Beyond the State of the Art: Novel Approaches for Thermal and Electrical Transport in Nanoscale Devices
Abstract
1. Introduction
2. Static Approaches: Semiclassical and Quantum Transport Approaches
2.1. Semiclassical Boltzmann Transport
2.2. Landauer–Buttiker and Quantum Transport
- The original static DFT is in principle limited to provide the ground-state density and energy and nothing about the excited states of a system. Whatever result one extracts from the theory for example on the band-gap, band structure (and related quantities) should then be checked with independent methods and with experiments. It is well known for example that DFT with its standard approximation tends to underestimate the band-gap of many materials.
- Although the use of the NEGF greatly extends the applicability of the theory, the approximations behind the standard DFT codes makes the results not suitable for strong correlated materials where the effect of the Coulomb interaction is stronger. We will come back on this point later.
- Even if the description of the excited states happened to be accurate, the electron and heat current are dynamical quantities so in principle beyond the static approach of DFT. There are methods to go beyond this limit while remaining in the realm of a time-independent formalism. “Dynamical corrections” need to be included in the theory to take dynamics into account [45,46].
3. Advanced Methods
3.1. Time-Dependent Density Functional Theory
3.1.1. Time-Dependent Density Functional Theory—Fundamentals
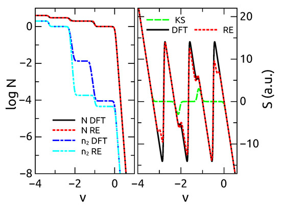
3.2. Strongly Correlated System
3.3. Open-Quantum Systems
- (1)
- They are usually unaffected by the coupling with the systems. This means that the macroscopic parameters that describe the environment are not modified by the coupling with the system. This holds (partially) true if the environment is thought of as made of infinitely many degrees of freedom.
- (2)
- The external parameters are controllable in time, and due to the previous assumption, there is no-feedback between the environment and the system. For example, this implies that the establishment of an electrical current between two reservoirs at different chemical potentials through a molecular junction does not change the electrochemical potential, the temperature, or charge distribution in the reservoirs.
3.4. Influence of Decoherence onto Thermoelectrical Transport
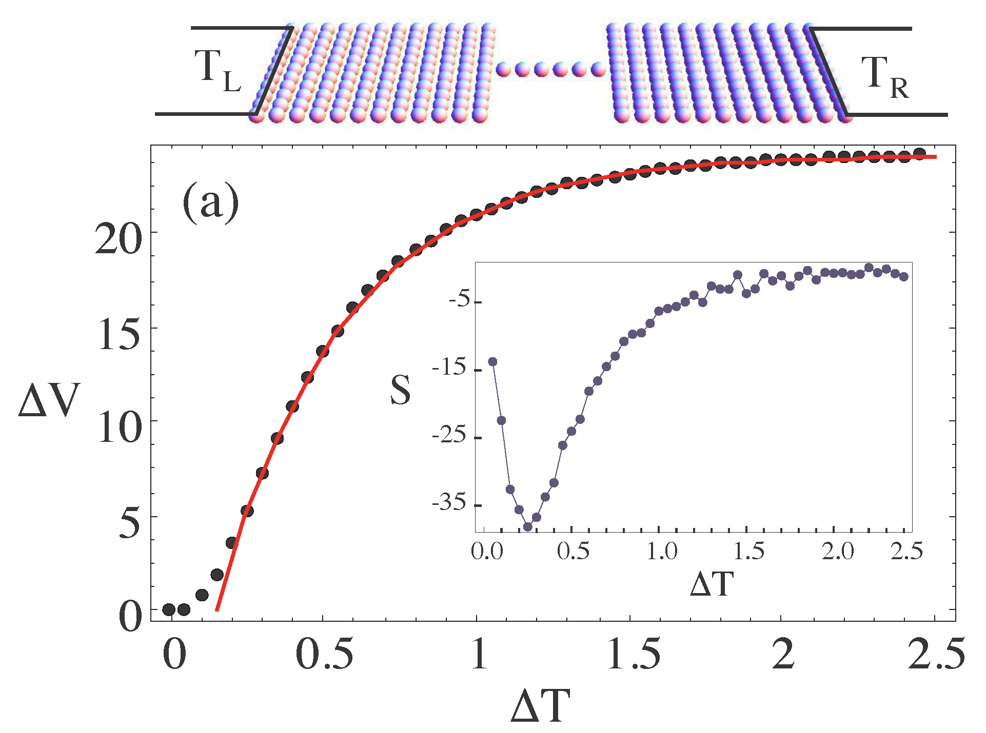
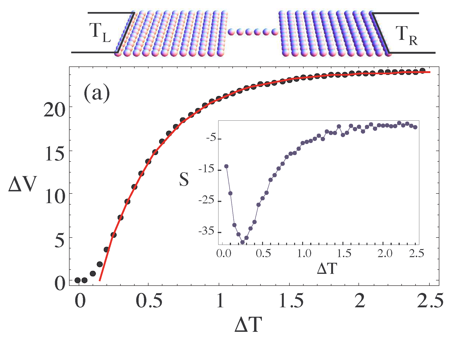
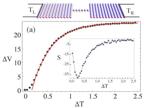
3.5. Time-Dependent Thermal Transport Theory
4. Discussion
Author Contributions
Funding
Conflicts of Interest
Abbreviations
| ALDA | Adiabatic Local Density Approximation |
| BTE | Boltzmann Transport Equation |
| LBTE | Linearized Boltzmann Transport Equation |
| CRTA | Constant Relaxation Time Approximation |
| DFT | Density Functional Theory |
| EPA | Electron–Phonon Averaged approximation |
| KS | Kohn–Sham |
| LB | Landauer–Büttiker |
| NEGF | Non-Equilibrium Green Function |
| RG | Runge–Gross |
| TDDFT | Time-Dependent Density Functional Theory |
| TDCDFT | Time-Dependent Current-Density Functional Theory |
| OQS | Open-Quantum Systems |
| SERTA | Self-Energy Relaxation Time Approximation |
| EPW | Electron–Phonon Wannier |
References
- Di Ventra, M. Electrical Transport in Nanoscale Systems; Cambridge University Press: New York, NY, USA, 2008. [Google Scholar]
- Datta, S. Electronic Transport in Mesoscopic Systems; Cambridge University Press: New York, NY, USA, 1997. [Google Scholar]
- Datta, S. Quantum Transport: Atom to Transport; Cambridge University Press: New York, NY, USA, 2005. [Google Scholar]
- Cuniberti, G.; Fagas, G.; Richter, K. (Eds.) Introducing Molecular Electronics; Springer: New York, NY, USA, 2005. [Google Scholar]
- Holt, N.E.; Zigmantas, D.; Valkunas, L.; Li, X.P.; Niyogi, K.; Fleming, G.R. Carotenoid Cation Formation and the Regulation of Photosynthetic Light Harvesting. Science 2005, 307, 433–436. [Google Scholar] [CrossRef] [PubMed]
- Liguori, N.; Xu, P.; van Stokkum, I.H.; van Oort, B.; Lu, Y.; Karcher, D.; Bock, R.; Croce, R. Different carotenoid conformations have distinct functions in light-harvesting regulation in plants. Nat. Commun. 2017, 8, 1994. [Google Scholar] [CrossRef]
- Beenakker, C.W.J. Theory of Coulomb-blockade oscillations in the conductance of a quantum dot. Phys. Rev. B 1991, 44, 1646–1656. [Google Scholar] [CrossRef] [PubMed]
- Boltzmann, L. Weitere Studien über das Wärmegleichgewicht unter Gasmolekülen. Weitere Stud. über Das Wärmegleichgewicht Unter Gasmolekülen, Wien. Berichte 1872, 66, 275–370. (In German) [Google Scholar]
- Lundstrom, M. Fundamentals of Carrier Transport; Cambridge University Press: Cambridge, UK, 2000. [Google Scholar] [CrossRef]
- Ziman, J.M. Principles of the Theory of Solids; Cambridge University Press: Cambridge, UK, 1972. [Google Scholar] [CrossRef]
- Mahan, G. Many-Particle Physics; Springer Science & Business Media: Berlin/Heidelberg, Germany, 1981. [Google Scholar]
- Poncé, S.; Margine, E.R.; Giustino, F. Towards predictive many-body calculations of phonon-limited carrier mobilities in semiconductors. Phys. Rev. B 2018, 97, 121201. [Google Scholar] [CrossRef]
- Giustino, F. Electron-phonon interactions from first principles. Rev. Mod. Phys. 2017, 89, 015003. [Google Scholar] [CrossRef]
- Singh, D.J.; Mazin, I.I. Calculated thermoelectric properties of La-filled skutterudites. Phys. Rev. B 1997, 56, R1650–R1653. [Google Scholar] [CrossRef]
- Baroni, S.; de Gironcoli, S.; Dal Corso, A. Phonons and related crystal properties from density-functional perturbation theory. Rev. Mod. Phys. 2001, 73, 515–562. [Google Scholar] [CrossRef]
- Noffsinger, J.; Giustino, F.; Malone, B.D.; Park, C.H.; Louie, S.G.; Cohen, M.L. EPW: A program for calculating the electron–phonon coupling using maximally localized Wannier functions. Comput. Phys. Commun. 2010, 181, 2140–2148. [Google Scholar] [CrossRef]
- Ahmad, S.; Mahanti, S.D. Energy and temperature dependence of relaxation time and Wiedemann-Franz law on PbTe. Phys. Rev. B 2010, 81, 165203. [Google Scholar] [CrossRef]
- Kaasbjerg, K.; Thygesen, K.S.; Jacobsen, K.W. Phonon-limited mobility in n-type single-layer MoS2 from first principles. Phys. Rev. B 2012, 85, 115317. [Google Scholar] [CrossRef]
- Murphy-Armando, F.; Fahy, S. First-principles calculation of carrier-phonon scattering in n-type Si1−xGex alloys. Phys. Rev. B 2008, 78, 035202. [Google Scholar] [CrossRef]
- Murphy-Armando, F.; Fagas, G.; Greer, J.C. Deformation Potentials and Electron-Phonon Coupling in Silicon Nanowires. Nano Lett. 2010, 10, 869–873. [Google Scholar] [CrossRef] [PubMed]
- Xu, B.; Verstraete, M.J. First principles explanation of the positive seebeck coefficient of lithium. Phys. Rev. Lett. 2014, 112, 196603. [Google Scholar] [CrossRef] [PubMed]
- Savrasov, S.Y.; Savrasov, D.Y. Electron-phonon interactions and related physical properties of metals from linear-response theory. Phys. Rev. B 1996, 54, 16487–16501. [Google Scholar] [CrossRef] [PubMed]
- Samsonidze, G.; Kozinsky, B. Accelerated Screening of Thermoelectric Materials by First-Principles Computations of Electron-Phonon Scattering. Adv. Energy Mater. 2018, 8, 1800246. [Google Scholar] [CrossRef]
- Giannozzi, P.; Baroni, S.; Bonini, N.; Calandra, M.; Car, R.; Cavazzoni, C.; Ceresoli, D.; Chiarotti, G.L.; Cococcioni, M.; Dabo, I.; et al. QUANTUM ESPRESSO: A modular and open-source software project for quantum simulations of materials. J. Phys. Condens. Matter 2009, 21, 395502. [Google Scholar] [CrossRef]
- Madsen, G.K.; Singh, D.J. BoltzTraP. A code for calculating band-structure dependent quantities. Comput. Phys. Commun. 2006, 175, 67–71. [Google Scholar] [CrossRef]
- Landauer, R. Spatial variation of currents and fields due to localized scatterers in metallic conduction. IBM J. Res. Dev. 1957, 1, 223–231. [Google Scholar] [CrossRef]
- Büttiker, M.; Imry, Y.; Landauer, R.; Pinhas, S. Generalized many-channel conductance formula with application to small rings. Phys. Rev. B 1985, 31, 6207. [Google Scholar] [CrossRef]
- Büttiker, M. Four-Terminal Phase-Coherent Conductance. Phys. Rev. Lett. 1986, 57, 1761. [Google Scholar] [CrossRef] [PubMed]
- Ryndyk, D. Theory of Quantum Transport at Nanoscale; Springer Series in Solid-State Sciences; Springer International Publishing: Cham, Switzerland, 2016; Volume 184. [Google Scholar] [CrossRef]
- Klitzing, K.V.; Dorda, G.; Pepper, M. New method for high-accuracy determination of the fine-structure constant based on quantized hall resistance. Phys. Rev. Lett. 1980, 45, 494. [Google Scholar] [CrossRef]
- Tsui, D.C.; Stormer, H.L.; Gossard, A.C. Two-dimensional magnetotransport in the extreme quantum limit. Phys. Rev. Lett. 1982, 48, 1559. [Google Scholar] [CrossRef]
- Wharam, D.A.; Thornton, T.J.; Newbury, R.; Pepper, M.; Ahmed, H.; Frost, J.; Hasko, D.; Peacock, D.; Ritchie, D.; Jones, G. One-dimensional transport and the quantisation of the ballistic resistance. J. Phys. C Solid State Phys. 1988, 21, L209. [Google Scholar] [CrossRef]
- Van Wees, B.J.; van Houten, H.; Beenakker, C.W.J.; Williamson, J.G.; Kouwenhoven, L.P.; van der Marel, D.; Foxon, C.T. Quantized conductance of point contacts in a two-dimensional electron gas. Phys. Rev. Lett. 1988, 60, 848–850. [Google Scholar] [CrossRef] [PubMed]
- Van Wees, B.J.; Kouwenhoven, L.P.; Willems, E.M.M.; Harmans, C.J.P.M.; Mooij, J.E.; van Houten, H.; Beenakker, C.W.J.; Williamson, J.G.; Foxon, C.T. Quantum ballistic and adiabatic electron transport studied with quantum point contacts. Phys. Rev. B 1991, 43, 12431–12453. [Google Scholar] [CrossRef] [PubMed]
- Onsager, L. Reciprocal Relations in Irreversible Processes. Phys. Rev. 1931, 37, 405. [Google Scholar] [CrossRef]
- Rego, L.G.C.; Kirczenow, G. Quantized Thermal Conductance of Dielectric Quantum Wires. Phys. Rev. Lett. 1998, 81, 232–235. [Google Scholar] [CrossRef]
- Schwab, K.; Henriksen, E.A.; Worlock, J.M.; Roukes, M.L. Measurement of the quantum of thermal conductance. Nature 2000, 404, 974–977. [Google Scholar] [CrossRef]
- Stefanucci, G.; van Leeuwen, R. Non-Equilibrium Many-Body Theory of Quantum Systems; Cambridge University Press: New York, NY, USA, 2013. [Google Scholar]
- Kohn, W.; Sham, L.J. Self-Consistent Equations Including Exchange and Correlation Effects. Phys. Rev. 1965, 140, A1133. [Google Scholar] [CrossRef]
- Giuliani, G.F.; Vignale, G. Quantum Theory of the Electron Liquid; Cambridge University Press: Cambridge, UK, 2005. [Google Scholar]
- Ullrich, C. Time Dependent Density Functional Theory: Concepts and Applications; Oxford University Press: Oxford, UK, 2012. [Google Scholar] [CrossRef]
- Capelle, K. A bird’s-eye view of density-functional theory. Braz. J. Phys. 2006, 36, 1318–1343. [Google Scholar] [CrossRef]
- Meir, Y.; Wingreen, N. Landauer formula for the current through an interacting electron region. Phys. Rev. Lett. 1992, 68, 2512–2515. [Google Scholar] [CrossRef]
- Sanchez, D.; Linke, H. Focus on Thermoelectric Effects in Nanostructures. New J. Phys. 2014, 16, 110201. [Google Scholar] [CrossRef]
- Sai, N.; Zwolak, M.; Vignale, G.; Di Ventra, M. Dynamical Corrections to the DFT-LDA Electron Conductance in Nanoscale Systems. Phys. Rev. Lett. 2005, 94, 186810. [Google Scholar] [CrossRef]
- Vignale, G.; Di Ventra, M. Incompleteness of the Landauer formula for electronic transport. Phys. Rev. B Condens. Matter Mater. Phys. 2009, 79, 014201. [Google Scholar] [CrossRef]
- Dreizler, R.M.; Gross, E.K.U. Density Functional Theory; Springer: Berlin/Heidelberg, Germany, 1990. [Google Scholar]
- Hohenberg, P.; Kohn, W. Inhomogeneous Electron Gas. Phys. Rev. 1964, 136, B864–B871. [Google Scholar] [CrossRef]
- D’Agosta, R. Towards a dynamical approach to the calculation of the figure of merit of thermoelectric nanoscale devices. Phys. Chem. Chem. Phys. 2013, 15, 1758. [Google Scholar] [CrossRef]
- Kurth, S.; Stefanucci, G.; Almbladh, C.O.; Rubio, A.; Gross, E.K.U. Time-dependent quantum transport: A practical scheme using density functional theory. Phys. Rev. B 2005, 72, 035308. [Google Scholar] [CrossRef]
- Stefanucci, G.; Almbladh, C.O. Time-dependent partition-free approach in resonant tunneling systems. Phys. Rev. B 2004, 69, 195318. [Google Scholar] [CrossRef]
- Mirtschink, A.; Seidl, M.; Gori-Giorgi, P. Derivative Discontinuity in the Strong-Interaction Limit of Density-Functional Theory. Phys. Rev. Lett. 2013, 111, 126402. [Google Scholar] [CrossRef]
- Stefanucci, G.; Kurth, S. Steady-State Density Functional Theory for Finite Bias Conductances. Nano Lett. 2015, 15, 8020–8025. [Google Scholar] [CrossRef]
- Kurth, S.; Stefanucci, G. Nonequilibrium Anderson model made simple with density functional theory. Phys. Rev. B 2016, 94, 241103. [Google Scholar] [CrossRef]
- Runge, E.; Gross, E.K.U. Density-Functional Theory for Time-Dependent Systems. Phys. Rev. Lett. 1984, 52, 997. [Google Scholar] [CrossRef]
- Koentopp, M.; Chang, C.; Burke, K.; Car, R. Density functional calculations of nanoscale conductance. J. Phys. Condens. Matter 2008, 20, 083203. [Google Scholar] [CrossRef][Green Version]
- Gebauer, R.; Car, R. Current in Open Quantum Systems. Phys. Rev. Lett. 2004, 93, 160404. [Google Scholar] [CrossRef]
- Burke, K.; Car, R.; Gebauer, R. Density Functional Theory of the Electrical Conductivity of Molecular Devices. Phys. Rev. Lett. 2005, 94, 146803. [Google Scholar] [CrossRef]
- Gebauer, R.; Car, R. Kinetic theory of quantum transport at the nanoscale. Phys. Rev. B 2004, 70, 125324. [Google Scholar] [CrossRef]
- Prodan, E.; Car, R. DC conductance of molecular wires. Phys. Rev. B 2007, 76, 115102. [Google Scholar] [CrossRef]
- Di Ventra, M.; Evoy, S.; Heflin, J.R. (Eds.) Introduction to Nanoscale Science and Technology; Springer: New York, NY, USA, 2004. [Google Scholar]
- D’Agosta, R.; Vignale, G.; Raimondi, R. Temperature dependence of the tunneling amplitude between quantum hall edges. Phys. Rev. Lett. 2005, 94, 86801. [Google Scholar] [CrossRef]
- Vignale, G. Mapping from current densities to vector potentials in time-dependent current density functional theory. Phys. Rev. B 2004, 70, 201102(R). [Google Scholar] [CrossRef]
- Eich, F.G.; Di Ventra, M.; Vignale, G. Density-functional theory of thermoelectric phenomena. Phys. Rev. Lett. 2014, 112, 196401. [Google Scholar] [CrossRef]
- Eich, F.G.; Principi, A.; Di Ventra, M.; Vignale, G. Luttinger-field approach to thermoelectric transport in nanoscale conductors. Phys. Rev. B 2014, 90, 115116. [Google Scholar] [CrossRef]
- Ruggenthaler, M.; van Leeuwen, R. Global fixed-point proof of time-dependent density-functional theory. EPL 2011, 95, 13001. [Google Scholar] [CrossRef]
- D’Agosta, R.; Vignale, G. Non-V-representability of currents in time-dependent many-particle systems. Phys. Rev. B 2005, 71, 245103. [Google Scholar] [CrossRef]
- Ventra, M.D.; Todorov, T.N. Transport in nanoscale systems: The microcanonical versus grand-canonical picture. J. Phys. Condens. Matter 2004, 16, 8025–8034. [Google Scholar] [CrossRef]
- Perdew, J.P.; Zunger, A. Self-interaction correction to density-functional approximations for many-electron systems. Phys. Rev. B 1981, 23, 5048. [Google Scholar] [CrossRef]
- Perdew, J.P.; Ernzerhof, M.; Burke, K. Generalized Gradient Approximation Made Simple. Phys. Rev. Lett. 1996, 77, 3865. [Google Scholar] [CrossRef]
- Wijewardane, H.O.; Ullrich, C.A. Time-dependent Kohn-Sham theory with memory. Phys. Rev. Lett. 2005, 95, 86401. [Google Scholar] [CrossRef]
- D’Agosta, R.; Vignale, G. Relaxation in Time-Dependent Current-Density-Functional Theory. Phys. Rev. Lett. 2006, 96, 016405. [Google Scholar] [CrossRef]
- Yang, K.; Perfetto, E.; Kurth, S.; Stefanucci, G.; D’Agosta, R. Density functional theory of the Seebeck coefficient in the Coulomb blockade regime. Phys. Rev. B 2016, 94, 081410. [Google Scholar] [CrossRef]
- Beenakker, C.W.J.; Staring, A.A.M. Theory of the thermopower of a quantum dot. Phys. Rev. B 1992, 46, 9667–9676. [Google Scholar] [CrossRef]
- Zianni, X. Theory of the energy-spectrum dependence of the electronic thermoelectric tunneling coefficients of a quantum dot. Phys. Rev. B 2008, 78, 165327. [Google Scholar] [CrossRef]
- Sánchez, R.; Sothmann, B.; Jordan, A.N.; Büttiker, M. Correlations of heat and charge currents in quantum-dot thermoelectric engines. New J. Phys. 2013, 15, 125001. [Google Scholar] [CrossRef]
- Sothmann, B.; Sánchez, R.; Jordan, A.N.; Büttiker, M. Powerful energy harvester based on resonant-tunneling quantum wells. New J. Phys. 2013, 15, 095021. [Google Scholar] [CrossRef]
- Gardiner, C.W.; Zoller, P. Quantum Noise, 2nd ed.; Springer: Berlin/Heidelberg, Germany, 2000. [Google Scholar]
- Breuer, H.P.; Petruccione, F. The Theory of Open Quantum Systems; Oxford University Press: New York, NY, USA, 2002. [Google Scholar]
- Van Kampen, N.G. Stochastic Processes in Physics and Chemistry, 3rd ed.; Elsevier: Amsterdam, The Netherlands, 2007. [Google Scholar]
- Prezhdo, O.V. Mean field approximation for the stochastic Schrödinger equation. J. Chem. Phys. 1999, 111, 8366–8377. [Google Scholar] [CrossRef]
- Gaspard, P.; Nagaoka, M. Non-Markovian stochastic Schrödinger equation. J. Chem. Phys. 1999, 111, 5676–5690. [Google Scholar] [CrossRef]
- Biele, R.; D’Agosta, R. A stochastic approach to open quantum systems. J. Phys. Condens. Matter 2012, 24, 273201. [Google Scholar] [CrossRef]
- Biele, R.; Timm, C.; D’Agosta, R. Application of a time-convolutionless stochastic Schrödinger equation to energy transport and thermal relaxation. J. Phys. Condens. Matter 2014, 26, 395303. [Google Scholar] [CrossRef]
- Strunz, W.T. Stochastic path integrals and open quantum systems. Phys. Rev. A 1996, 54, 2664–2674. [Google Scholar] [CrossRef]
- Strunz, W. Path integral, semiclassical and stochastic propagators for Markovian open quantum systems. J. Phys. A 1997, 30, 4053. [Google Scholar] [CrossRef]
- Lindblad, G. On the Generators of Quantum Dynamical Semigroups. Commun. Math. Phys. 1976, 48, 119–130. [Google Scholar] [CrossRef]
- Redfield, A.G. On the Theory of Relaxation Processes. IBM J. Res. Dev. 1957, 1, 19–31. [Google Scholar] [CrossRef]
- Dubi, Y.; Di Ventra, M. Thermoelectric Effects in Nanoscale Junctions. Nano Lett. 2009, 9, 97–101. [Google Scholar] [CrossRef]
- Gardiner, C.W.; Collett, M.J. Input and Output in damped quantum systems: Quantum stochastic differential equations and the master equation. Phys. Rev. A 1985, 31, 3761. [Google Scholar] [CrossRef]
- Gardiner, C.W. Handbook of Stochastic Methods, 3rd ed.; Springer: Berlin/Heidelberg, Germany, 2004; p. 415. [Google Scholar]
- Di Ventra, M.; D’Agosta, R. Stochastic Time-Dependent Current-Density-Functional Theory. Phys. Rev. Lett. 2007, 98, 226403. [Google Scholar] [CrossRef]
- D’Agosta, R.; Di Ventra, M. Local electron and ionic heating effects on the conductance of nanostructures. J. Phys. Condens. Matter 2008, 20, 374102. [Google Scholar] [CrossRef][Green Version]
- Yuen-Zhou, J.; Tempel, D.G.; Rodríguez-Rosario, C.A.; Aspuru-Guzik, A. Time-Dependent Density Functional Theory for Open Quantum Systems with Unitary Propagation. Phys. Rev. Lett. 2010, 104, 043001. [Google Scholar] [CrossRef]
- Yuen-Zhou, J.; Rodríguez-Rosario, C.; Aspuru-Guzik, A. Time-dependent current-density functional theory for generalized open quantum systems. Phys. Chem. Chem. Phys. 2009, 11, 4509–4522. [Google Scholar] [CrossRef]
- Mensky, M.B. Quantum Measurements and Decoherence; Springer: Dordrecht, The Netherlands, 2000. [Google Scholar] [CrossRef]
- Erez, N.; Gordon, G.; Nest, M.; Kurizki, G. Thermodynamic control by frequent quantum measurements. Nature 2008, 452, 724–727. [Google Scholar] [CrossRef]
- Rebentrost, P.; Mohseni, M.; Kassal, I.; Lloyd, S.; Aspuru-Guzik, A. Environment-assisted quantum transport. New J. Phys. 2009, 11, 033003. [Google Scholar] [CrossRef]
- Plenio, M.B.; Huelga, S.F. Dephasing-assisted transport: Quantum networks and biomolecules. New J. Phys. 2008, 10, 113019. [Google Scholar] [CrossRef]
- Dubi, Y. Interplay between Dephasing and Geometry and Directed Heat Flow in Exciton Transfer Complexes. J. Phys. Chem. C 2015, 119, 25252–25259. [Google Scholar] [CrossRef][Green Version]
- Segal, D.; Nitzan, A.; Hänggi, P. Thermal conductance through molecular wires. J. Chem. Phys. 2003, 119, 6840–6855. [Google Scholar] [CrossRef]
- Dhar, A.; Saito, K.; Hänggi, P. Nonequilibrium density-matrix description of steady-state quantum transport. Phys. Rev. E 2012, 85, 011126. [Google Scholar] [CrossRef]
- Misra, B.; Sudarshan, E.C.G. The Zeno’s paradox in quantum theory. J. Math. Phys. 1977, 18, 756–763. [Google Scholar] [CrossRef]
- Facchi, P.; Nakazato, H.; Pascazio, S. From the Quantum Zeno to the Inverse Quantum Zeno Effect. Phys. Rev. Lett. 2001, 86, 2699–2703. [Google Scholar] [CrossRef]
- Biele, R.; Rodríguez-Rosario, C.A.; Frauenheim, T.; Rubio, A. Controlling heat and particle currents in nanodevices by quantum observation. Npj Quantum Mater. 2017, 2, 38. [Google Scholar] [CrossRef][Green Version]
- Rodríguez-Rosario, C.A.; Frauenheim, T.; Aspuru-Guzik, A. Thermodynamics of quantum coherence. arXiv 2013, arXiv:1308.1245. [Google Scholar]
- Kosloff, R. Quantum Thermodynamics: A Dynamical Viewpoint. Entropy 2013, 15, 2100–2128. [Google Scholar] [CrossRef]
- Yang, C.C.; Mai, Y.W. Thermodynamics at the nanoscale: A new approach to the investigation of unique physicochemical properties of nanomaterials. Mater. Sci. Eng. R Rep. 2014, 79, 1–40. [Google Scholar] [CrossRef]
- Biele, R.; D’Agosta, R.; Rubio, A. Time-Dependent Thermal Transport Theory. Phys. Rev. Lett. 2015, 115, 056801. [Google Scholar] [CrossRef]
- Donges, A. The coherence length of black-body radiation. Eur. J. Phys. 1998, 19, 245–249. [Google Scholar] [CrossRef]
- Bertilone, D.C. On the cross-spectral tensors for black-body emission into space. J. Mod. Opt. 1996, 43, 207–218. [Google Scholar] [CrossRef]
- Bergfield, J.P.; Liu, Z.F.; Burke, K.; Stafford, C.A. Bethe Ansatz Approach to the Kondo Effect within Density-Functional Theory. Phys. Rev. Lett. 2012, 108, 066801. [Google Scholar] [CrossRef]
- Tröster, P.; Schmitteckert, P.; Evers, F. Transport calculations based on density functional theory, Friedel’s sum rule, and the Kondo effect. Phys. Rev. B 2012, 85, 115409. [Google Scholar] [CrossRef]
- Stefanucci, G.; Kurth, S. Towards a Description of the Kondo Effect Using Time-Dependent Density-Functional Theory. Phys. Rev. Lett. 2011, 107, 216401. [Google Scholar] [CrossRef]
- Frenkel, D.; Smit, B. Understanding Numerical Simulation, 2nd ed.; Academic Press San Diego: San Diego, CA, USA, 2002. [Google Scholar]
- Donadio, D.; Galli, G. Atomistic Simulations of Heat Transport in Silicon Nanowires. Phys. Rev. Lett. 2009, 102, 195901. [Google Scholar] [CrossRef]
- Mingo, N. Anharmonic phonon flow through molecular-sized junctions. Phys. Rev. B 2006, 74, 125402. [Google Scholar] [CrossRef]








© 2019 by the authors. Licensee MDPI, Basel, Switzerland. This article is an open access article distributed under the terms and conditions of the Creative Commons Attribution (CC BY) license (http://creativecommons.org/licenses/by/4.0/).
Share and Cite
Biele, R.; D’Agosta, R. Beyond the State of the Art: Novel Approaches for Thermal and Electrical Transport in Nanoscale Devices. Entropy 2019, 21, 752. https://doi.org/10.3390/e21080752
Biele R, D’Agosta R. Beyond the State of the Art: Novel Approaches for Thermal and Electrical Transport in Nanoscale Devices. Entropy. 2019; 21(8):752. https://doi.org/10.3390/e21080752
Chicago/Turabian StyleBiele, Robert, and Roberto D’Agosta. 2019. "Beyond the State of the Art: Novel Approaches for Thermal and Electrical Transport in Nanoscale Devices" Entropy 21, no. 8: 752. https://doi.org/10.3390/e21080752
APA StyleBiele, R., & D’Agosta, R. (2019). Beyond the State of the Art: Novel Approaches for Thermal and Electrical Transport in Nanoscale Devices. Entropy, 21(8), 752. https://doi.org/10.3390/e21080752

