Secrecy Performance Enhancement for Underlay Cognitive Radio Networks Employing Cooperative Multi-Hop Transmission with and without Presence of Hardware Impairments
Abstract
1. Introduction
2. System Model
2.1. Channel and Hardware Impairment Models
2.2. Operation of the Proposed Protocol
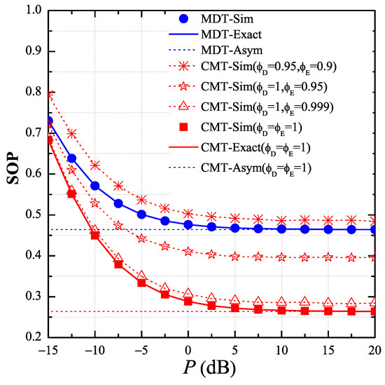
2.3. Imperfect Channel Estimation
2.4. Multi-Hop Direct Transmission Protocol
3. Performance Analysis
3.1. Multi-hop Direct Transmission Protocol (MDT)
3.2. Cooperative Multi-Hop Transmission Protocol (CMT)
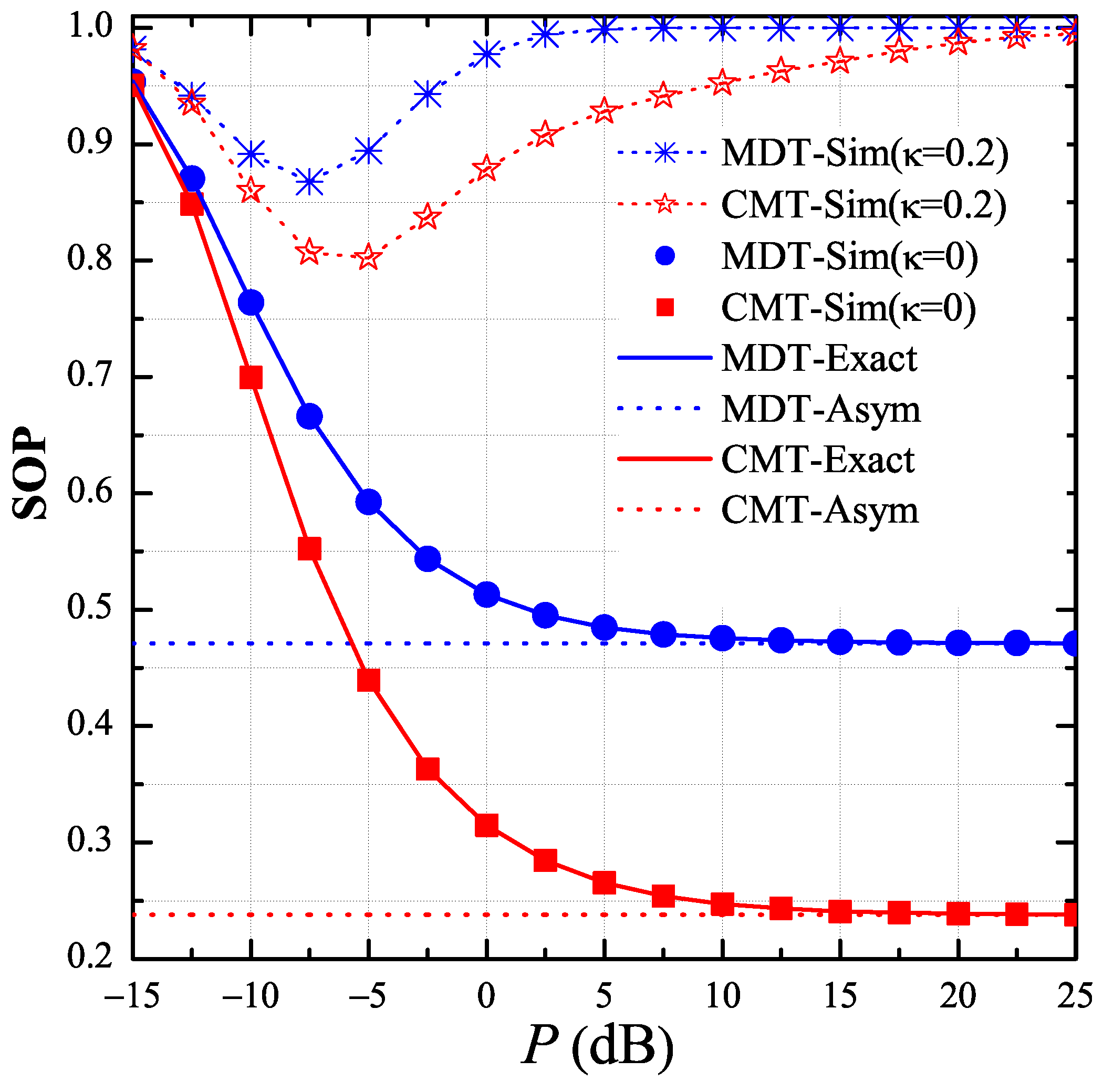
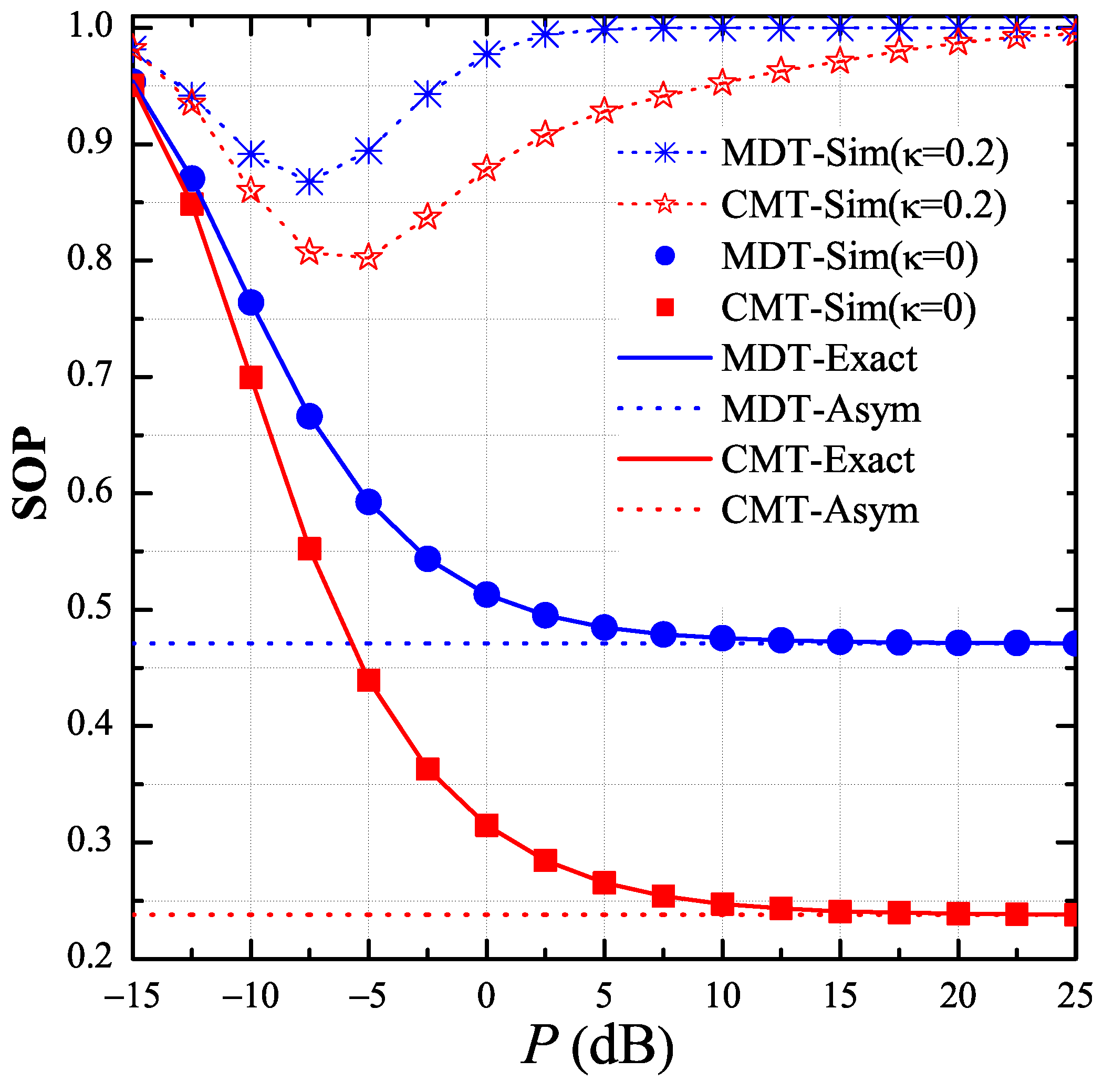
4. Simulation Results
5. Conclusions
- The secrecy performance of the proposed protocol was much better than that of the MDT protocol when the CSI estimations of the data, interference and eavesdropping links were perfect. Otherwise, the SOP performance significantly degraded due to the incorrect relay selection.
- When the transceiver hardware of the nodes was imperfect, the secrecy performance severely degraded. In particular, the value of the end-to-end SOP rapidly increased with higher transmit signal-to-noise ratio (SNR) and with higher impairment level.
- In the presence of the hardware noises, there existed an optimal value of the transmit SNR, at which the secrecy performance of the CMT and DMT schemes was best.
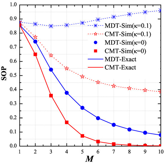
- The performance of the proposed protocol was better when the number of hops was higher.
- When the hardware impairments were relaxed, we derived exact and asymptotic expressions of the end-to-end SOP for the CMT and MDT protocols. We then performed computer simulations to verify the derived expressions.
Author Contributions
Acknowledgments
Conflicts of Interest
References
- Ledwaba, L.P.I.; Hancke, G.P.; Venter, H.S.; Isaac, S.J. Performance Costs of Software Cryptography in Securing New-Generation Internet of Energy Endpoint Devices. IEEE Access 2018, 6, 9303–9323. [Google Scholar] [CrossRef]
- Liu, Z.; Choo, K.-K.R.; Grossschadl, J. Securing Edge Devices in the Post-Quantum Internet of Things Using Lattice-Based Cryptography. IEEE Commun. Mag. 2018, 56, 158–162. [Google Scholar] [CrossRef]
- Wyner, A.D. The Wire-tap Channel. Bell Syst. Tech. J. 1975, 54, 1355–1387. [Google Scholar] [CrossRef]
- Csiszar, I.; Korner, J. Broadcast Channels With Confidential Messages. IEEE Trans. Inf. Theory 1978, 24, 339–348. [Google Scholar] [CrossRef]
- Gopala, P.K.; Lai, L.; Gamal, H.E. On the secrecy capacity of fading channels. IEEE Trans. Inf. Theory 2008, 54, 4687–4698. [Google Scholar] [CrossRef]
- Zhang, J.; Duong, T.Q.; Woods, R.; Marshall, A. Securing Wireless Communications of the Internet of Things from the Physical Layer, An Overview. Entropy 2017, 19, 420. [Google Scholar] [CrossRef]
- Chang, S.; Li, J.; Fu, X.; Zhang, L. Energy Harvesting for Physical Layer Security in Cooperative Networks Based on Compressed Sensing. Entropy 2017, 19, 462. [Google Scholar] [CrossRef]
- Sun, L.; Du, Q. A Review of Physical Layer Security Techniques for Internet of Things: Challenges and Solutions. Entropy 2018, 20, 730. [Google Scholar] [CrossRef]
- Wang, L.; Wong, K.-K.; Jin, S.; Zheng, G.; Heath, R.W. A New Look at Physical Layer Security, Caching, and Wireless Energy Harvesting for Heterogeneous Ultra-Dense Networks. IEEE Commun. Mag. 2018, 56, 49–55. [Google Scholar] [CrossRef]
- Kong, L.; Vuppala, S.; Kaddoum, G. Secrecy Analysis of Random MIMO Wireless Networks Over α-μ Fading Channels. IEEE Trans. Veh. Technol. 2018, 67, 11654–11666. [Google Scholar] [CrossRef]
- Jameel, F.; Wyne, S.; Kaddoum, G.; Duong, T.Q. A Comprehensive Survey on Cooperative Relaying and Jamming Strategies for Physical Layer Security. IEEE Commun. Surv. Tutor. 2018. [Google Scholar] [CrossRef]
- Krikidis, I. Opportunistic Relay Selection For Cooperative Networks With Secrecy Constraints. IET Commun. 2010, 4, 1787–1791. [Google Scholar] [CrossRef]
- Zhong, B.; Zhang, Z. Secure Full-Duplex Two-Way Relaying Networks With Optimal Relay Selection. IEEE Commun. Lett. 2017, 21, 1123–1126. [Google Scholar] [CrossRef]
- Kuhestani, A.; Mohammadi, A.; Mohammadi, M. Joint Relay Selection and Power Allocation in Large-Scale MIMO Systems With Untrusted Relays and Passive Eavesdroppers. IEEE Trans. Inf. Forensics Secur. 2018, 13, 341–355. [Google Scholar] [CrossRef]
- Hu, L.; Wen, H.; Wu, B.; Pan, F.; Liao, R.-F.; Song, H.; Tang, J.; Wang, X. Cooperative Jamming for Physical Layer Security Enhancement in Internet of Things. IEEE Int. Things J. 2018, 5, 219–228. [Google Scholar] [CrossRef]
- Ma, H.; Cheng, J.; Wang, X.; Ma, P. Robust MISO Beamforming With Cooperative Jamming for Secure Transmission From Perspectives of QoS and Secrecy Rate. IEEE Trans. Commun. 2018, 66, 767–780. [Google Scholar] [CrossRef]
- Zhang, G.; Xu, J.; Wu, Q.; Cui, M.; Li, X.; Lin, F. Wireless Powered Cooperative Jamming for Secure OFDM System. IEEE Trans. Veh. Technol. 2018, 67, 1331–1346. [Google Scholar] [CrossRef]
- Hu, L.; Wen, H.; Wu, B.; Tang, J.; Pan, F.; Liao, R.-F. Cooperative-Jamming-Aided Secrecy Enhancement in Wireless Networks With Passive Eavesdroppers. IEEE Trans. Veh. Technol. 2018, 67, 2108–2117. [Google Scholar] [CrossRef]
- Singh, A.; Bhatnagar, M.R.; Mallik, R.K. Secrecy Outage of a Simultaneous Wireless Information and Power Transfer Cognitive Radio System. IEEE Wirel. Commun. Lett. 2016, 5, 288–291. [Google Scholar] [CrossRef]
- Lei, H.; Zhang, H.; Ansari, I.S.; Pan, G.; Qaraqe, K.A. Secrecy Outage Analysis for SIMO Underlay Cognitive Radio Networks over Generalized-K Fading Channels. IEEE Sig. Process. Lett. 2016, 23, 1106–1110. [Google Scholar] [CrossRef]
- Zhao, R.; Yuan, Y.; Fan, L.; He, Y.-C. Secrecy Performance Analysis of Cognitive Decode-and-Forward Relay Networks in Nakagami-m Fading Channels. IEEE Trans. Commun. 2017, 65, 549–563. [Google Scholar] [CrossRef]
- Chakraborty, P.; Prakriva, S. Secrecy Outage Performance of a Cooperative Cognitive Relay Network. IEEE Commun. Lett. 2017, 21, 326–329. [Google Scholar] [CrossRef]
- Al-Hraishawi, H.; Baduge, G.A.A.; Schaefer, R.F. Artificial Noise-Aided Physical Layer Security in Underlay Cognitive Massive MIMO Systems with Pilot Contamination. Entropy 2017, 19, 349. [Google Scholar] [CrossRef]
- Hung, T.; Georges, K.; Gagnon, F.; Louis, S. Cognitive Radio Network with Secrecy and Interference Constraints. Phys. Commun. 2017, 22, 32–41. [Google Scholar]
- Ping, X.; Ling, X.; Honghai, W.; Jung, T.S.; Ilsun, Y. Cooperative Jammer Selection for Secrecy Improvement in Cognitive Internet of Things. Sensors 2018, 18, 42–57. [Google Scholar]
- Feng, R.; Li, Q.; Zhang, Q.; Qin, J. Robust Secure Beamforming in MISO Full-Duplex Two-Way Secure Communications. IEEE Trans. Veh. Technol. 2016, 65, 408–414. [Google Scholar] [CrossRef]
- Sun, C.; Liu, K.; Zheng, D.; Ai, W. Secure Communication for Two-Way Relay Networks with Imperfect CSI. Entropy 2017, 19, 522. [Google Scholar] [CrossRef]
- Jameel, F.; Wyne, S.; Ding, Z. Secure Communications in Three-Step Two-Way Energy Harvesting DF Relaying. IEEE Commun. Lett. 2018, 22, 308–311. [Google Scholar] [CrossRef]
- Zhang, J.; Tao, X.; Wu, H.; Zhang, X. Secure Transmission in SWIPT-Powered Two-Way Untrusted Relay Networks. IEEE Access 2018, 6, 10508–10519. [Google Scholar] [CrossRef]
- Lee, J.-H.; Sohn, I.; Kim, Y.-H. Transmit Power Allocation for Physical Layer Security in Cooperative Multi-Hop Full-Duplex Relay Networks. Sensors 2016, 16, 1726. [Google Scholar] [CrossRef] [PubMed]
- Alotaibi, E.R.; Hamdi, K.A. Secure Relaying in Multihop Communication Systems. IEEE Commun. Lett. 2016, 20, 1120–1123. [Google Scholar] [CrossRef]
- Yao, J.; Liu, Y. Secrecy Rate Maximization With Outage Constraint in Multihop Relaying Networks. IEEE Commun. Lett. 2018, 22, 304–307. [Google Scholar] [CrossRef]
- Keshav, S.; Ku, M.-L.; Biswas, S.; Ratnarajah, T. Energy-Efficient Subcarrier Pairing and Power Allocation for DF Relay Networks with an Eavesdropper. Energies 2017, 10, 1953. [Google Scholar]
- Björnson, E.; Matthaiou, M.; Debbah, M. A new look at dual-hop relaying: Performance limits with hardware impairments. IEEE Trans. Commun. 2013, 61, 4512–4525. [Google Scholar] [CrossRef]
- Matthaiou, M.; Papadogiannis, A. Two-Way Relaying Under The Presence of Relay Transceiver Hardware Impairments. IEEE Commun. Lett. 2013, 17, 1136–1139. [Google Scholar] [CrossRef]
- Björnson, E.; Hoydis, J.; Kountouris, M.; Debbah, M. Massive MIMO Systems With Non-Ideal Hardware: Energy Efficiency, Estimation, and Capacity Limits. IEEE Trans. Inf. Theory 2014, 60, 7112–7139. [Google Scholar] [CrossRef]
- Guo, K.; Guo, D.; Zhang, B. Performance Analysis of Two-Way Multi-Antenna Multi-Relay Networks with Hardware Impairments. IEEE Access 2017, 5, 15971–15980. [Google Scholar] [CrossRef]
- Balti, E.; Guizani, M.; Hamdaoui, B.; Khalfi, B. Aggregate Hardware Impairments Over Mixed RF/FSO Relaying Systems With Outdated CSI. IEEE Trans. Commun. 2018, 66, 1110–1123. [Google Scholar] [CrossRef]
- Sharma, P.K.; Upadhyay, P.K. Cognitive relaying with transceiver hardware impairments under interference constraints. IEEE Commun. Lett. 2016, 20, 820–823. [Google Scholar] [CrossRef]
- Boulogeorgos, A.A.; Karas, D.S.; Karagiannidis, G.K. How Much Does I/Q Imbalance Affect Secrecy Capacity? IEEE Commun. Lett. 2016, 20, 1305–1308. [Google Scholar] [CrossRef]
- Zhu, J.; Ng, D.W.K.; Wang, N.; Schober, R.; Bhargava, V.K. Analysis and Design of Secure Massive MIMO Systems in the Presence of Hardware Impairments. IEEE Trans. Wirel. Commun. 2017, 16, 2001–2016. [Google Scholar] [CrossRef]
- Boshkovska, E.; Ng, D.W.K.; Dai, L.; Schober, R. Power-Efficient and Secure WPCNs with Hardware Impairments and Non-Linear EH Circuit. IEEE Trans. Commun. 2018, 66, 2642–2657. [Google Scholar] [CrossRef]
- Kuhestani, A.; Mohamadi, A.; Wong, K.-K.; Yeoh, P.L.; Moradikia, M.; Khandaker, M.R.A. Optimal Power Allocation by Imperfect Hardware Analysis in Untrusted Relaying Networks. IEEE Trans. Wirel. Commun. 2018, 17, 4302–4314. [Google Scholar] [CrossRef]
- Tin, P.T.; Hung, D.T.; Duy, T.T.; Voznak, M. Analysis of Probability of Non-zero Secrecy Capacity for Multi-hop Networks in Presence of Hardware Impairments over Nakagami-m Fading Channels. RadioEngineering 2016, 25, 774–782. [Google Scholar]
- Wang, L.; Kim, K.J.; Duong, T.Q.; Elkashlan, M.; Poor, H.V. Security Enhancement of Cooperative Single Carrier Systems. IEEE Trans. Inf. Forensics Secur. 2015, 10, 90–103. [Google Scholar] [CrossRef]
- Laneman, J.N.; Tse, D.N.C.; Wornell, G.W. Cooperative Diversity in Wireless Networks: Efficient Protocols and Outage Behavior. IEEE Trans. Inform. Theory 2004, 50, 3062–3080. [Google Scholar] [CrossRef]
- Liu, P.; Tao, Z.; Lin, Z.; Erkip, E.; Panwar, S. Cooperative Wireless Communications: A Cross-layer Approach. IEEE Wirel. Commun. 2006, 13, 84–92. [Google Scholar]
- Bletsas, A.; Khisti, A.; Reed, D.P.; Lippman, A. Simple Cooperative Diversity Method based on Network Path Selection. IEEE J. Sel. Areas Commun. 2006, 24, 659–672. [Google Scholar] [CrossRef]
- Mo, J.; Tao, M.; Liu, Y. Relay Placement for Physical Layer Security: A Secure Connection Perspective. IEEE Commun. Lett. 2012, 16, 878–881. [Google Scholar]
- Cai, C.; Cai, Y.; Yang, W.; Yang, W. Secure Connectivity Using Randomize-and-Forward Strategy in Cooperative Wireless Networks. IEEE Commun. Lett. 2013, 17, 1340–1343. [Google Scholar]
- Vo, N.Q.B.; Duong, T.Q.; Tellambura, C. On the Performance of Cognitive Underlay Multihop Networks with Imperfect Channel State Information. IEEE Trans. Commun. 2013, 61, 4864–4873. [Google Scholar]






© 2019 by the authors. Licensee MDPI, Basel, Switzerland. This article is an open access article distributed under the terms and conditions of the Creative Commons Attribution (CC BY) license (http://creativecommons.org/licenses/by/4.0/).
Share and Cite
Tran Tin, P.; The Hung, D.; Nguyen, T.N.; Duy, T.T.; Voznak, M. Secrecy Performance Enhancement for Underlay Cognitive Radio Networks Employing Cooperative Multi-Hop Transmission with and without Presence of Hardware Impairments. Entropy 2019, 21, 217. https://doi.org/10.3390/e21020217
Tran Tin P, The Hung D, Nguyen TN, Duy TT, Voznak M. Secrecy Performance Enhancement for Underlay Cognitive Radio Networks Employing Cooperative Multi-Hop Transmission with and without Presence of Hardware Impairments. Entropy. 2019; 21(2):217. https://doi.org/10.3390/e21020217
Chicago/Turabian StyleTran Tin, Phu, Dang The Hung, Tan N. Nguyen, Tran Trung Duy, and Miroslav Voznak. 2019. "Secrecy Performance Enhancement for Underlay Cognitive Radio Networks Employing Cooperative Multi-Hop Transmission with and without Presence of Hardware Impairments" Entropy 21, no. 2: 217. https://doi.org/10.3390/e21020217
APA StyleTran Tin, P., The Hung, D., Nguyen, T. N., Duy, T. T., & Voznak, M. (2019). Secrecy Performance Enhancement for Underlay Cognitive Radio Networks Employing Cooperative Multi-Hop Transmission with and without Presence of Hardware Impairments. Entropy, 21(2), 217. https://doi.org/10.3390/e21020217

