-state nucleation rates near and below the maximum of the steady-state nucleation rate.
- As shown here, deviations from metastable equilibrium (caused by cooling and the resulting transfer of a relaxed supercooled liquid into a glassy state) always result in higher values both of the thermodynamic driving force of crystallization and the surface tension as compared to phase formation in a metastable liquid. Consequently, isothermal annealing processes in the course of nucleation (relaxation of the glassy state towards metastable equilibrium) are accompanied by a decrease of both the thermodynamic driving force of crystallization and the surface tension. As one of the consequences of these processes, isothermal relaxation leads, as a rule, to a decrease of the work of critical cluster formation and an increase of the steady-state nucleation rates.
- The effect of described above deviations of the liquid from metastable equilibrium on crystal nucleation depends on the ratio of the characteristic time scales of nucleation, , and relaxation, . In the range of temperatures of relevance for the present study, , the average time of formation of the first supercritical nucleus, , is approximately equal to the time-lag in nucleation, . If the capillarity approximation and the Stokes–Einstein–Eyring equation are assumed to be fulfilled, then the inequality is always satisfied and relaxation is always completed prior to crystal nucleation. However, these two assumptions are known to be of limited validity. If they are removed, both cases and may be realized and crystallization may proceed prior to relaxation. Provided the latter condition, , is fulfilled, then nucleation proceeds concomitantly with relaxation. For its description, expressions for the thermodynamic driving force and the surface tension have to be employed where deviations of the state of the liquid from metastable equilibrium are accounted for. Consequently, at such conditions, they may be responsible for the deviations of theoretical predictions of steady-state nucleation rates from experimental data as illustrated in Figure 1. The validity of this hypothesis is proven in the present study.
- Provided the condition is fulfilled, moderate variations of the state of the liquid with time in the course of nucleation and growth take place. As one consequence, steady-state nucleation rates may change also slowly with time. The characteristic time-scales of such variations of the state of the liquid and the steady-state nucleation rate are determined by the Maxwellian relaxation times. They may be very large, so that they are frequently not reached in experimental analyses of nucleation below . Anyway, the experimental studies performed and exhibiting the “breakdown of CNT” problem represent measurements of the steady-state nucleation rates for the time interval where they are performed. In this sense, they remain correct and they are described by CNT, if, as shown here, deviations of the state of the liquid from metastable equilibrium are accounted for. In those measurements, the liquid had not reached metastable equilibrium and, as a consequence, the ultimate steady-state nucleation regime of nucleation was not established. In fact, at sufficiently deep supercooling, the metastable liquid may not be reached at all at reasonable laboratory time scales. Consequently, the computations employing the method outlined in the present paper provide an independent confirmation that the low temperature anomaly in silicate glasses is a particular realization of even more complex, intriguing features of crystal nucleation than commonly assumed so far.
- Since relaxation is connected with an increase of the steady-state nucleation rates, crystal nucleation may be observed in systems at low temperatures sometimes only after sufficiently prolonged isothermal annealing. Relaxation does not occur prior to nucleation in such cases because it inhibits crystal nucleation but, in contrast, it leads to sufficiently low values of the work of critical cluster formation resulting in sufficiently large nucleation rates which can be observed experimentally.
- The condition, , which has to be fulfilled that glass transition and relaxation may affect nucleation leads simultaneously to the requirement that elastic stresses may become of significant importance for the specification of the thermodynamic driving force and the surface tension. Elastic stresses result in a decrease of the thermodynamic driving force and, as shown here for the first time, in an increase of the surface tension. In this way, they act in the same direction as deviations of the state of the liquid from equilibrium leading to an increase of the work of critical cluster formation. Experimental data on crystal nucleation near and below the glass transition are consequently always affected by both factors—deviations from metastable equilibrium and elastic stresses—once the inequality holds.
- Finally, the present analysis gives a new theoretical interpretation of the possibility of existence of crystal nucleation flashes during heating. They are expected to be of significant importance, in particular, for the correct description of cold crystallization, a phenomenon widely discussed in polymer physics. This highly interesting consequence of the formalism presented here will be analyzed in detail in a future study. However, this is only one in the wide spectrum of its possible applications to the description of crystal nucleation and growth processes where the advanced here method of theoretical analysis is believed to lead to new insights.
Author Contributions
Funding
Acknowledgments
Conflicts of Interest
Appendix A. Some Features of the Lattice-Hole Model Employed in the Present Analysis
References
- Höland, W.; Beall, G.H. Glass-Ceramic Technology, 3rd ed.; Wiley: Hoboken, NJ, USA, 2019. [Google Scholar]
- Wilde, G. Early Stages of Crystal Formation in Glass-Forming Metallic Alloys. In Glass: Selected Properties and Crystallization; Schmelzer, J.W.P., Ed.; De Gruyter: Berlin, Germany, 2014; pp. 95–135. [Google Scholar]
- Perepezko, J.H.; Wilde, G. Melt undercooling and nucleation kinetics. Curr. Opin. Solid State Mater. Sci. 2016, 20, 3–12. [Google Scholar] [CrossRef]
- Sosso, G.C.; Chen, J.; Cox, S.J.; Fitzner, M.; Pedevilla, P.; Zen, A.; Michaelides, A. Crystal Nucleation in Liquids: Open Questions and Future Challenges in Molecular Dynamics Simulations. Chem. Rev. 2016, 116, 7078–7116. [Google Scholar] [CrossRef]
- Neuville, D.R.; Cormier, L.; Caurant, D.; Montagne, L. (Eds.) From Glass to Crystal—Nucleation, Growth, and Phase Separation: From Research to Applications; EDP-Sciences: Les Ulis, France, 2017. [Google Scholar]
- Musgraves, J.D.; Hu, J.; Calvez, L. (Eds.) Springer-Handbook of Glass; Springer: Heidelberg, Germany, 2019. [Google Scholar]
- Advances in Dielectrics Series. In Crystallization as Studied by Broadband Dielectric Spectroscopy; Kremer, F., Ezquerra, T.A., Nogales, A., Eds.; Springer Nature: Cham, Switzerland, 2020. [Google Scholar]
- Schmelzer, J.W.P.; Abyzov, A.S.; Ferreira, E.B.; Fokin, V.M. Curvature dependence of the surface tension and crystal nucleation in liquids. Int. J. Appl. Glass Sci. 2019, 10, 57–68. [Google Scholar] [CrossRef]
- Schmelzer, J.W.P.; Abyzov, A.S.; Baidakov, V.G. Entropy and the Tolman Parameter in Nucleation Theory. Entropy 2019, 21, 670. [Google Scholar] [CrossRef]
- Tolman, R. The Effect of Droplet Size on Surface Tension. J. Chem. Phys. 1949, 17, 333–337. [Google Scholar] [CrossRef]
- Schmelzer, J.W.P.; Abyzov, A.S. Crystallization of glass-forming liquids: Thermodynamic driving force. J. NonCryst. Solids 2016, 449, 41–49. [Google Scholar] [CrossRef]
- Schmelzer, J.W.P.; Abyzov, A.S. Crystallization of glass-forming liquids: Specific surface energy. J. Chem. Phys. 2016, 145, 064512. [Google Scholar] [CrossRef]
- Abyzov, A.S.; Schmelzer, J.W.P.; Fokin, V.M.; Zanotto, E.D. Crystallization of supercooled liquids: Self-consistency correction of the steady-state nucleation rate. Entropy 2020, 22, 558. [Google Scholar] [CrossRef]
- Fokin, V.M.; Kalinina, A.M.; Filipovich, V.N. Nucleation in silicate glasses and effect of preliminary heat treatment on it. J. Cryst. Growth 1981, 52, 115–121. [Google Scholar] [CrossRef]
- Fokin, V.M. Investigation of Stationary and Non-Stationary Crystal Nucleation Rates in Model Glasses of Stoichiometric Composition Li2O·2SiO2 and 2Na20·CaO·3SiO2. Ph.D. Thesis, Grebenshchikov Institute of Silicate Chemistry of the Russian Academy of Sciences, Leningrad, Russia, 1980. [Google Scholar]
- Sycheva, G.A. Evolution of the surface energy at the crystal-glass interface in sodium silicate glass 46Na2O·54SiO2. Glass Phys. Chem. 1998, 24, 47–53. [Google Scholar]
- Sycheva, G.A. Surface energy at the crystal nucleus-glass interface in alkali silicate glasses. Glass Phys. Chem. 1998, 24, 342–347. [Google Scholar]
- Sycheva, G.A. Determination of the size of the critical nucleus of crystals in lithium and sodium silicate glass. Glass Phys. Chem. 2015, 41, 302–306. [Google Scholar] [CrossRef]
- Abyzov, A.S.; Fokin, V.M.; Rodrigues, A.M.; Zanotto, E.D.; Schmelzer, J.W.P. The effect of elastic stresses on the thermodynamic barrier for crystal nucleation. J. NonCryst. Solids 2016, 432, 325–333. [Google Scholar] [CrossRef]
- Gutzow, I.S.; Schmelzer, J.W.P. The Vitreous State: Thermodynamics, Structure, Rheology, and Crystallization, 1st ed.; Springer: Berlin, Germany, 1995. [Google Scholar]
- Gutzow, I.S.; Schmelzer, J.W.P. The Vitreous State: Thermodynamics, Structure, Rheology, and Crystallization, 2nd ed.; Springer: Heidelberg, Germany, 2013. [Google Scholar]
- Schmelzer, J.W.P.; Müller, R.; Möller, J.; Gutzow, I.S. Elastic Stresses, Stress Relaxation, and Crystallization: Theory. Phys. Chem. Glas. 2002, 43, 291–298. [Google Scholar]
- Schmelzer, J.W.P.; Müller, R.; Möller, J.; Gutzow, I.S. Theory of Nucleation in Viscoelastic Media: Application to Phase Formation in Glassforming Melts. J. NonCryst. Solids 2003, 315, 144–160. [Google Scholar] [CrossRef]
- Schmelzer, J.W.P.; Potapov, O.V.; Fokin, V.M.; Müller, R.; Reinsch, S. The Effect of Elastic Stress Evolution and Relaxation on Crystal Nucleation in Lithium Disilicate Glasses. J. NonCryst. Solids 2004, 333, 150–160. [Google Scholar] [CrossRef]
- Fokin, V.M.; Zanotto, E.D.; Schmelzer, J.W.P.; Potapov, O.V. New Insights on the Thermodynamic Barrier for Nucleation in Lithium Disilicate Glass. J. NonCryst. Solids 2005, 351, 1491–1499. [Google Scholar] [CrossRef]
- Schmelzer, J.W.P.; Schick, C. General concepts of crystallization: Some recent results and possible future developments. In Crystallization as Studied by Broadband Dielectric Spectroscopy; Advances in Dielectrics Series; Kremer, F., Ezquerra, T.A., Nogales, A., Eds.; Springer Nature: Cham, Switzerland, 2020. [Google Scholar]
- Fokin, V.M.; Abyzov, A.S.; Zanotto, E.D.; Cassar, D.R.; Rodrigues, A.M.; Schmelzer, J.W.P. Crystal nucleation in glass-forming liquids: Variation of the size of the “structural units” with temperature. J. NonCryst. Solids 2016, 447, 35–44. [Google Scholar] [CrossRef]
- Abyzov, A.S.; Fokin, V.M.; Yuritsyn, N.S.; Rodrigues, A.M.; Schmelzer, J.W.P. The effect of heterogeneous structure of glass-forming liquids on crystal nucleation. J. NonCryst. Solids 2017, 462, 32–40. [Google Scholar] [CrossRef]
- Zhang, R.; Zhuravlev, E.; Schmelzer, J.W.P.; Androsch, R.; Schick, C. Steady-State Crystal Nucleation Rate of Polyamide 66 by Combining Atomic Force Microscopy and Fast-Scanning Chip Calorimetry. Macromolecules 2020, 53, 5560–5571. [Google Scholar] [CrossRef]
- Fokin, V.M.; Zanotto, E.D.; Yuritsyn, N.S.; Schmelzer, J.W.P. Homogeneous Crystal Nucleation in Silicate Glasses: A Forty Years Perspective. J. NonCryst. Solids 2016, 352, 2681–2714. [Google Scholar] [CrossRef]
- Schmelzer, J.W.P.; Fokin, V.M.; Abyzov, A.S.; Zanotto, E.D.; Gutzow, I. How Do Crystals Form and Grow in Glass-Forming Liquids: Ostwald’s Rule of Stages and Beyond. Int. J. Appl. Glass Sci. 2010, 1, 16–26. [Google Scholar] [CrossRef]
- Schmelzer, J.W.P.; Abyzov, A.S. Comments on the thermodynamic analysis of nucleation in confined space. J. NonCryst. Solids 2014, 384, 2–7. [Google Scholar] [CrossRef]
- Johari, G.P.; Schmelzer, J.W.P. Crystal Nucleation and Growth in Glass-forming Systems: Some New Results and Open Problems. In Glass: Selected Properties and Crystallization; Schmelzer, J.W.P., Ed.; De Gruyter: Berlin, Germany, 2014; pp. 521–585. [Google Scholar]
- Schmelzer, J.W.P.; Abyzov, A.S.; Fokin, V.M. Crystallization of glass: What we know, what we need to know. Int. J. Appl. Glass Sci. 2016, 7, 253–261. [Google Scholar] [CrossRef]
- Schmelzer, J.W.P.; Abyzov, A.S. Crystallization of glass-forming melts: New answers to old questions. J. NonCryst. Solids 2018, 501, 11–20. [Google Scholar] [CrossRef]
- Schmelzer, J.W.P.; Abyzov, A.S. How do crystals nucleate and grow: Ostwald’s rule of stages and beyond. In Thermal Physics and Thermal Analysis: From Macro to Micro Highlighting Thermodynamics, Kinetics, and NANO-Materials; Sestak, J., Hubik, P., Mares, J.J., Eds.; Springer: Cham, Switzerland, 2017; pp. 195–211. ISBN 9789048131495. [Google Scholar]
- Schmelzer, J.W.P.; Schick, C. Dependence of Crystallization Processes of Glass-forming Melts on Prehistory: A Theoretical Approach to a Quantitative Treatment, Physics and Chemistry of Glasses. Eur. J. Glass Sci. Technol. 2012, 53, 99–106. [Google Scholar]
- Fokin, V.M.; Abyzov, A.S.; Yuritsyn, N.S.; Schmelzer, J.W.P.; Zanotto, E.D. Effect of Structural Relaxation on Crystal Nucleation in Glasses. Acta Mater. 2020. submitted for publication. [Google Scholar]
- Cassar, D.R.; Serra, A.H.; Peitl, O.; Zanotto, E.D. Critical assessment of the alleged failure of the Classical Nucleation Theory at low temperatures. J. NonCryst. Solids 2020, 547, 120297. [Google Scholar] [CrossRef]
- Xia, X.; van Hoesen, D.C.; McKenzie, M.E.; Youngman, R.E.; Kelton, K.F. The Low-Temperature Nucleation Rate Anomaly in Silicate Glasses is an Artifact. arXiv 2020, arXiv:2005.04845. [Google Scholar]
- Kelton, K.F.; Greer, A.L. Nucleation in Condensed Matter: Applications in Materials and Biology; Pergamon: Amsterdam, The Netherlands, 2010. [Google Scholar]
- Angell, C.A.; MacFarlane, D.R.; Oguni, M. The Kauzmann Paradox, Metastable Liquids, and Glasses: A Summary. Ann. N. Y. Acad. Sci. 1986, 484, 241–247. [Google Scholar] [CrossRef]
- Schick, C.; Zhuravlev, E.; Androsch, R.; Wurm, A.; Schmelzer, J.W.P. Influence of Thermal Prehistory on Crystal Nucleation and Growth in Polymers. In Glass: Selected Properties and Crystallization; Schmelzer, J.W.P., Ed.; De Gruyter: Berlin, Germany, 2014; pp. 1–93. [Google Scholar]
- Androsch, R.; Schick, C.; Schmelzer, J.W.P. Sequence of enthalpy relaxation, homogeneous nucleation, and crystal growth in glassy Polyamide 6. Eur. Polym. J. 2014, 53, 100–108. [Google Scholar] [CrossRef]
- Schick, C.; Androsch, R.; Schmelzer, J.W.P. Topical Review: Homogeneous crystal nucleation in polymers. J. Phys. Condens. Matter 2017, 29, 453002. [Google Scholar] [CrossRef]
- Androsch, R.; Zhuravlev, E.; Schmelzer, J.W.P.; Schick, C. Relaxation and crystal nucleation in polymer glasses. Eur. Polym. J. 2018, 102, 195–208. [Google Scholar] [CrossRef]
- Zanotto, E.D.; Cassar, D.R. The race within supercooled liquids: Relaxation versus crystallization. J. Chem. Phys. 2018, 149, 024503. [Google Scholar] [CrossRef]
- Schmelzer, J.W.P.; Abyzov, A.S.; Fokin, V.M.; Schick, C. Kauzmann paradox and the crystallization of glass-forming melts. J. NonCryst. Solids 2018, 501, 21–35. [Google Scholar] [CrossRef]
- Schmelzer, J.W.P.; Tropin, T.V. Glass transition, crystallization of glass-forming melts, and entropy. Entropy 2018, 20, 103. [Google Scholar] [CrossRef]
- Schmelzer, J.W.P.; Tropin, T.V. Reply to “Comment on ‘Glass Transition, Crystallization of Glass-Forming Melts, and Entropy”’ by Zanotto and Mauro. Entropy 2018, 20, 704. [Google Scholar] [CrossRef]
- Paladi, F.; Oguni, M. Anomalous generation and extinction of crystal nuclei in nonequilibrium supercooled liquid o-benzylphenol. Phys. Rev. 2002, 65, 144202. [Google Scholar] [CrossRef]
- Paladi, F.; Gamurai, V.J.; Oguni, M. Effect of annealing in glass-transition region on anomalous generation and extinction of crystal nuclei at very low temperatures in o-benzylphenol and salol. Mold. J. Phys. Sci. 2002, 1, 64–68. [Google Scholar]
- Paladi, F.; Oguni, M. Generation and extinction of crystal nuclei in an extremely non-equilibrium glassy state of salol. J. Phys. Condens. Matter 2003, 15, 2909–3917. [Google Scholar] [CrossRef]
- Vyazovkin, S.; Dranca, I. Physical Stability and Relaxation of Amorphous Indomethacin. J. Phys. Chem. 2005, 109, 18637–18644. [Google Scholar] [CrossRef]
- Vyazovkin, S.; Dranca, I. Effect of Physical Aging on Nucleation of Amorphous Indomethacin. J. Phys. Chem. 2007, 111, 7283–7287. [Google Scholar] [CrossRef]
- Wrana, C.; Schawe, J.E.K. Isothermal crystallization of cis-1.4-polybutadiene at low temperatures. Thermochim. Acta 2020, 690, 178669. [Google Scholar] [CrossRef]
- Schawe, J.E.K.; Wrana, C. Competition between Structural Relaxation and Crystallization in the Glass Transition Range of Random Copolymers. Polymers 2020, 12, 1778. [Google Scholar] [CrossRef]
- Zhuravlev, E.; Schmelzer, J.W.P.; Wunderlich, B.; Schick, C. Kinetics of Nucleation and Crystallization in Poly(ε-Caprolactone) (PCL). Polymer 2011, 52, 1983–1997. [Google Scholar] [CrossRef]
- Sangroniz, L.; Cavallo, D.; Müller, A.J. Self-Nucleation Effects on Polymer Crystallization. Macromolecules 2020, 53, 4581–4604. [Google Scholar] [CrossRef]
- Sangroniz, L.; Cavallo, D.; Müller, A.J. Chemical Structure Drives Memory Effects in the Crystallization of Homopolymers. Macromolecules 2020, 53, 4874–4881. [Google Scholar] [CrossRef]
- Sommer, J.U.; Reiter, G. Polymer Crystallization-Observations, Concepts, and Interpretations; Springer: Berlin/Heidelberg, Germany; New York, NY, USA; Barcelona, Spain; Hong Kong, China; London, UK; Milan, Italy; Paris, France; Singapore; Tokyo, Japan, 2003. [Google Scholar]
- Reiter, G. The memorizing capacity of polymers. J. Chem. Phys. 2020, 152, 150901. [Google Scholar] [CrossRef]
- Djikaev, Y.S.; Ruckenstein, E. Effect of chemical aging of aqueous organic aerosols on the rate of their steady-state nucleation. Phys. Chem. Chem. Phys. 2020, in press. [Google Scholar] [CrossRef]
- Schmelzer, J.W.P. Kinetic Criteria of Glass-Formation and the Pressure Dependence of the Glass Transition Temperature. J. Chem. Phys. 2012, 136, 074512. [Google Scholar] [CrossRef]
- Zanotto, E.D.; Mauro, J.C. Comment on “Glass Transition, Crystallization of Glass-Forming Melts, and Entropy”. Entropy 2018, 20, 703. [Google Scholar] [CrossRef]
- Tropin, T.V.; Schmelzer, J.W.P.; Aksenov, V.L. Modern aspects of the kinetic theory of vitrification. Physics-Uspekhi (Uspekhi Fiz. Nauk.) 2016, 59, 42–66. [Google Scholar] [CrossRef]
- Schmelzer, J.W.P.; Gutzow, I. Structural order parameters, the Prigogine-Defay ratio, and the behavior of the entropy in vitrification. J. NonCryst. Solids 2009, 355, 653–662. [Google Scholar] [CrossRef]
- Tropin, T.V.; Schmelzer, J.W.P.; Schick, C. On the Dependence of the Properties of Glasses on Cooling and Heating Rates: I. Entropy, Entropy Production, and Glass Transition Temperature. J. NonCryst. Solids 2011, 357, 1291–1302. [Google Scholar] [CrossRef]
- Tropin, T.V.; Schmelzer, J.W.P.; Schick, C. On the Dependence of the Properties of Glasses on Cooling and Heating Rates: II. Prigogine-Defay Ratio, Fictive Temperature and Fictive Pressure. J. NonCryst. Solids 2011, 357, 1303–1309. [Google Scholar] [CrossRef]
- Johari, G.P. Configurational and residual entropies of nonergodic crystals and the entropy’s behavior on glass formation. J. Chem. Phys. 2010, 132, 124509. [Google Scholar] [CrossRef]
- Schmelzer, J.W.P.; Gutzow, I.S. Glasses and the Glass Transition; WILEY-VCH: Berlin/Weinheim, Germany, 2011. [Google Scholar]
- Tammann, G. Der Glaszustand (English: The Vitreous State); Leopold Voss Verlag: Leipzig, Germany, 1933. [Google Scholar]
- Kauzmann, W. The nature of the glassy state and the behavior of liquids at low temperatures. Chem. Rev. 1948, 43, 219–256. [Google Scholar] [CrossRef]
- Schmelzer, J.W.P.; Abyzov, A.S.; Fokin, V.M.; Schick, C.; Zanotto, E.D. Crystallization in glass-forming liquids: Maxima of nucleation, growth, and overall crystallization rates. J. NonCryst. Solids 2015, 429, 24–32. [Google Scholar] [CrossRef]
- Gutzow, I.; Yamakov, V.; Ilieva, D.; Babalevski, F.; Pye, L.D. Generic phenomenological theory of vitrification. Glass Phys. Chem. 2001, 27, 148–159. [Google Scholar] [CrossRef]
- Gutzow, I.; Grigorova, T.; Avramov, I.; Schmelzer, J.W.P. Generic phenomenology of vitrification and relaxation and the Kohlrausch and Maxwell equations. Phys. Chem. Glas. 2002, 43, 477–486. [Google Scholar]
- Möller, J.; Gutzow, I.; Schmelzer, J.W.P. Freezing-In and Production of Entropy in Vitrification. J. Chem. Phys. 2016, 125, 094505. [Google Scholar]
- Gutzow, I.; Schmelzer, J.W.P.; Todorova, S. Frozen-In Fluctuations, Immiscibility and Crystallization in Oxide Melts and the Structural and Thermodynamic Nature of Glasses. Phys. Chem. Glas. Eur. J. Glass Sci. Technol. 2008, 49, 136–148. [Google Scholar]
- Fokin, V.M.; Zanotto, E.D.; Schmelzer, J.W.P. Homogeneous Nucleation versus Glass Transition Temperature. J. NonCryst. Solids 2003, 321, 52–65. [Google Scholar] [CrossRef]
- Schmelzer, J.W.P.; Abyzov, A.S.; Fokin, V.M.; Schick, C.; Zanotto, E.D. Crystallization in glass-forming liquids: Effects of fragility and glass transition temperature. J. NonCryst. Solids 2015, 428, 68–74. [Google Scholar] [CrossRef]
- Goldstein, M. Viscous Liquids and the Glass Transition: A Potential Energy Barrier Picture. J. Chem. Phys. 1969, 51, 3728–3739. [Google Scholar] [CrossRef]
- Schmelzer, J.W.P. Application of the Nucleation Theorem to Crystallization of Liquids: Some General Theoretical Results. Entropy 2019, 21, 1147. [Google Scholar] [CrossRef]
- Landau, L.D.; Lifshitz, E.M. Statistical Physics; Butterworth-Heinemann: Oxford, UK, 1980. [Google Scholar]
- Kubo, R. Thermodynamics; North-Holland Publishing Company: Amsterdam, The Netherlands, 1968. [Google Scholar]
- Skripov, V.P. Metastable Liquids; Nauka: Moscow, Russia, 1972. (In Russian) [Google Scholar]
- Skripov, V.P. Metastable Liquids; Wiley: New York, NY, USA, 1974. [Google Scholar]
- Skripov, V.P.; Koverda, V.P. Spontaneous Crystallization of Undercooled Liquids; Nauka: Moscow, Russia, 1984. (In Russian) [Google Scholar]
- Skripov, V.P.; Faizullin, M.Z. Solid-Liquid-Gas Phase Transitions and Thermodynamic Similarity; WILEY-VCH: Berlin/Weinheim, Germany, 2006. [Google Scholar]
- Schmelzer, J.W.P.; Abyzov, A.S.; Baidakov, V.G. Time of formation of the first supercritical nucleus, time-lag, and the steady-state nucleation rate. Int. J. Appl. Glass Sci. 2017, 8, 48–60. [Google Scholar] [CrossRef]
- Slezov, V.V. Kinetics of First-Order Phase Transitions; Wiley-VCH: Berlin/Weinheim, Germany, 2009. [Google Scholar]
- Nemilov, S.V. The Results of Application of Maxwell’s Equation in Glass Science. Glass Phys. Chem. 2014, 40, 473–485. [Google Scholar] [CrossRef]
- Schmelzer, J.W.P.; Tropin, T.V. Kinetic criteria of glass-formation, pressure dependence of the glass-transition temperature, and the Prigogine-Defay ratio. J. NonCryst. Solids 2015, 407, 170–178. [Google Scholar] [CrossRef]
- Zanotto, E.D.; Fokin, V.M. Recent studies of internal and surface nucleation in silicate glasses. Philos. Trans. R. Soc. Lond. 2003, A361, 591–613. [Google Scholar] [CrossRef]
- Ngai, K.L. Relaxation and Diffusion in Complex Systems; Springer: Heidelberg, Germany, 2011. [Google Scholar]
- Schmelzer, J.W.P.; Abyzov, A.S.; Fokin, V.M.; Schick, C.; Zanotto, E.D. Crystallization in glass-forming liquids: Effects of decoupling of diffusion and viscosity on crystal growth. J. NonCryst. Solids 2015, 429, 45–53. [Google Scholar] [CrossRef]
- Rössler, E. Indications for a change of diffusion mechanism in supercooled liquids. Phys. Rev. Lett. 1990, 65, 1595–1598. [Google Scholar] [CrossRef]
- Frenkel, Y.I. The Kinetic Theory of Liquids; Oxford University Press: Oxford, UK, 1946. [Google Scholar]
- Gao, M.; Perepezko, J.H. Separating β-relaxation from α-relaxation in fragile metallic glasses based on ultrafast flash differential scanning calorimetry. Phys. Rev. Mater. 2020, 4, 025602. [Google Scholar] [CrossRef]
- Allen, M.P.; Tildesley, D.J. Computer Simulation of Liquids; Oxford University Press: Oxford, UK, 1987. [Google Scholar]
- Johari, G.P. Decrease in heat capacity and enthalpy of an aging glass—A conflict with standard procedure for determining enthalpy loss and fictive temperature. Thermochim. Acta 2020, 693, 178715. [Google Scholar] [CrossRef]
- Okamoto, N.; Oguni, M. Discovery of crystal nucleation proceeding much below the glass transition temperature. Solid State Commun. 1996, 99, 53–56. [Google Scholar] [CrossRef]
- Schmelzer, J.W.P.; Pascova, R.; Möller, J.; Gutzow, I. Surface Induced Devitrification of Glasses: The Influence of Elastic Strains. J. NonCryst. Solids 1993, 162, 26–39. [Google Scholar] [CrossRef]
- Schmelzer, J.W.P.; Möller, J.; Gutzow, I.; Pascova, R.; Müller, R.; Pannhorst, W. Surface-energy and Structure Effects on Surface Crystallization. J. NonCryst. Solids 1995, 183, 215–233. [Google Scholar] [CrossRef]
- Möller, J.; Schmelzer, J.W.P.; Avramov, I. Kinetics of Segregation and Crystallization with Stress Development and Stress Relaxation. Phys. Stat. Sol. 1996, 196, 49–62. [Google Scholar] [CrossRef]
- Schmelzer, J.W.P.; Zanotto, E.D.; Avramov, I.; Fokin, V.M. Stress development and relaxation during crystal growth in glass-forming liquids. J. NonCryst. Solids 2016, 352, 434–443. [Google Scholar] [CrossRef]
- Nemilov, S.V.; Johari, G.P. A mechanism for spontaneous relaxation of glass at room temperature. Philos. Mag. 2003, 83, 3117–3132. [Google Scholar] [CrossRef]
- Johari, G.P. Calorimetric features of release of plastic deformation induced internal stresses, and approach to equilibrium state on annealing of crystals and glasses. Thermochim. Acta 2014, 581, 14–25. [Google Scholar] [CrossRef]
- Zeldovich, Y.B. On the Theory of New Phase Formation: Cavitation. Sov. Phys. JETP 1942, 12, 525–538. [Google Scholar]
- Gutzow, I.; Schmelzer, J.W.P.; Dobreva, A. Kinetics of Transient Nucleation in Glass-Forming Liquids: A Retrospective and Recent Results. J. NonCryst. Solids 1997, 219, 1–16. [Google Scholar] [CrossRef]
- Johari, G.P.; Khouri, J. Non-exponential nature of calorimetric and other relaxations: Effects of 2 nm-size solutes, loss of translational diffusion, isomer specificity, and sample size. J. Chem. Phys. 2013, 138, 12A511. [Google Scholar] [CrossRef]
- Davies, R.O.; Jones, G.O. Thermodynamic and kinetic properties of glasses. Adv. Phys. 1953, 2, 370–410. [Google Scholar] [CrossRef]
- Yuritsyn, N.S. Influence of preformed nuclei on crystal nucleation kinetics in soda-lime-silica glass. J. NonCryst. Solids 2015, 427, 139–145. [Google Scholar] [CrossRef]
- Yuritsyn, N.S. Crystal Nucleation in Soda-Lime-Silica Glass at Temperatures below the Glass Transition Temperature. Glass Phys. Chem. 2020, 46, 120–126. [Google Scholar] [CrossRef]

















© 2020 by the authors. Licensee MDPI, Basel, Switzerland. This article is an open access article distributed under the terms and conditions of the Creative Commons Attribution (CC BY) license (http://creativecommons.org/licenses/by/4.0/).
Share and Cite
Schmelzer, J.W.P.; Tropin, T.V.; Fokin, V.M.; Abyzov, A.S.; Zanotto, E.D. Effects of Glass Transition and Structural Relaxation on Crystal Nucleation: Theoretical Description and Model Analysis. Entropy 2020, 22, 1098. https://doi.org/10.3390/e22101098
Schmelzer JWP, Tropin TV, Fokin VM, Abyzov AS, Zanotto ED. Effects of Glass Transition and Structural Relaxation on Crystal Nucleation: Theoretical Description and Model Analysis. Entropy. 2020; 22(10):1098. https://doi.org/10.3390/e22101098
Chicago/Turabian StyleSchmelzer, Jürn W. P., Timur V. Tropin, Vladimir M. Fokin, Alexander S. Abyzov, and Edgar D. Zanotto. 2020. "Effects of Glass Transition and Structural Relaxation on Crystal Nucleation: Theoretical Description and Model Analysis" Entropy 22, no. 10: 1098. https://doi.org/10.3390/e22101098
APA StyleSchmelzer, J. W. P., Tropin, T. V., Fokin, V. M., Abyzov, A. S., & Zanotto, E. D. (2020). Effects of Glass Transition and Structural Relaxation on Crystal Nucleation: Theoretical Description and Model Analysis. Entropy, 22(10), 1098. https://doi.org/10.3390/e22101098

