Comparative Performance Analysis of a Simplified Curzon-Ahlborn Engine
Abstract
:1. Introduction
2. Modeling Methods and Results
2.1. Agrawal’s Model
2.2. Performance Using Different Criteria for the Newton Heat Transfer Law Case
2.2.1. Maximum Power Output
2.2.2. Maximum Power Density
2.2.3. Maximum Efficient Power
2.3. Performance Using Different Criteria for the Dulong-Petit Heat Transfer Law
2.3.1. Maximum Power Output
2.3.2. Maximum Power Density
2.3.3. Maximum Efficient Power
3. Results
3.1. Newton Heat Transfer Law
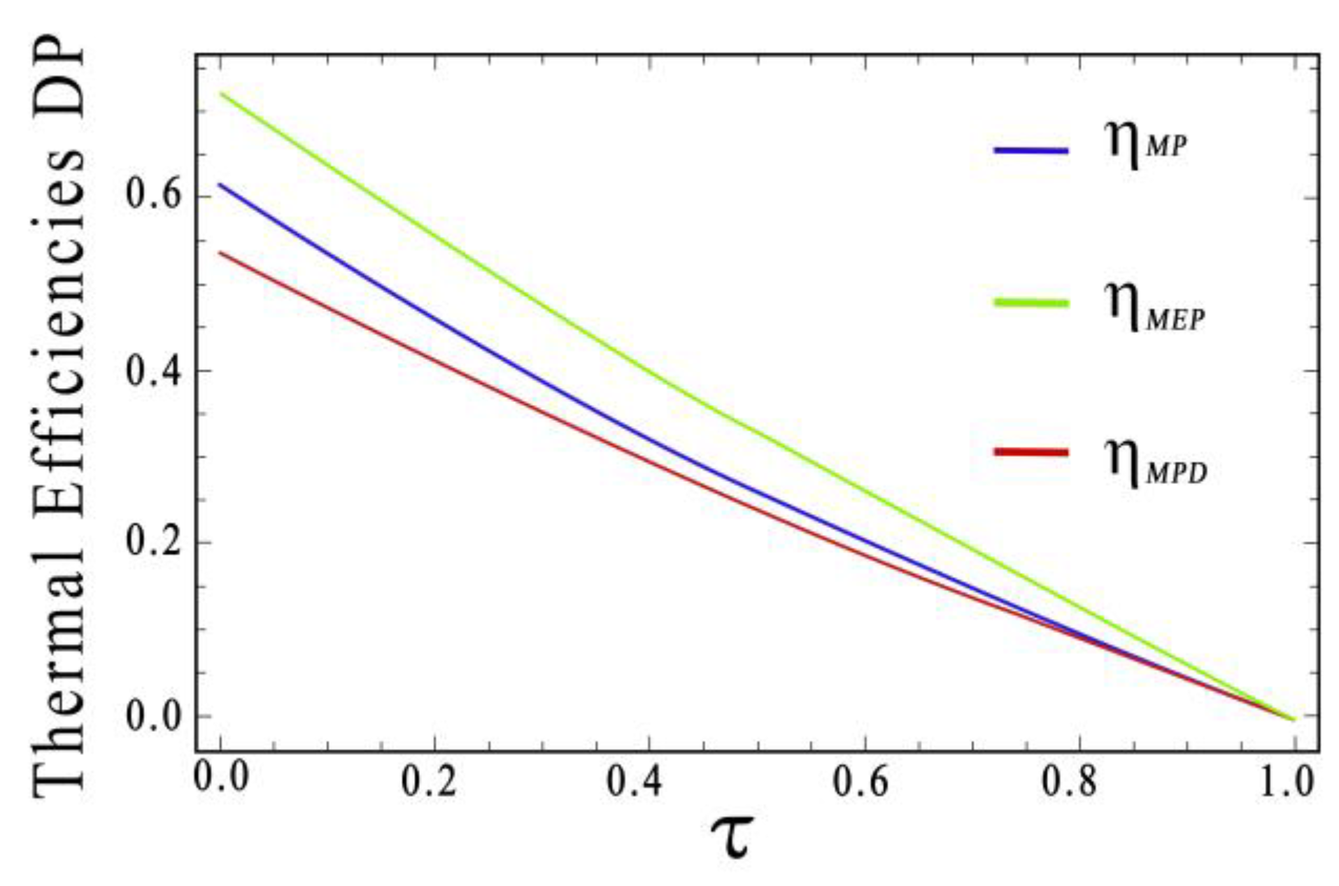
3.2. Dulong-Petit Heat Transfer Law Case
4. Conclusions
Author Contributions
Funding
Acknowledgments
Conflicts of Interest
References
- Novikov, I.I. The efficiency of atomic power stations (a review). J. Nucl. Energy 1958, 7, 125–128. [Google Scholar] [CrossRef]
- Chambadal, P. Les Centrales Nucleaires; Armand Colin: Paris, France, 1957. (In French) [Google Scholar]
- Curzon, F.L.; Ahlborn, B. Efficiency of a Carnot engine at maximum power output. Am. J. Phys. 1975, 43, 22–24. [Google Scholar] [CrossRef]
- Sieniutycs, S.; Salamon, P. (Eds.) Finite Time Thermodynamics and Thermoeconomics; Taylor and Francis: London, UK, 1990. [Google Scholar]
- Rubin, M.H. Optimal configuration of a class of irreversibles heat engines I. Phys. Rev. A 1979, 19, 1272–1276. [Google Scholar] [CrossRef]
- Feidt, M. Basis of a general approach for finite time thermodynamics applied to two heat reservoir machines. ECOS 1992, 92, 21–25. [Google Scholar]
- Hoffmann, K.H.; Burzler, J.M.; Schubert, S. Endoreversible Thermodynamics. J. Non-Equilib. Thermodyn. 1997, 22, 311–355. [Google Scholar]
- Cheng, L.; Sun, F.; Wud, Z. Effect of heat transfer law on the performance of a generalized irreversible Carnot engine. J. Phys. D Appl. Phys. 1999, 32, 99. [Google Scholar] [CrossRef]
- Chen, L.; Yan, Z. The effect of heat transfer law on the performance of a two-heat-source endoreversible cycle. J. Chem. Phys. 1989, 90, 3740–3743. [Google Scholar] [CrossRef]
- Wu, C.; Chen, L.; Chen, J. (Eds.) Recent Advances in Finite-Time Thermodynamics; Nova Science: New York, NY, USA, 1999. [Google Scholar]
- Bejan, A. Entropy generation minimization: The new thermodynamics of finite-size devices and finite-time processes. J. App. Phys. 1996, 79, 1191–1218. [Google Scholar] [CrossRef]
- Chen, L.; Wu, C.; Sun, F. Finite Time Thermodynamic Optimization or Entropy Generation Minimization of Energy Systems. J. Non-Equilib. Thermodyn. 1999, 24, 327–359. [Google Scholar] [CrossRef]
- Sahin, B.; Kodal, A.; Yavuz, H. Efficiency of a Joule-Brayton engine at maximum power density. J. Phys. D Appl. Phys. 1995, 28, 1309. [Google Scholar] [CrossRef]
- Sahin, B.; Kodal, A.; Yilmaz, T.; Yavuz, H. Maximum power density analysis of an irreversible Joule Brayton engine. J. Phys. D Appl. Phys. 1996, 29, 1162. [Google Scholar] [CrossRef]
- Kodal, A.; Sahin, B.; Yilmaz, T. A comparative performance analysis of irreversible Carnot heat engines under maximum power density and maximum power conditions. Energy Convers. Mgmt. 2000, 41, 235–248. [Google Scholar] [CrossRef]
- Chen, L.; Lin, J.; Sun, F. Efficiency of an Atkinson engine at maximum power density. Energy Convers. Mgmt. 1998, 39, 337–341. [Google Scholar] [CrossRef]
- Yilmaz, T.A. New performance criterion for heat engines: Efficient power. J. Energy Inst. 2006, 79, 38–41. [Google Scholar] [CrossRef]
- Atmaca, M.; Gumus, M. Power and efficiency analysis of Diesel cycle under alternative criteria. Arab. J. Sci. Eng. 2014, 39, 2263–2270. [Google Scholar] [CrossRef]
- Sánchez-Salas, N.; Chimal-Eguía, J.C.; Ramírez-Moreno, M.A. Optimum performance for energy transfer in a chemical reaction system. Physica A 2016, 446, 224–233. [Google Scholar] [CrossRef]
- Agrawal, D.C. A simplified version of the Curzon-Ahlborn engine. Eur. J. Phys. 2009, 40, 1173–1179. [Google Scholar] [CrossRef]
- Páez-Hernández, R.; Portillo-Diaz, P.; Ladino-Luna, D.; Ramírez-Rojas, A.; Pacheco-Paez, J.C. An analytical study of the endoreversible Curzon-Ahlborn cycle for a non-linear heat transfer law. J. Non-Equilib. Thermodyn. 2016, 41, 19–27. [Google Scholar] [CrossRef]
- Páez-Hernández, R.; Chimal-Eguía, J.C.; Sánchez-Salas, N.; Ladino-Luna, D. General properties for an Agrawal thermal engine. J. Non-Equilib. Thermodyn. 2018, 43, 131–140. [Google Scholar] [CrossRef]
- Hulueilhil, M.; Andresen, B. Convective heat transfer law for an endoreversible engine. J. Appl. Phys. 2006, 100, 014911. [Google Scholar] [CrossRef]
- Yilmaz, T.; Durmusoglu, Y. Efficient power analysis for an irreversible Carnot heat engine. Int. J. Energy Res. 2008, 32, 623–628. [Google Scholar] [CrossRef]
- Bejan, A. Advanced Engineering Thermodynamics; Wiley: New York, NY, USA, 1988. [Google Scholar]
- Santillán, M.; Maya, G.; Angulo-Brown, F. Local stability of an endoreversible Curzon-Ahlborn-Novikov engine working in a maximum-power-like regime. J. Phys. D Appl. Phys. 2001, 34, 2068–2072. [Google Scholar] [CrossRef]
- Páez-Hernández, R.; Angulo-Brown, F.; Santillán, M. Dynamic robustness and thermodynamic optimization in a non-endoreversible Curzon-Ahlborn engine. J. Non-Equilib. Thermodyn. 2006, 31, 173–178. [Google Scholar] [CrossRef]
- Sanchez-Salas, N.; Chimal-Eguia, J.C.; Guzman-Aguilar, F. On the Dynamic robustness of a non-endoreversible engine working in different operations regimes. Entropy 2011, 13, 422–436. [Google Scholar] [CrossRef]




© 2018 by the authors. Licensee MDPI, Basel, Switzerland. This article is an open access article distributed under the terms and conditions of the Creative Commons Attribution (CC BY) license (http://creativecommons.org/licenses/by/4.0/).
Share and Cite
Páez-Hernández, R.T.; Chimal-Eguía, J.C.; Ladino-Luna, D.; Velázquez-Arcos, J.M. Comparative Performance Analysis of a Simplified Curzon-Ahlborn Engine. Entropy 2018, 20, 637. https://doi.org/10.3390/e20090637
Páez-Hernández RT, Chimal-Eguía JC, Ladino-Luna D, Velázquez-Arcos JM. Comparative Performance Analysis of a Simplified Curzon-Ahlborn Engine. Entropy. 2018; 20(9):637. https://doi.org/10.3390/e20090637
Chicago/Turabian StylePáez-Hernández, Ricardo T., Juan Carlos Chimal-Eguía, Delfino Ladino-Luna, and Juan Manuel Velázquez-Arcos. 2018. "Comparative Performance Analysis of a Simplified Curzon-Ahlborn Engine" Entropy 20, no. 9: 637. https://doi.org/10.3390/e20090637
APA StylePáez-Hernández, R. T., Chimal-Eguía, J. C., Ladino-Luna, D., & Velázquez-Arcos, J. M. (2018). Comparative Performance Analysis of a Simplified Curzon-Ahlborn Engine. Entropy, 20(9), 637. https://doi.org/10.3390/e20090637

