Constructal Optimization for Cooling a Non-Uniform Heat Generating Radial-Pattern Disc by Conduction
Abstract
1. Introduction
2. Constructal Optimization of a Radial-Pattern Disc with Analytical Solution
3. Constructal Optimization of a Radial-Pattern Disc with Numerical Solution
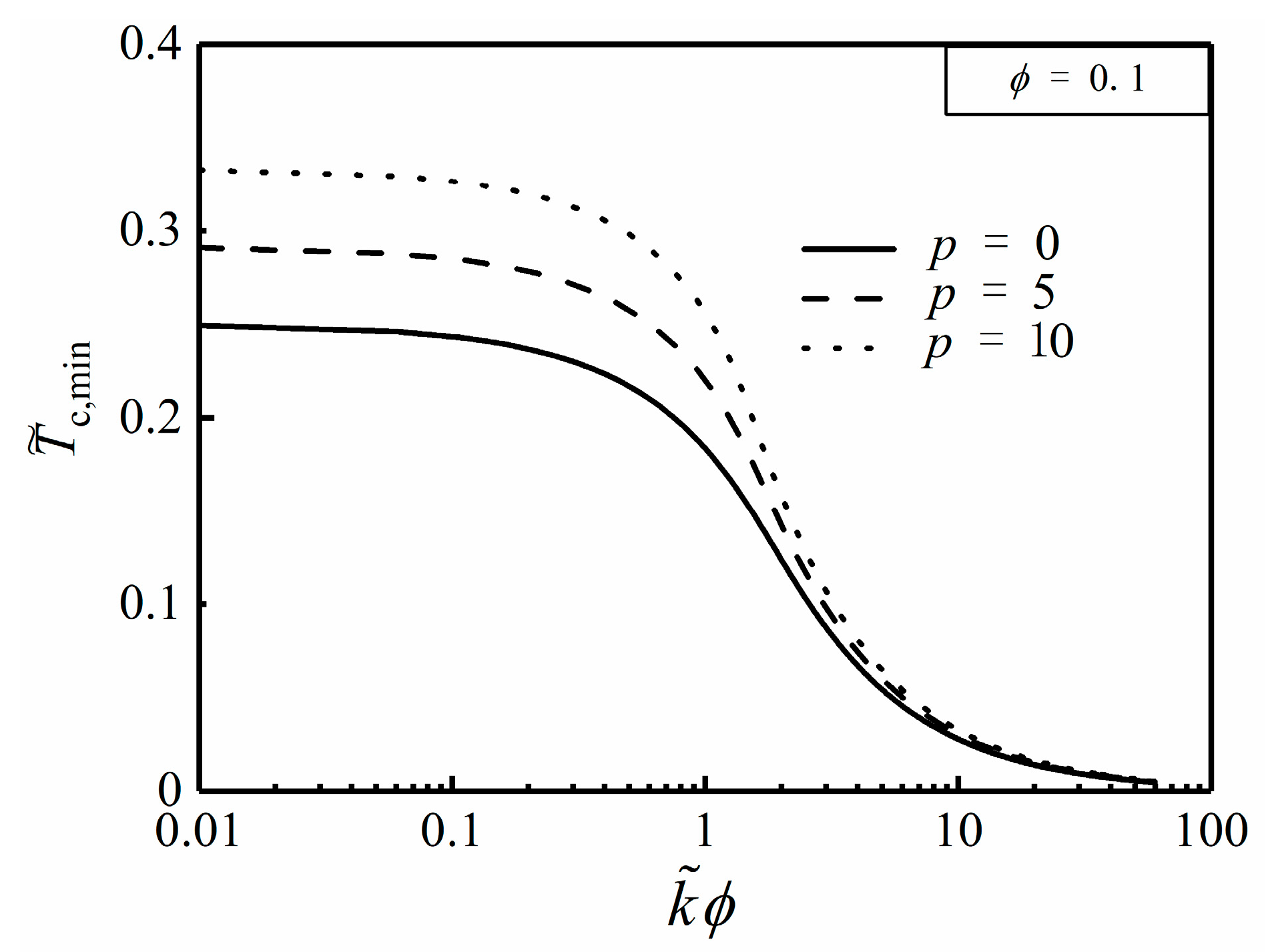
3.1. Constant Cross-Sectional HCCs
3.2. Variable Cross-Sectional HCCs
4. Conclusions
- (1)
- For the disc with constant cross-sectional HCCs, the optimal length ratio increases with the increase of , in this case that the HCCs need to protrude into the center of the disc where the heat is relatively concentrated. The deviation of the optimal constructs obtained from analytical method and finite element method is comparatively slight. When is equal to 10, of the disc with 25 HCCs is specifically reduced by 48.8% compared to that with 10 HCCs. As a result, the HCP of the disc can be efficiently improved by properly increasing the number of HCCs. In addition, the approach of increasing can also contribute to reduce the MTD and improve the HCP of the disc.
- (2)
- For the disc with variable cross-sectional HCCs, the of the disc in case of is decreased by 15.0% compared to that of in the premise of , and . Therefore, the geometry of variable cross-sectional HCCs takes advantage of distributing more high conductivity material near the region where heat is more concentrated, which can be applied in the constructal design of radial-pattern disc to improve its HCP.
Author Contributions
Funding
Conflicts of Interest
Nomenclatures
| Width [m] | |
| Heat generating rate function | |
| Thermal conductivity of heat generating area [W/(m·K)] | |
| Thermal conductivity of high conductivity material [W/(m·K)] | |
| Length [m] | |
| Width ratio | |
| Number of high conductivity channels | |
| Nonuniform heat generating coefficient | |
| Heat generating constant in per unit volume [W/m3] | |
| Heat current collected at the longitudinal direction of axis [W/m2] | |
| Heat current generated in the wedge-shaped area [W/m] | |
| Radius [m] | |
| Horizontal axis | |
| Temperature [K] | |
| Vertical axis | |
| Greek symbols | |
| Apex angle of each sectorial element | |
| Length ratio | |
| Area ratio of high conductivity material area to whole disc area | |
| Subscripts | |
| c | Center of disc |
| max | Maximum |
| min | Minimum |
| opt | Optimum |
| r | Rim of disc |
| superscript | |
| ~ | nondimensionalized |
Abbreviations
| HCC | High conductivity channel |
| HCP | Heat conduction performance |
| HGR | Heat generating rate |
| MTD | Maximum temperature difference |
| NUHG | Nonuniform heat generation |
References
- Li, B.T.; Hong, J.; Tian, X.Y. Generating optimal topologies for heat conduction by heat flow paths identification. Int. Commun. Heat Mass Transfer 2016, 75, 177–182. [Google Scholar] [CrossRef]
- Dbouk, T. A review about the engineering design of optimal heat transfer systems using topology optimization. Appl. Therm. Eng. 2017, 112, 841–854. [Google Scholar] [CrossRef]
- Manuel, M.C.E.; Lin, P.T. Design explorations of heat conductive pathways. Int. J. Heat Mass Transfer 2017, 104, 835–851. [Google Scholar] [CrossRef]
- Bejan, A. Shape and Structure, from Engineering to Nature; Cambridge University Press: Cambridge, UK, 2000. [Google Scholar]
- Bejan, A.; Lorente, S. Constructal theory of generation of configuration in nature and engineering. J. Appl. Phys. 2006, 100, 041301. [Google Scholar] [CrossRef]
- Bejan, A.; Lorente, S. Design with Constructal Theory; Wiley: Hoboken, NJ, USA, 2008. [Google Scholar]
- Ding, X.; Yamazaki, K. Constructal design of cooling channel in heat transfer system by utilizing optimality of branch systems in nature. J. Heat Transfer 2007, 129, 245–255. [Google Scholar] [CrossRef]
- Lorenzini, G.; Moretti, S.; Conti, A. Fin Shape Thermal Optimization Using Bejan’s Constructal Theory; Morgan & Claypool Publishers: San Francisco, CA, USA, 2011; pp. 1–219. [Google Scholar]
- Hajmohammadi, M.R.; Poozesh, S.; Hosseini, R. Radiation effect on constructal design analysis of a T-Y-shaped assembly of fins. J. Therm. Sci. Technol. 2012, 7, 677–692. [Google Scholar] [CrossRef]
- Chen, L.G. Progress in study on constructal theory and its application. Sci. China Technol. Sci. 2012, 55, 802–820. [Google Scholar] [CrossRef]
- Bejan, A.; Lorente, S. Constructal law of design and evolution: Physics, biology, technology, and society. J. Appl. Phys. 2013, 113, 151301. [Google Scholar] [CrossRef]
- Hajmohammadi, M.R.; Poozesh, S.; Campo, A.; Nourazar, S.S. Valuable reconsideration in the constructal design of cavities. Energy Convers. Mgmt. 2013, 66, 33–40. [Google Scholar] [CrossRef]
- Hajmohammadi, M.R.; Poozesh, S.; Rahmani, M.; Campo, A. Heat transfer improvement due to the imposition of non-uniform wall heating for in-tube laminar forced convection. Appl. Therm. Eng. 2013, 61, 268–277. [Google Scholar] [CrossRef]
- Yang, J.; Oh, S.R.; Liu, W. Optimization of shell-and-tube heat exchangers using a general design approach motivated by constructal theory. Int. J. Heat Mass Transfer 2014, 77, 1144–1154. [Google Scholar] [CrossRef]
- Bejan, A. Constructal law: optimization as design evolution. Trans. ASME J. Heat Transfer 2015, 137, 061003. [Google Scholar] [CrossRef]
- Xie, G.N.; Shen, H.; Wang, C.C. Parametric study on thermal performance of microchannel heat sinks with internal vertical Y-shaped bifurcations. Int. J. Heat Mass Transfer 2015, 90, 948–958. [Google Scholar] [CrossRef]
- Zhang, F.L.; Sunden, B.; Zhang, W.H.; Xie, G.N. Constructal parallel-flow and counter-flow microchannel heat sinks with bifurcations. Numer. Heat Transfer A-Appl. 2015, 68, 1087–1105. [Google Scholar] [CrossRef]
- Zhang, R.P.; Chen, Z.Y.; Xie, G.N.; Sunden, B. Numerical analysis of constructal water-cooled microchannel heat sinks with multiple bifurcations in the entrance region. Numer. Heat Transfer A-Appl. 2015, 67, 632–650. [Google Scholar] [CrossRef]
- Chen, L.G.; Feng, H.J.; Xie, Z.H. Generalized thermodynamic optimization for iron and steel production processes: Theoretical exploration and application cases. Entropy 2016, 18, 353. [Google Scholar] [CrossRef]
- Bejan, A.; Errera, M.R. Complexity, organization, evolution, and constructal law. J. Appl. Phys. 2016, 119, 074901. [Google Scholar] [CrossRef]
- Hajmohammadi, M.R. Introducing a ψ-shaped cavity for cooling a heat generating medium. Int. J. Therm. Sci. 2017, 121, 204–212. [Google Scholar] [CrossRef]
- Feng, H.J.; Chen, L.G.; Xie, Z.H. Multi-disciplinary, multi-objective and multi-scale constructal optimizations for heat and mass transfer processes performed in Naval University of Engineering, a review. Int. J. Heat Mass Transfer 2017, 115, 86–98. [Google Scholar] [CrossRef]
- Chen, L.G.; Xiao, Q.H.; Feng, H.J. Constructal optimizations for heat and mass transfers based on the entransy dissipation extremum principle, performed at the Naval University of Engineering; a review. Entropy 2018, 20, 74. [Google Scholar] [CrossRef]
- Miguel, A.F.; Rocha, L.A.O. Tree-Shaped Fluid Flow and Heat Transfer; Springer: New York, NY, USA, 2018. [Google Scholar]
- Chen, L.G.; Feng, H.J.; Xie, Z.H. Progress of constructal theory in China over the past decade. Int. J. Heat Mass Transfer 2017, 55. [Google Scholar] [CrossRef]
- Bejan, A. Constructal law, twenty years after. Proc. Rom. Acad. Ser. A Math. Phys. Tech. Sci. Inf. Sci. 2018, 18, 309–311. [Google Scholar]
- Bejan, A. Constructal-theory network of conducting path for cooling a heat generating volume. Int. J. Heat Mass Transfer 1997, 40, 799–816. [Google Scholar] [CrossRef]
- Neagu, M.; Bejan, A. Constructal-theory tree networks of “constant” thermal resistance. J. Appl. Phys. 1999, 86, 1136–1144. [Google Scholar] [CrossRef]
- Neagu, M.; Bejan, A. Three-dimensional tree constructs of “constant” thermal resistance. J. Appl. Phys. 1999, 86, 7107–7115. [Google Scholar] [CrossRef]
- Ghodoossi, L.; Egrican, N. Exact solution for cooling of electronics using constructal theory. J. Appl. Phys. 2003, 93, 4922–4929. [Google Scholar] [CrossRef]
- Wu, W.J.; Chen, L.G.; Sun, F.R. On the “area to point” flow problem based on constructal theory. Energy Convers. Mgmt. 2007, 48, 101–105. [Google Scholar] [CrossRef]
- Wei, S.H.; Chen, L.G.; Sun, F.R. The volume-point constructal optimization for discrete variable cross-section conducting path. Appl. Energy 2009, 86, 1111–1118. [Google Scholar] [CrossRef]
- Lorenzini, G.; Biserni, C.; Dalpiaz, F.L.; Fagundes, T.M.; Rocha, L.A.O. Geometric optimization of T-shaped constructs coupled with a heat generating basement: A numerical approach motivated by Bejan’s constructal theory. J. Eng. Thermophys. 2017, 26, 485–497. [Google Scholar] [CrossRef]
- Lorenzini, G.; Biserni, C.; Rocha, L.A.O. Constructal design of X-shaped conductive pathways for cooling a heat-generating body. Int. J. Heat Mass Transfer 2013, 58, 513–520. [Google Scholar] [CrossRef]
- Lorenzini, G.; Biserni, C.; Rocha, L.A.O. Constructal design of non-uniform X-shaped conductive pathways for cooling. Int. J. Therm. Sci. 2013, 71, 140–147. [Google Scholar] [CrossRef]
- Hajmohammadi, M.R. Phi and Psi shaped conductive routes for improved cooling in a heat generating piece. Int. J. Therm. Sci. 2014, 77, 66–74. [Google Scholar] [CrossRef]
- Hajmohammadi, M.R.; Lorenzini, G.; Shariatzadeh, O.J.; Biserni, C. Evolution in the design of V-shaped highly conductive pathways embedded in a heat-generating piece. Trans. ASME J. Heat Transfer 2015, 137, 061001. [Google Scholar] [CrossRef]
- Feng, H.J.; Chen, L.G.; Xie, Z.H.; Sun, F.R. Constructal design for “+” shaped high conductive pathways over a square body. Int. J. Heat Mass Transfer 2015, 91, 162–169. [Google Scholar] [CrossRef]
- Lorenzini, G.; Barreto, E.X.; Beckel, C.C.; Schneider, P.S. Constructal design of I-shaped high conductive pathway for cooling a heat-generating medium considering the thermal contact resistance. Int. J. Heat Mass Transfer 2016, 93, 770–777. [Google Scholar] [CrossRef]
- Beckel, C.C.; Isoldi, L.A.; Santos, E.D.D.; Rocha, L.A.O. Constructal design of non-uniform T-shaped conductive pathways for cooling heat generating bodies. Vetor Rio Grande 2016, 26, 2–13. [Google Scholar]
- Lorenzini, G.; Barreto, E.X.; Beckel, C.C.; Schneider, P.S.; Isoldi, L.A.; Santos, E.D.; Rocha, L.A.O. Geometrical evaluation of T-shaped high conductive pathway with thermal contact resistance for cooling of heat-generating medium. Int. J. Heat Mass Transfer 2017, 108, 1884–1893. [Google Scholar] [CrossRef]
- Ghodoossi, L.; Egrican, N. Conductive cooling of triangular shaped electronics using constructal theory. Energy Convers. Manag. 2004, 45, 811–828. [Google Scholar] [CrossRef]
- Feng, H.J.; Chen, L.G.; Xiao, Q.H.; Sun, F.R. Global constructal optimization design for triangular assembly at micro and nanoscales. CIESC J. 2012, 63, 47–53. (In Chinese) [Google Scholar]
- Chen, L.G.; Wu, W.J.; Sun, F.R. Constructal re-optimization of heat conduction with the triangular elemental area. Int. J. Low-Carbon Technol. 2014, 9, 256–261. [Google Scholar] [CrossRef]
- Feng, H.J.; Chen, L.G.; Xie, Z.H.; Sun, F.R. “Volume-point” heat conduction constructal optimization based on minimization of maximum thermal resistance with triangular element at micro and nanoscales. J. Energy Inst. 2016, 89, 302–312. [Google Scholar] [CrossRef]
- Silva, A.K.D.; Vasile, C.; Bejan, A. Disc cooled with high-conductivity inserts that extend inward from the perimeter. Int. J. Heat Mass Transfer 2004, 47, 4257–4263. [Google Scholar] [CrossRef]
- Sharifi, F.; Ghaedmini, H.; Salimpour, M.R. Using incomplete variable cross-section highly conductive inserts for cooling a disc. Front. Heat Mass Transfer 2012, 3, 043005. [Google Scholar]
- Rocha, L.A.O.; Lorente, S.; Bejan, A. Constructal design for cooling a disc-shaped area by conduction. Int. J. Heat Mass Transfer 2002, 45, 1643–1652. [Google Scholar] [CrossRef]
- Rocha, L.A.O.; Lorente, S.; Bejan, A. Conduction tree networks with loops for cooling a heat generating volume. Int. J. Heat Mass Transfer 2006, 49, 2626–2635. [Google Scholar] [CrossRef]
- Xiao, Q.H.; Chen, L.G.; Sun, F.R. Constructal optimization for “disc-to-point” heat conduction without the premise of optimized last-order construct. Int. J. Therm. Sci. 2011, 50, 1031–1036. [Google Scholar] [CrossRef]
- Bahadormanesh, N.; Salimpour, M.R. Constructal design of high-emissivity radiation inserts embedded in a disc-shaped heat generation body. Appl. Therm. Eng. 2016, 112, 638–648. [Google Scholar] [CrossRef]
- Sharfi, F.; Salimpuor, R.M.; Campo, A. Cooling a solid disc with uniform heat generation using inserts of high thermal conductivity within the constructal design platform. Int. J. Therm. Environ. Eng. 2016, 12, 15–26. [Google Scholar]
- Chen, L.G.; Feng, H.J.; Xie, Z.H.; Sun, F.R. Constructal optimization for “disc-point” heat conduction at micro and nanoscales. Int. J. Heat Mass Transfer 2013, 67, 704–711. [Google Scholar] [CrossRef]
- Daneshi, M.; Zare, M.; Salimpour, M.R. Micro and nano-scale conductive tree-structures for cooling a disc-shaped electronic piece. Trans. ASME J. Heat Transfer 2013, 135, 031401. [Google Scholar] [CrossRef]
- Cetkin, E.; Oliani, A. The natural emergence of asymmetric tree-shaped pathways for cooling of a non-uniformly heated domain. J. Appl. Phys. 2015, 118, 024902. [Google Scholar] [CrossRef]
- Feng, H.J.; Chen, L.G.; Xie, Z.H.; Sun, F.R. Constructal design for a rectangular body with nonuniform heat generation. Eur. Phys. J. Plus 2016, 131, 274. [Google Scholar] [CrossRef]
- Feng, H.J.; Chen, L.G.; Xie, Z.H.; Sun, F.R. Constructal entransy dissipation rate minimization of a rectangular body with nonuniform heat generation. Sci. China Technol. Sci. 2016, 59, 1352–1359. [Google Scholar] [CrossRef]
- You, J.; Feng, H.J.; Chen, L.G.; Xie, Z.H. Heat conduction constructal optimization for nonuniform heat generating area based on triangular element. Int. J. Heat Mass Transfer 2018, 117, 896–902. [Google Scholar] [CrossRef]













© 2018 by the authors. Licensee MDPI, Basel, Switzerland. This article is an open access article distributed under the terms and conditions of the Creative Commons Attribution (CC BY) license (http://creativecommons.org/licenses/by/4.0/).
Share and Cite
You, J.; Feng, H.; Chen, L.; Xie, Z. Constructal Optimization for Cooling a Non-Uniform Heat Generating Radial-Pattern Disc by Conduction. Entropy 2018, 20, 685. https://doi.org/10.3390/e20090685
You J, Feng H, Chen L, Xie Z. Constructal Optimization for Cooling a Non-Uniform Heat Generating Radial-Pattern Disc by Conduction. Entropy. 2018; 20(9):685. https://doi.org/10.3390/e20090685
Chicago/Turabian StyleYou, Jiang, Huijun Feng, Lingen Chen, and Zhihui Xie. 2018. "Constructal Optimization for Cooling a Non-Uniform Heat Generating Radial-Pattern Disc by Conduction" Entropy 20, no. 9: 685. https://doi.org/10.3390/e20090685
APA StyleYou, J., Feng, H., Chen, L., & Xie, Z. (2018). Constructal Optimization for Cooling a Non-Uniform Heat Generating Radial-Pattern Disc by Conduction. Entropy, 20(9), 685. https://doi.org/10.3390/e20090685

