Numerical Investigation of Mixed Convection and Entropy Generation in a Wavy-Walled Cavity Filled with Nanofluid and Involving a Rotating Cylinder
Abstract
1. Introduction
2. Mathematical Formulation
3. Numerical Method and Verification
4. Results and Discussion
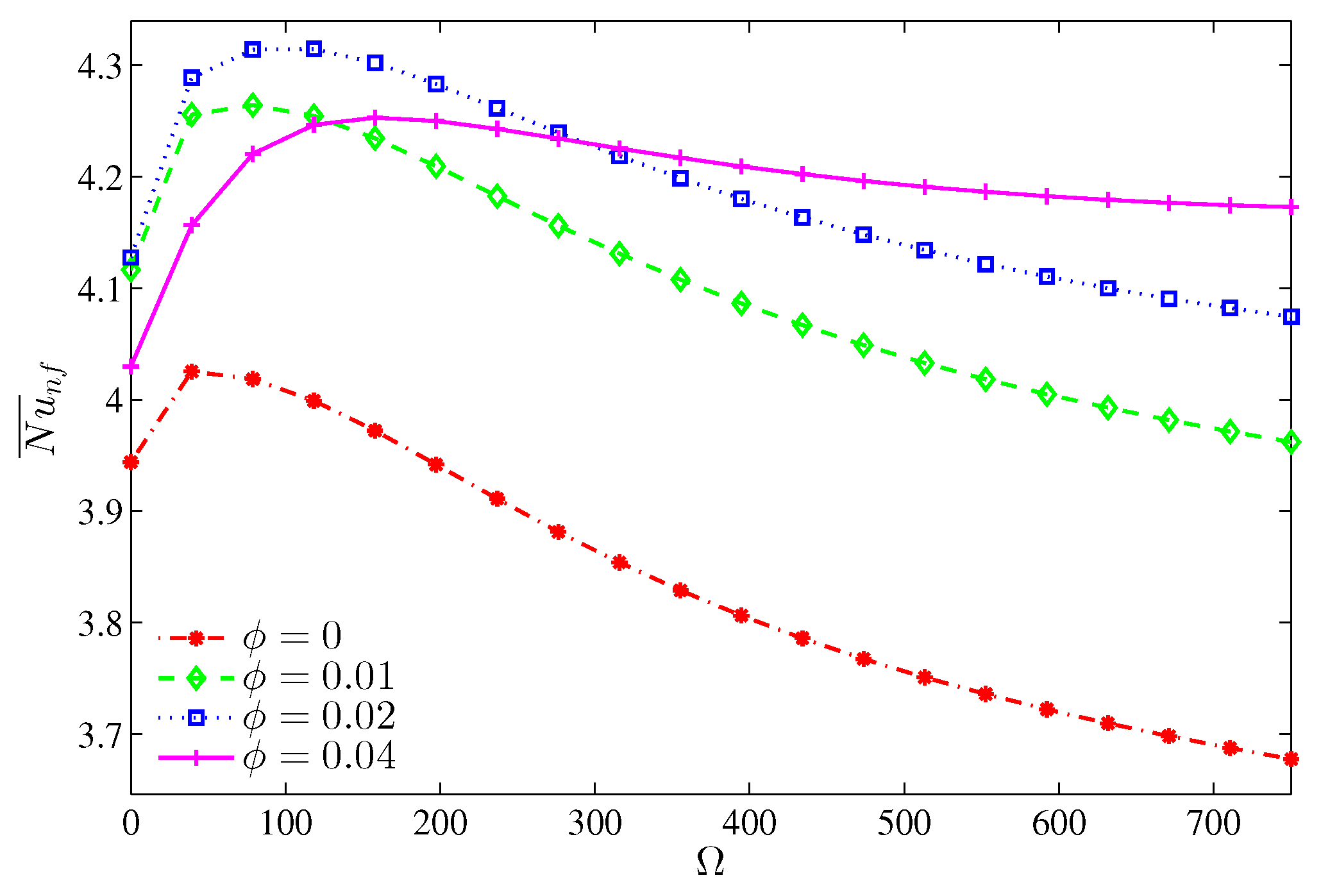
4.1. Effect of the Rotational Speed
4.2. Effect of Undulations
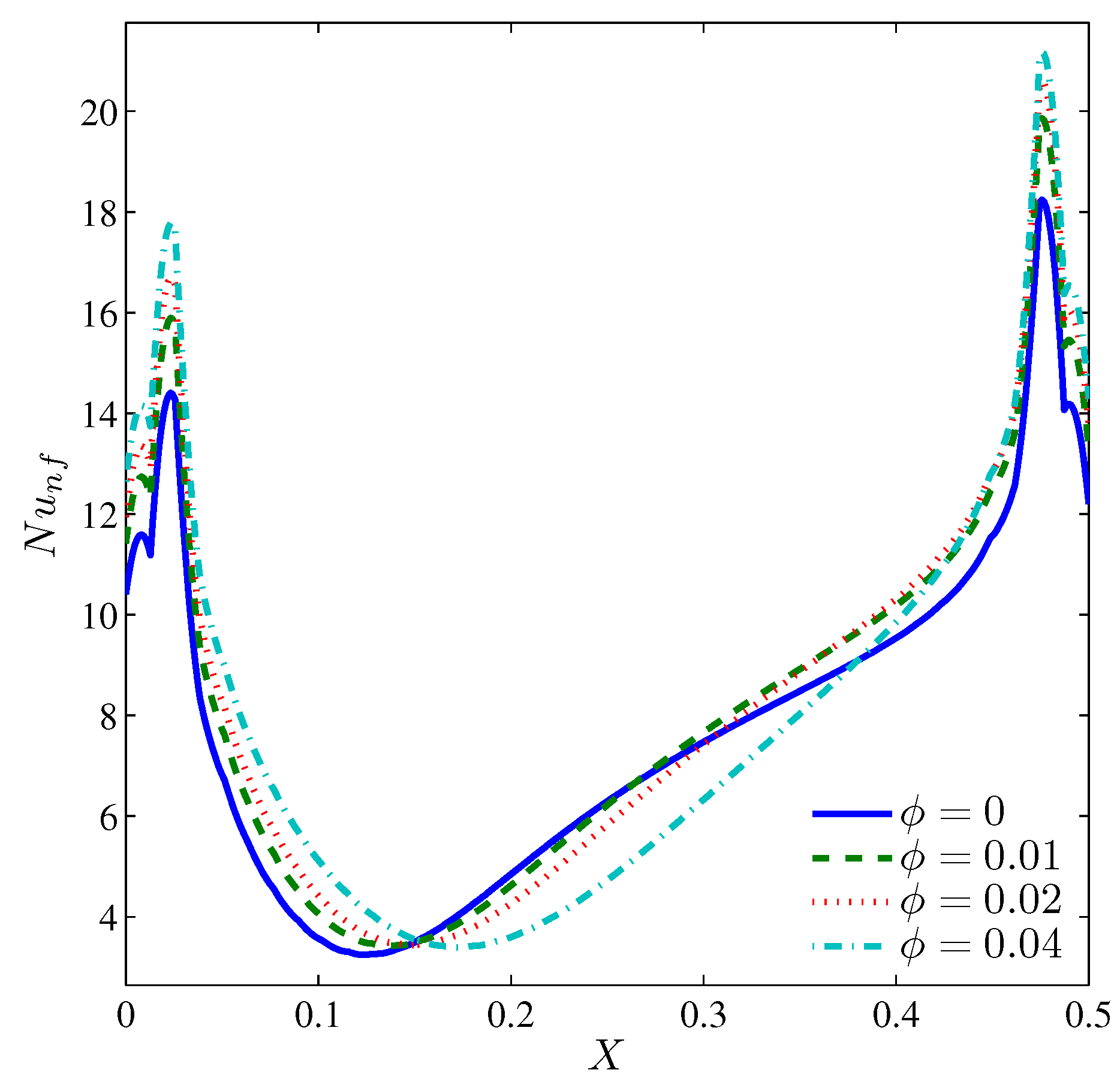
4.3. Effect of Nanofluid Loading
4.4. Effect of Heater Length
5. Conclusions
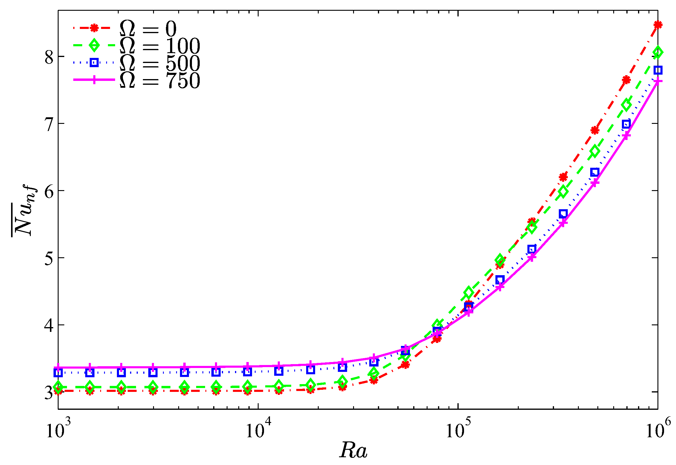
- The role of the cylinder velocity is related to other parameters in a sophisticated manner. Based on the heat transfer enhancement, we found that for a wavy wall () and for , the optimum velocity should be within the range 100–200.
- For , the rotation of the cylinder exhibits an adverse action on the convective heat transfer.
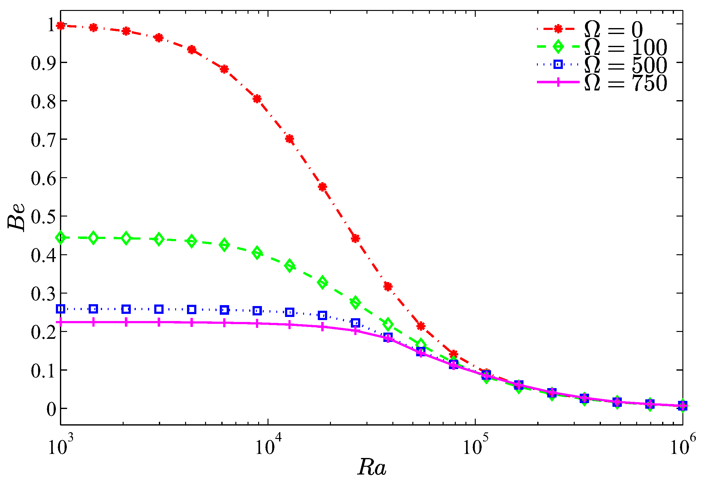
- For a motionless cylinder, the heat transfer irreversibility is dominant, while for a rotating cylinder, the generated entropy results mainly from the nanofluid friction irreversibility.
- The entropy generation due to the nanofluid friction irreversibility increases with increasing values of the rotational velocity within the Rayleigh range of , while beyond this range, the rotational speed has no effect on the irreversibility ratio.
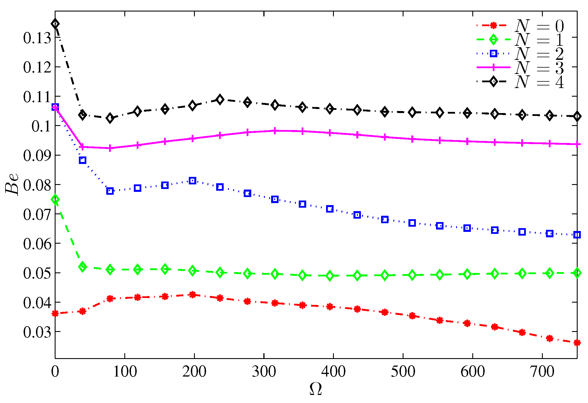
- The entropy generation due to heat transfer irreversibility becomes significant when the number of undulation increases; this is associated with the early separation of nanofluid from the lower parts of the wavy wall.
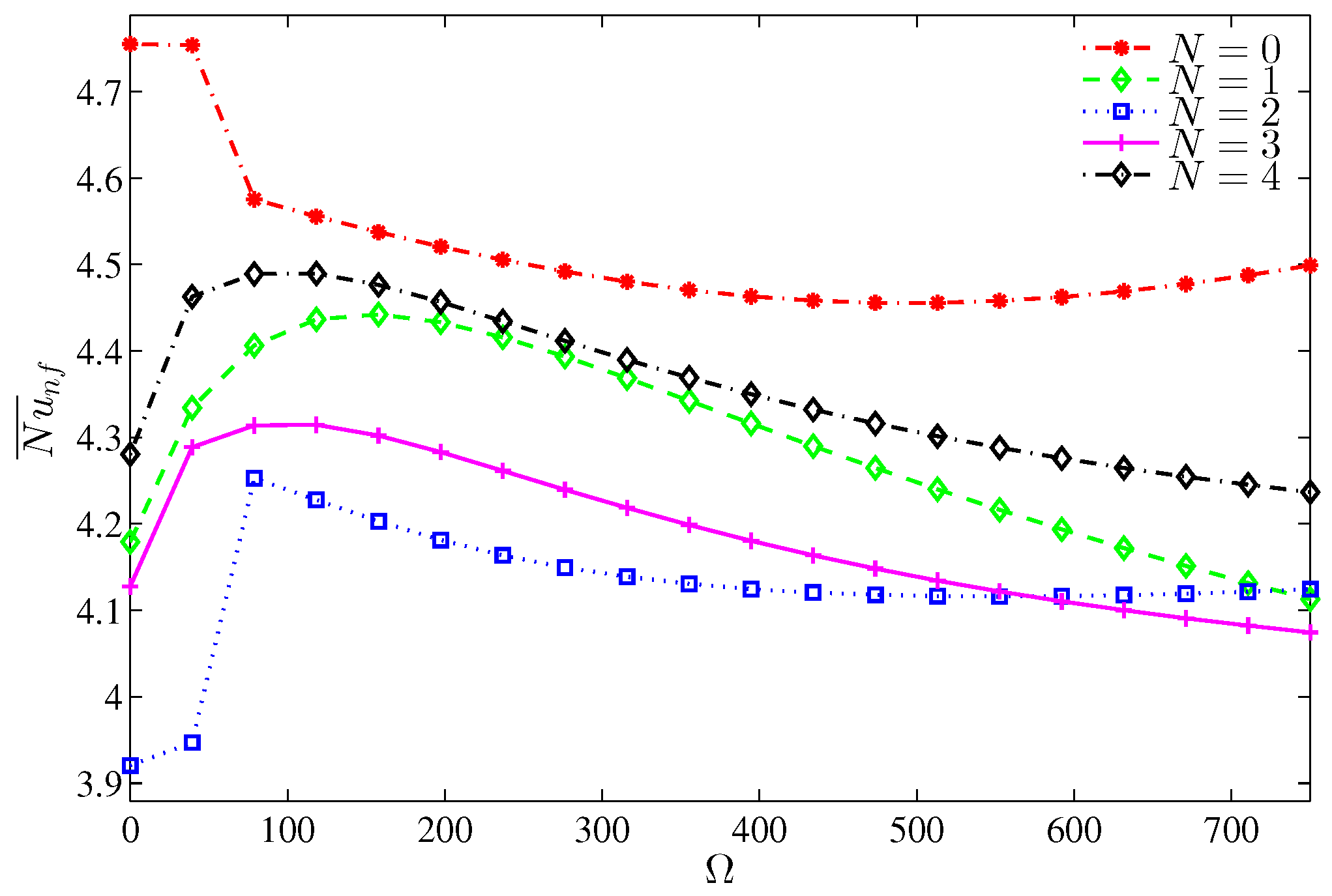
- The number of undulations affects the average Nusselt number for a still cylinder, while for a rotating cylinder, this effect is less significant. However, at , the undulation of the walls reduces the average Nusselt number.
- The convective heat transfer rises with the increase of the volume fraction of the nanoparticles and with the length of the heater segment.
- The Bejan number increases with the increase of the number of undulations because of the early separation from the lower protruding segment.
- When the heater size corresponds to the radius of the rotating cylinder, the thermal boundary layer, which is concentrated at the heater edges, is destroyed.
Author Contributions
Funding
Acknowledgments
Conflicts of Interest
Abbreviations
| A | amplitude |
| Bejan number | |
| specific heat capacity | |
| diameter of the base fluid molecule | |
| diameter of the nanoparticle | |
| g | gravitational acceleration |
| GEG | Dimensionless global entropy generation |
| H | dimensionless length of the heat source, |
| k | thermal conductivity |
| inner block to nanofluid thermal conductivity ratio, | |
| L | width and height of the square cavity |
| N | number of undulations |
| irreversibility distribution ratio | |
| average Nusselt number | |
| Pr | Prandtl number |
| r & R | radius of rotating cylinder & dimensionless radius of rotating cylinder |
| Rayleigh number | |
| Entropy generation rate | |
| Dimensionless entropy generation rate | |
| dimensionless entropy generation due to heat transfer irreversibility | |
| dimensionless entropy generation nanofluid friction irreversibility | |
| Brownian motion Reynolds number | |
| T | temperature |
| reference temperature (310 K) | |
| freezing point of the base fluid (273.15 K) | |
| , | velocity and dimensionless velocity vector |
| Brownian velocity of the nanoparticle | |
| x, y & X, Y | space coordinates & dimensionless space coordinates |
| Greek symbols | |
| thermal diffusivity | |
| thermal expansion coefficient | |
| normalized temperature parameter | |
| dimensionless temperature | |
| dimensionless length of the surface of the cylinder | |
| dynamic viscosity | |
| kinematic viscosity | |
| density | |
| solid volume fraction | |
| angular rotational velocity, dimensionless angular rotational velocity | |
| Subscript | |
| b | bottom |
| c | cold |
| f | base fluid |
| h | hot |
| nanofluid | |
| p | solid nanoparticles |
| s | solid cylinder |
References
- Long, G.; Xu, G. The effects of perforation erosion on practical hydraulic-fracturing applications. SPE J. 2017, 22, 645–659. [Google Scholar] [CrossRef]
- Xiao, B.; Chen, H.; Xiao, S.; Cai, J. Research on relative permeability of nanofibers with capillary pressure effect by means of Fractal-Monte Carlo technique. J. Nanosci. Nanotechnol. 2017, 17, 6811–6817. [Google Scholar] [CrossRef]
- Shenoy, A.; Sheremet, M.; Pop, I. Convective Flow and Heat Transfer from Wavy Surfaces: Viscous Fluids, Porous Media, and Nanofluids; CRC Press: Boca Raton, FL, USA, 2016. [Google Scholar]
- Torrance, K.; Davis, R.; Eike, K.; Gill, P.; Gutman, D.; Hsui, A.; Lyons, S.; Zien, H. Cavity flows driven by buoyancy and shear. J. Fluid Mech. 1972, 51, 221–231. [Google Scholar] [CrossRef]
- Iwatsu, R.; Hyun, J.M.; Kuwahara, K. Analyses of three-dimensional flow calculations in a driven cavity. Fluid Dyn. Res. 1990, 6, 91–102. [Google Scholar] [CrossRef]
- Iwatsu, R.; Hyun, J.M.; Kuwahara, K. Mixed convection in a driven cavity with a stable vertical temperature gradient. Int. J. Heat Mass Transf. 1993, 36, 1601–1608. [Google Scholar] [CrossRef]
- Abu-Nada, E.; Chamkha, A.J. Mixed convection flow of a nanofluid in a lid-driven cavity with a wavy wall. Int. Commun. Heat Mass Transf. 2014, 57, 36–47. [Google Scholar] [CrossRef]
- Al-Amiri, A.M.; Khanafer, K.M.; Pop, I. Numerical simulation of combined thermal and mass transport in a square lid-driven cavity. Int. J. Therm. Sci. 2007, 46, 662–671. [Google Scholar] [CrossRef]
- Ismael, M.A.; Pop, I.; Chamkha, A.J. Mixed convection in a lid-driven square cavity with partial slip. Int. J. Therm. Sci. 2014, 82, 47–61. [Google Scholar] [CrossRef]
- Ismael, M.A. Numerical solution of mixed convection in a lid-driven cavity with arc-shaped moving wall. Eng. Comput. 2017, 34, 869–891. [Google Scholar] [CrossRef]
- Alsabery, A.I.; Ismael, M.A.; Chamkha, A.J.; Hashim, I. Mixed convection of Al2O3–water nanofluid in a double lid-driven square cavity with a solid inner insert using Buongiorno’s two-phase model. Int. J. Heat Mass Transf. 2018, 119, 939–961. [Google Scholar] [CrossRef]
- Fu, W.S.; Cheng, C.S.; Shieh, W.J. Enhancement of natural convection heat transfer of an enclosure by a rotating circular cylinder. Int. J. Heat Mass Transf. 1994, 37, 1885–1897. [Google Scholar] [CrossRef]
- Yoon, H.S.; Ha, M.Y.; Kim, B.S.; Yu, D.H. Effect of the position of a circular cylinder in a square enclosure on natural convection at Rayleigh number of 107. Phys. Fluids 2009, 21, 047101. [Google Scholar] [CrossRef]
- Costa, V.; Raimundo, A. Steady mixed convection in a differentially heated square enclosure with an active rotating circular cylinder. Int. J. Heat Mass Transf. 2010, 53, 1208–1219. [Google Scholar] [CrossRef]
- Chatterjee, D.; Mondal, B.; Halder, P. Hydromagnetic mixed convective transport in a vertical lid-driven cavity including a heat conducting rotating circular cylinder. Numer. Heat Transf. Part A 2014, 65, 48–65. [Google Scholar] [CrossRef]
- Liao, C.C.; Lin, C.A. Mixed convection of a heated rotating cylinder in a square enclosure. Int. J. Heat Mass Transf. 2014, 72, 9–22. [Google Scholar] [CrossRef]
- Roslan, R.; Saleh, H.; Hashim, I. Effect of rotating cylinder on heat transfer in a square enclosure filled with nanofluids. Int. J. Heat Mass Transf. 2012, 55, 7247–7256. [Google Scholar] [CrossRef]
- Liao, C.C.; Lin, C.A. Influence of Prandtl number on the instability of natural convection flows within a square enclosure containing an embedded heated cylinder at moderate Rayleigh number. Phys. Fluids 2015, 27, 013603. [Google Scholar] [CrossRef]
- Wang, Y.F.; Xu, X.; Tian, T.; Fan, L.W.; Wang, W.L.; Yu, Z.T. Laminar mixed convection heat transfer of SiC-EG nanofluids in a triangular enclosure with a rotating inner cylinder: Simulations based on the measured thermal conductivity and viscosity. J. Zhejiang Univ. Sci. A 2015, 16, 478–490. [Google Scholar] [CrossRef]
- Chamkha, A.J.; Selimefendigil, F.; Ismael, M.A. Mixed convection in a partially layered porous cavity with an inner rotating cylinder. Numer. Heat Transf. Part A 2016, 69, 659–675. [Google Scholar] [CrossRef]
- Selimefendigil, F.; Ismael, M.A.; Chamkha, A.J. Mixed convection in superposed nanofluid and porous layers in square enclosure with inner rotating cylinder. Int. J. Mech. Sci. 2017, 124, 95–108. [Google Scholar] [CrossRef]
- Ismael, M.A.; Selimefendigil, F.; Chamkha, A.J. Mixed convection in a vertically layered fluid-porous medium enclosure with two inner rotating cylinders. J. Porous Media 2017, 20, 491–511. [Google Scholar] [CrossRef]
- Adjlout, L.; Imine, O.; Azzi, A.; Belkadi, M. Laminar natural convection in an inclined cavity with a wavy wall. Int. J. Heat Mass Transf. 2002, 45, 2141–2152. [Google Scholar] [CrossRef]
- Varol, Y.; Oztop, H.F. Free convection in a shallow wavy enclosure. Int. Commun. Heat Mass Transf. 2006, 33, 764–771. [Google Scholar] [CrossRef]
- Oztop, H.F.; Abu-Nada, E.; Varol, Y.; Chamkha, A. Natural convection in wavy enclosures with volumetric heat sources. Int. J. Therm. Sci. 2011, 50, 502–514. [Google Scholar] [CrossRef]
- Nasrin, R. Influences of physical parameters on mixed convection in a horizontal lid-driven cavity with an undulating base surface. Numer. Heat Transf. Part A 2012, 61, 306–321. [Google Scholar] [CrossRef]
- Mekroussi, S.; Nehari, D.; Bouzit, M.; Chemloul, N.E.S. Analysis of mixed convection in an inclined lid-driven cavity with a wavy wall. J. Mech. Sci. Technol. 2013, 27, 2181. [Google Scholar] [CrossRef]
- Nasrin, R.; Alim, M.; Chamkha, A.J. Combined convection flow in triangular wavy chamber filled with water–CuO nanofluid: Effect of viscosity models. Int. Commun. Heat Mass Transf. 2012, 39, 1226–1236. [Google Scholar] [CrossRef]
- Hatami, M.; Song, D.; Jing, D. Optimization of a circular-wavy cavity filled by nanofluid under the natural convection heat transfer condition. Int. J. Heat Mass Transf. 2016, 98, 758–767. [Google Scholar] [CrossRef]
- Sheremet, M.A.; Pop, I.; Roşca, N.C. Magnetic field effect on the unsteady natural convection in a wavy-walled cavity filled with a nanofluid: Buongiorno’s mathematical model. J. Taiwan Inst. Chem. Eng. 2016, 61, 211–222. [Google Scholar] [CrossRef]
- Xiao, B.Q.; Jiang, G.P.; Yang, Y.; Zheng, D.M. Prediction of convective heat transfer of nanofluids based on fractal-Monte Carlo simulations. Int. J. Mod. Phys. C 2013, 24, 1250090. [Google Scholar] [CrossRef]
- Xiao, B.; Zhang, X.; Wang, W.; Long, G.; Chen, H.; Kang, H.; Ren, W. A fractal model for water flow through unsaturated porous rocks. Fractals 2018, 26, 1840015. [Google Scholar] [CrossRef]
- Xiao, B.; Wang, W.; Fan, J.; Chen, H.; Hu, X.; Zhao, D.; Zhang, X.; Ren, W. Optimization of the fractal-like architecture of porous fibrous materials related to permeability, diffusivity and thermal conductivity. Fractals 2017, 25, 1750030. [Google Scholar] [CrossRef]
- Bejan, A. A study of entropy generation in fundamental convective heat transfer. J. Heat Transf. 1979, 101, 718–725. [Google Scholar] [CrossRef]
- Bejan, A. Second-law analysis in heat transfer and thermal design. Adv. Heat Transf. 1982, 15, 1–58. [Google Scholar]
- Bejan, A. Entropy Generation Minimization: The Method of Thermodynamic Optimization of Finite-Size Systems and Finite-Time Processes; CRC Press: Boca Raton, FL, USA, 1995. [Google Scholar]
- Mahmud, S.; Fraser, R.A. Free convection and entropy generation inside a vertical inphase wavy cavity. Int. Commun. Heat Mass Transf. 2004, 31, 455–466. [Google Scholar] [CrossRef]
- Bouabid, M.; Magherbi, M.; Hidouri, N.; Brahim, A.B. Entropy generation at natural convection in an inclined rectangular cavity. Entropy 2011, 13, 1020–1033. [Google Scholar] [CrossRef]
- Ilis, G.G.; Mobedi, M.; Sunden, B. Effect of aspect ratio on entropy generation in a rectangular cavity with differentially heated vertical walls. Int. Commun. Heat Mass Transf. 2008, 35, 696–703. [Google Scholar] [CrossRef]
- Cheng, X.; Liang, X. Discussion on the applicability of entropy generation minimization to the analyses and optimizations of thermodynamic processes. Energy Convers. Manag. 2013, 73, 121–127. [Google Scholar] [CrossRef]
- Mamourian, M.; Shirvan, K.M.; Ellahi, R.; Rahimi, A. Optimization of mixed convection heat transfer with entropy generation in a wavy surface square lid-driven cavity by means of Taguchi approach. Int. J. Heat Mass Transf. 2016, 102, 544–554. [Google Scholar] [CrossRef]
- Esfahani, J.A.; Akbarzadeh, M.; Rashidi, S.; Rosen, M.; Ellahi, R. Influences of wavy wall and nanoparticles on entropy generation over heat exchanger plat. Int. J. Heat Mass Transf. 2017, 109, 1162–1171. [Google Scholar] [CrossRef]
- Sheremet, M.A.; Oztop, H.F.; Pop, I.; Abu-Hamdeh, N. Analysis of entropy generation in natural convection of nanofluid inside a square cavity having hot solid block: Tiwari and Das’ model. Entropy 2016, 18, 9. [Google Scholar] [CrossRef]
- Kashani, S.; Ranjbar, A.; Mastiani, M.; Mirzaei, H. Entropy generation and natural convection of nanoparticle–water mixture (nanofluid) near water density inversion in an enclosure with various patterns of vertical wavy walls. Appl. Math. Comput. 2014, 226, 180–193. [Google Scholar] [CrossRef]
- Cho, C.C.; Yau, H.T.; Chiu, C.H.; Chiu, K.C. Numerical investigation into natural convection and entropy generation in a nanofluid-filled U-shaped cavity. Entropy 2015, 17, 5980–5994. [Google Scholar] [CrossRef]
- Ting, T.W.; Hung, Y.M.; Guo, N. Entropy generation of viscous dissipative nanofluid flow in thermal non-equilibrium porous media embedded in microchannels. Int. J. Heat Mass Transf. 2015, 81, 862–877. [Google Scholar] [CrossRef]
- Ismael, M.A.; Armaghani, T.; Chamkha, A.J. Conjugate heat transfer and entropy generation in a cavity filled with a nanofluid-saturated porous media and heated by a triangular solid. J. Taiwan Inst. Chem. Eng. 2016, 59, 138–151. [Google Scholar] [CrossRef]
- Cho, C.C.; Yau, H.T.; Chen, C.K. Enhancement of natural convection heat transfer in a U-shaped cavity filled with Al2O3–water nanofluid. Therm. Sci. 2012, 16, 1317–1323. [Google Scholar] [CrossRef]
- Chamkha, A.; Ismael, M.; Kasaeipoor, A.; Armaghani, T. Entropy generation and natural convection of CuO–water nanofluid in C-shaped cavity under magnetic field. Entropy 2016, 18, 50. [Google Scholar] [CrossRef]
- Chamkha, A.; Rashad, A.; Mansour, M.; Armaghani, T.; Ghalambaz, M. Effects of heat sink and source and entropy generation on MHD mixed convection of a Cu–water nanofluid in a lid-driven square porous enclosure with partial slip. Phys. Fluids 2017, 29, 052001. [Google Scholar] [CrossRef]
- Rashidi, S.; Akar, S.; Bovand, M.; Ellahi, R. Volume of fluid model to simulate the nanofluid flow and entropy generation in a single slope solar still. Renew. Energy 2018, 115, 400–410. [Google Scholar] [CrossRef]
- Qasim, M.; Hayat Khan, Z.; Khan, I.; Al-Mdallal, Q.M. Analysis of entropy generation in flow of methanol-based nanofluid in a sinusoidal wavy channel. Entropy 2017, 19, 490. [Google Scholar] [CrossRef]
- Darbari, B.; Rashidi, S.; Abolfazli Esfahani, J. Sensitivity analysis of entropy generation in nanofluid flow inside a channel by response surface methodology. Entropy 2016, 18, 52. [Google Scholar] [CrossRef]
- Kefayati, G.R.; Tang, H. Double-diffusive laminar natural convection and entropy generation of Carreau fluid in a heated enclosure with an inner circular cold cylinder (Part II: Entropy generation). Int. J. Heat Mass Transf. 2018, 120, 683–713. [Google Scholar] [CrossRef]
- Alsabery, A.I.; Tayebi, T.; Chamkha, A.J.; Hashim, I. Effect of rotating solid cylinder on entropy generation and convective heat transfer in a wavy porous cavity heated from below. Int. Commun. Heat Mass Transf. 2018, 95, 197–209. [Google Scholar] [CrossRef]
- Alsabery, A.I.; Hashim, I.; Chamkha, A.J.; Saleh, H.; Chanane, B. Effect of spatial side-wall temperature variation on transient natural convection of a nanofluid in a trapezoidal cavity. Int. J. Numer. Methods Heat Fluids Flow 2017, 27, 1365–1384. [Google Scholar] [CrossRef]
- Alsabery, A.I.; Ishak, M.S.; Chamkha, A.J.; Hashim, I. Entropy generation analysis and natural convection in a nanofluid-filled square cavity with a concentric solid insert and different temperature distributions. Entropy 2018, 20, 336. [Google Scholar] [CrossRef]
- Nasrin, R.; Parvin, S. Investigation of buoyancy-driven flow and heat transfer in a trapezoidal cavity filled with water–Cu nanofluid. Int. Commun. Heat Mass Transf. 2012, 39, 270–274. [Google Scholar] [CrossRef]
- Corcione, M. Empirical correlating equations for predicting the effective thermal conductivity and dynamic viscosity of nanofluids. Energy Convers. Manag. 2011, 52, 789–793. [Google Scholar] [CrossRef]
- Bergman, T.L.; Incropera, F.P. Introduction to Heat Transfer, 6th ed.; Wiley: New York, NY, USA, 2011. [Google Scholar]
- Chon, C.H.; Kihm, K.D.; Lee, S.P.; Choi, S.U. Empirical correlation finding the role of temperature and particle size for nanofluid (Al2O3) thermal conductivity enhancement. Appl. Phys. Lett. 2005, 87, 3107. [Google Scholar] [CrossRef]
- Corcione, M.; Cianfrini, M.; Quintino, A. Two-phase mixture modeling of natural convection of nanofluids with temperature-dependent properties. Int. J. Therm. Sci. 2013, 71, 182–195. [Google Scholar] [CrossRef]
- Ho, C.; Liu, W.; Chang, Y.; Lin, C. Natural convection heat transfer of alumina–water nanofluid in vertical square enclosures: An experimental study. Int. J. Therm. Sci. 2010, 49, 1345–1353. [Google Scholar] [CrossRef]





















| Grid Size | Number of Elements | |||
|---|---|---|---|---|
| G1 | 2971 | −2.5253 | 3.9993 | 0.096561 |
| G2 | 3403 | −2.5422 | 4.0531 | 0.096649 |
| G3 | 3909 | −2.5707 | 4.0668 | 0.096811 |
| G4 | 4810 | −2.5901 | 4.1051 | 0.097009 |
| G5 | 11,794 | −2.6276 | 4.2542 | 0.097107 |
| G6 | 27,151 | −2.6407 | 4.2552 | 0.097162 |
| G7 | 32,745 | −2.6443 | 4.2562 | 0.097179 |
| Physical Properties | Fluid Phase (Water) | AlO |
|---|---|---|
| 4178 | 765 | |
| 993 | 3970 | |
| 0.628 | 40 | |
| 36.2 | 0.85 | |
| 695 | – | |
| 0.385 | 33 |
© 2018 by the authors. Licensee MDPI, Basel, Switzerland. This article is an open access article distributed under the terms and conditions of the Creative Commons Attribution (CC BY) license (http://creativecommons.org/licenses/by/4.0/).
Share and Cite
Alsabery, A.I.; Ismael, M.A.; Chamkha, A.J.; Hashim, I. Numerical Investigation of Mixed Convection and Entropy Generation in a Wavy-Walled Cavity Filled with Nanofluid and Involving a Rotating Cylinder. Entropy 2018, 20, 664. https://doi.org/10.3390/e20090664
Alsabery AI, Ismael MA, Chamkha AJ, Hashim I. Numerical Investigation of Mixed Convection and Entropy Generation in a Wavy-Walled Cavity Filled with Nanofluid and Involving a Rotating Cylinder. Entropy. 2018; 20(9):664. https://doi.org/10.3390/e20090664
Chicago/Turabian StyleAlsabery, Ammar I., Muneer A. Ismael, Ali J. Chamkha, and Ishak Hashim. 2018. "Numerical Investigation of Mixed Convection and Entropy Generation in a Wavy-Walled Cavity Filled with Nanofluid and Involving a Rotating Cylinder" Entropy 20, no. 9: 664. https://doi.org/10.3390/e20090664
APA StyleAlsabery, A. I., Ismael, M. A., Chamkha, A. J., & Hashim, I. (2018). Numerical Investigation of Mixed Convection and Entropy Generation in a Wavy-Walled Cavity Filled with Nanofluid and Involving a Rotating Cylinder. Entropy, 20(9), 664. https://doi.org/10.3390/e20090664

