Rateless Codes-Based Secure Communication Employing Transmit Antenna Selection and Harvest-To-Jam under Joint Effect of Interference and Hardware Impairments
Abstract
1. Introduction
- To the best of our knowledge, we first propose the FCs based communication protocol using the harvest-to-jam based cooperative jamming technique to reduce the quality of the eavesdropping link. Different with [34,35,36,37], we propose a cooperative jamming technique, where a cooperative jammer node harvests energy from the RF signals of the source and the interference sources to generate noises to the eavesdropper. Different with our previous works [38,39], in the proposed protocol, there exist interference sources in the network that cause co-channel interferences on both the destination and the eavesdropper.
- Until now, almost published works related to secrecy performance evaluation have assumed that the transceiver hardware of the wireless devices is perfect. However, in practice, it is not perfect due to phase noise, I/Q imbalance (IQI), amplifier non-linearity [40,41,42,43]. In this paper, the joint impact of hardware noises and co-channel interference on the system performances is investigated.
- For performance evaluation, we derive exact closed-form expressions of outage probability (OP), probability of successful and secure communication (SS), intercept probability (IP) and average number of the time slots used by the source over Rayleigh fading channel. The closed-form formulas are easy-to-compute, and hence they can be easily used to design and optimize the considered system. In addition, all of the derived expressions are verified by Monte Carlo simulations.
2. System Model
3. Performance Analysis
3.1. Derivations of and
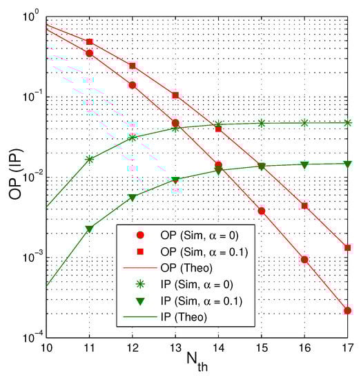
3.2. Analysis of Outage Probability (OP)
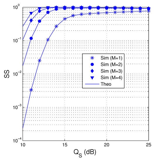
3.3. Analysis of Successful and Secure Communication (SS)
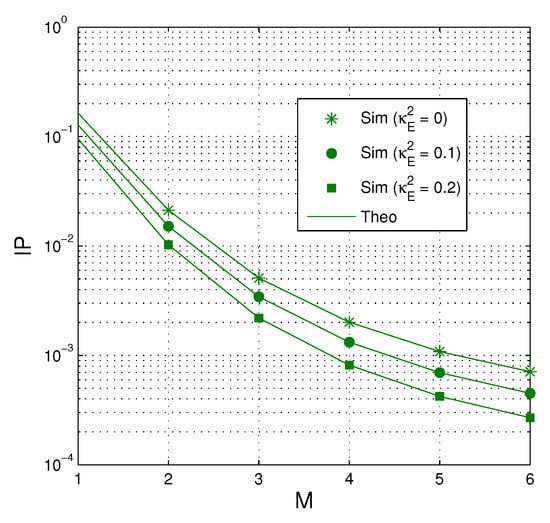
3.4. Analysis of Intercept Probability (IP)
3.5. Analysis of Average Number of Time Slots (TS)
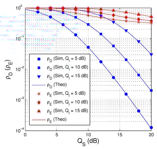
4. Simulation Results
5. Conclusions
Author Contributions
Funding
Conflicts of Interest
Appendix A. Proof of Proposition 1
Appendix B. Proof of Proposition 2
References
- Wyner, A.D. The Wire-tap Channel. Bell Syst. Tech. J. 1975, 54, 1355–1387. [Google Scholar] [CrossRef]
- Csiszar, I.; Korner, J. Broadcast Channels with Confidential Messages. IEEE Trans. Inf. Theory 1978, 2, 339–348. [Google Scholar] [CrossRef]
- Liu, R.; Maric, I.; Spasojevic, P.; Yates, R.D. Discrete Memoryless Interference and Broadcast Channels with Conffdential Messages: Secrecy Rate Regions. IEEE Trans. Inf. Theory 2008, 2, 2493–2507. [Google Scholar] [CrossRef]
- Gopala, P.K.; Lai, L.; Gamal, H.E. On the Secrecy Capacity of Fading Channels. IEEE Trans. Inf. Theory 2008, 2, 4687–4698. [Google Scholar] [CrossRef]
- Zhang, J.; Duong, T.Q.; Woods, R.; Marshall, A. Securing Wireless Communications of the Internet of Things from the Physical Layer, An Overview. Entropy 2017, 19, 420. [Google Scholar] [CrossRef]
- Sun, L.; Du, Q. A Review of Physical Layer Security Techniques for Internet of Things: Challenges and Solutions. Entropy 2018, 2, 730. [Google Scholar] [CrossRef]
- Tin, P.T.; Hung, D.T.; Tan, N.N.; Duy, T.T.; Voznak, M. Secrecy Performance Enhancement for Underlay Cognitive Radio Networks Employing Cooperative Multi-hop Transmission With and Without Presence of Hardware Impairments. Entropy 2019, 21, 217. [Google Scholar] [CrossRef]
- Tin, P.T.; Nam, P.M.; Duy, T.T.; Phuong, T.T.; Voznak, M. Secrecy Performance of TAS/SC-based Multi-hop Harvest-to-Transmit Cognitive WSNs under Joint Constraint of Interference and Hardware Imperfection. Sensors 2019, 19, 1160. [Google Scholar] [CrossRef] [PubMed]
- Zhang, T.; Cai, Y.; Huang, Y.; Duong, T.Q.; Yang, W. Secure Transmission in Cognitive MIMO Relaying Networks With Outdated Channel State Information. IEEE Access 2016, 4, 8212–8224. [Google Scholar] [CrossRef]
- Huang, Y.; Wang, J.; Zhong, C.; Duong, T.Q.; Karagiannidis, G.K. Secure Transmission in Cooperative Relaying Networks with Multiple Antennas. IEEE Trans. Wirel. Commun. 2016, 2, 6843–6856. [Google Scholar] [CrossRef]
- Yang, M.; Guo, D.; Huang, Y.; Duong, T.Q.; Zhang, B. Secure Multiuser Scheduling in Downlink Dual-hop Regenerative Relay Networks over Nakagami-m Fading Channels. IEEE Trans. Wirel. Commun. 2016, 2, 8009–8024. [Google Scholar] [CrossRef]
- Zhao, R.; Lin, H.; He, Y.-C.; Chen, D.-H.; Huang, Y.; Yang, L. Secrecy Performance of Transmit Antenna Selection for MIMO Relay Systems with Outdated CSI. IEEE Trans. Commun. 2018, 2, 546–559. [Google Scholar] [CrossRef]
- Mo, J.; Tao, M.; Liu, L. Relay Placement for Physical Layer Security: A Secure Connection Perspective. IEEE Commun. Lett. 2012, 2, 878–881. [Google Scholar]
- Lee, J.-H.; Sohn, I.; Kim, Y.-H. Transmit Power Allocation for Physical Layer Security in Cooperative Multi-Hop Full-Duplex Relay Networks. Sensors 2016, 2, 1726. [Google Scholar] [CrossRef] [PubMed]
- Keshav, S.; Ku, M.-L.; Biswas, S.; Ratnarajah, T. Energy-Efficient Subcarrier Pairing and Power Allocation for DF Relay Networks with an Eavesdropper. Energies 2017, 2, 1953. [Google Scholar]
- Hieu, T.D.; Duy, T.T.; Kim, B.-S. Performance Enhancement for Multi-hop Harvest-to-Transmit WSNs with Path-Selection Methods in Presence of Eavesdroppers and Hardware Noises. IEEE Sens. J. 2018, 2, 5173–5186. [Google Scholar] [CrossRef]
- Cao, K.; Cai, K.; Wu, Y.; Yang, W. Cooperative Jamming for Secure Communication with Finite Alphabet Inputs. IEEE Commun. Lett. 2017, 2, 2025–2028. [Google Scholar] [CrossRef]
- Kang, J.M.; Yang, J.; Ha, J.; Kim, I.M. Joint Design of Optimal Precoding and Cooperative Jamming for Multiuser Secure Broadcast Systems. IEEE Trans. Veh. Technol. 2017, 2, 10551–10556. [Google Scholar] [CrossRef]
- Ma, H.; Cheng, J.; Wang, X.; Ma, P. Robust MISO Beamforming with Cooperative Jamming for Secure Transmission From Perspectives of QoS and Secrecy Rate. IEEE Trans. Commun. 2018, 2, 767–780. [Google Scholar] [CrossRef]
- Zhang, G.; Xu, J.; Wu, Q.; Cui, M.; Li, X.; Lin, F. Wireless Powered Cooperative Jamming for Secure OFDM System. IEEE Trans. Veh. Technol. 2018, 2, 1331–1346. [Google Scholar] [CrossRef]
- Nasir, A.A.; Zhou, X.; Durrani, S.; Kennedy, R.A. Relaying Protocols for Wireless Energy Harvesting and Information Processing. IEEE Trans. Wirel. Commun. 2013, 2, 3622–3636. [Google Scholar] [CrossRef]
- Atapattu, S.; Evans, J. Optimal Energy Harvesting Protocols for Wireless Relay Networks. IEEE Trans. Wirel. Commun. 2016, 2, 5789–5803. [Google Scholar] [CrossRef]
- Wang, L.; Wong, K.K.; Jin, S.; Zheng, G.; Heath, R.W. A New Look at Physical Layer Security, Caching, and Wireless Energy Harvesting for Heterogeneous Ultra-Dense Networks. IEEE Commun. Mag. 2018, 2, 49–55. [Google Scholar] [CrossRef]
- Chang, S.; Li, J.; Fu, X.; Zhang, L. Energy Harvesting for Physical Layer Security in Cooperative Networks Based on Compressed Sensing. Entropy 2017, 19, 462. [Google Scholar] [CrossRef]
- Xu, C.; Zheng, M.; Liang, W.; Yu, H.; Liang, Y.C. Outage Performance of Underlay Multihop Cognitive Relay Networks with Energy Harvesting. IEEE Commun. Lett. 2016, 2, 1148–1151. [Google Scholar] [CrossRef]
- Xu, C.; Zheng, M.; Liang, W.; Yu, H.; Liang, Y.C. End-to-end Throughput Maximization for Underlay Multi-hop Cognitive Radio Networks with RF Energy Harvesting. IEEE Trans. Wirel. Commun. 2017, 2, 3561–3572. [Google Scholar] [CrossRef]
- Zhu, G.; Zhong, C.; Suraweera, H.A.; Karagiannidis, G.K.; Zhang, Z.; Tsiftsis, T.A. Wireless Information and Power Transfer in Relay Systems with Multiple Antennas and Interference. IEEE Trans. Commun. 2015, 2, 1400–1418. [Google Scholar] [CrossRef]
- Chen, E.; Xia, M.; Da Costa, D.; Aissa, S. Multi-hop Cooperative Relaying with Energy Harvesting from Co-Channel Interferences. IEEE Commun. Lett. 2017, 2, 1199–1202. [Google Scholar] [CrossRef]
- Liu, M.; Liu, Y. Power Allocation for Secure SWIPT Systems with Wireless-Powered Cooperative Jamming. IEEE Commun. Lett. 2017, 2, 1353–1356. [Google Scholar] [CrossRef]
- MacKay, D. Fountain Codes. IEE Proc. Commun. 2005, 2, 1331–1346. [Google Scholar] [CrossRef]
- Castura, J.; Mao, Y. Rateless Coding over Fading Channels. IEEE Commun. Lett. 2006, 2, 46–48. [Google Scholar] [CrossRef]
- Nguyen, H.D.T.; Tran, L.N.; Hong, E.K. On Transmission Efficiency for Wireless Broadcast Using Network Coding and Fountain Codes. IEEE Commun. Lett. 2011, 2, 569–571. [Google Scholar] [CrossRef]
- Yue, J.; Lin, Z.; Vucetic, B. Distributed Fountain Codes With Adaptive Unequal Error Protection in Wireless Relay Networks. IEEE Trans. Wirel. Commun. 2014, 2, 4220–4231. [Google Scholar] [CrossRef]
- Niu, H.; Iwai, M.; Sezaki, K.; Sun, L.; Du, Q. Exploiting Fountain Codes for Secure Wireless Delivery. IEEE Commun. Lett. 2014, 2, 777–780. [Google Scholar] [CrossRef]
- Li, W.; Du, Q.; Sun, L.; Ren, P.; Wang, Y. Security Enhanced via Dynamic Fountain Code Design for Wireless Delivery. In Proceedings of the IEEE 2016 IEEE Wireless Communications and Networking Conference, Doha, Qatar, 3–6 April 2016; pp. 1–6. [Google Scholar]
- Sun, L.; Ren, P.; Du, Q.; Wang, Y. Fountain-coding Aided Strategy for Secure Cooperative Transmission in Industrial Wireless Sensor Networks. IEEE Trans. Ind. Inform. 2016, 2, 291–300. [Google Scholar] [CrossRef]
- Du, Q.; Xu, Y.; Li, W.; Song, H. Security Enhancement for Multicast over Internet of Things by Dynamically Constructed Fountain Codes. Wirel. Commun. Mob. Comput. 2018, 2018, 8404219. [Google Scholar] [CrossRef]
- Hung, D.T.; Duy, T.T.; Trinh, D.Q.; Bao, V.N.Q. Secrecy Performance Evaluation of TAS Protocol Exploiting Fountain Codes and Cooperative Jamming under Impact of Hardware Impairments. In Proceedings of the 2nd International Conference on Recent Advances in Signal Processing, Telecommunications & Computing (SigTelCom), Ho Chi Minh City, Vietnam, 29–31 January 2018; pp. 164–169. [Google Scholar]
- Hung, D.T.; Duy, T.T.; Trinh, D.Q.; Bao, V.N.Q.; Hanh, T. Security-Reliability Analysis of Power Beacon-Assisted Multi-hop Relaying Networks Exploiting Fountain Codes with Hardware Imperfection. In Proceedings of the International Conference on Advanced Technologies for Communications (ATC), Ho Chi Minh City, Vietnam, 18–20 October 2018; pp. 354–359. [Google Scholar]
- Mokhtar, M.; Gomaa, A.; Al-Dhahir, N. OFDM AF Relaying under I/Q Imbalance: Performance Analysis and Baseband Compensation. IEEE Trans. Commun. 2013, 2, 1304–1313. [Google Scholar] [CrossRef]
- Björnson, E.; Matthaiou, M.; Debbah, M. A New Look at Dual-Hop Relaying: Performance Limits with Hardware Impairments. IEEE Trans. Commun. 2013, 2, 4512–4525. [Google Scholar] [CrossRef]
- Son, P.N.; Kong, H.Y. Energy-Harvesting Decode-and-Forward Relaying under Hardware Impairments. Wirel. Pers. Commun. 2017, 2, 6381–6395. [Google Scholar] [CrossRef]
- Solanki, S.; Upadhyay, P.K.; da Costa, D.B.; Bithas, P.S.; Kanatas, A.G.; Dias, U.S. Joint Impact of RF Hardware Impairments and Channel Estimation Errors in Spectrum Sharing Multiple-Relay Networks. IEEE Trans. Commun. 2018, 2, 3809–3824. [Google Scholar] [CrossRef]
- Zarei, S.; Gerstacker, W.H.; Aulin, J.; Schober, R. Multi-Cell Massive MIMO Systems with Hardware Impairments: Uplink-Downlink Duality and Downlink Precoding. IEEE Trans. Wirel. Commun. 2017, 2, 5115–5130. [Google Scholar] [CrossRef]
- Gradshteyn, I.S.; Ryzhik, I.M. Table of Integrals, Series, and Products, 7th ed.; Elsevier Inc.: San Diego, CA, USA, 2007. [Google Scholar]
- Duy, T.T.; Alexandropoulos, G.C.; Vu, T.T.; Vo, N.-S.; Duong, T.Q. Outage Performance of Cognitive Cooperative Networks with Relay Selection over Double-Rayleigh Fading Channels. IET Commun. 2016, 2, 57–64. [Google Scholar] [CrossRef]










© 2019 by the authors. Licensee MDPI, Basel, Switzerland. This article is an open access article distributed under the terms and conditions of the Creative Commons Attribution (CC BY) license (http://creativecommons.org/licenses/by/4.0/).
Share and Cite
Tran Tin, P.; Nguyen, T.N.; Sang, N.Q.; Trung Duy, T.; Tran, P.T.; Voznak, M. Rateless Codes-Based Secure Communication Employing Transmit Antenna Selection and Harvest-To-Jam under Joint Effect of Interference and Hardware Impairments. Entropy 2019, 21, 700. https://doi.org/10.3390/e21070700
Tran Tin P, Nguyen TN, Sang NQ, Trung Duy T, Tran PT, Voznak M. Rateless Codes-Based Secure Communication Employing Transmit Antenna Selection and Harvest-To-Jam under Joint Effect of Interference and Hardware Impairments. Entropy. 2019; 21(7):700. https://doi.org/10.3390/e21070700
Chicago/Turabian StyleTran Tin, Phu, Tan N. Nguyen, Nguyen Q. Sang, Tran Trung Duy, Phuong T. Tran, and Miroslav Voznak. 2019. "Rateless Codes-Based Secure Communication Employing Transmit Antenna Selection and Harvest-To-Jam under Joint Effect of Interference and Hardware Impairments" Entropy 21, no. 7: 700. https://doi.org/10.3390/e21070700
APA StyleTran Tin, P., Nguyen, T. N., Sang, N. Q., Trung Duy, T., Tran, P. T., & Voznak, M. (2019). Rateless Codes-Based Secure Communication Employing Transmit Antenna Selection and Harvest-To-Jam under Joint Effect of Interference and Hardware Impairments. Entropy, 21(7), 700. https://doi.org/10.3390/e21070700

