Time-Fractional Diffusion with Mass Absorption in a Half-Line Domain due to Boundary Value of Concentration Varying Harmonically in Time
Abstract
1. Introduction
2. The Statement and Solution of the Problem
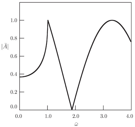
2.1. Bio-Heat Equation: Quasi-Steady-State Oscillations
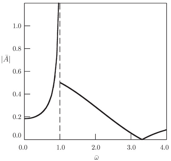
2.2. Klein–Gordon Equation: Quasi-Steady State Oscillations
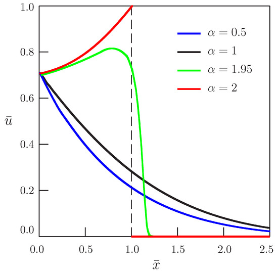
2.3. Equation with Time-Fractional Derivative
2.4. Bio-Heat Equation: The Solution with Zero Initial Condition
2.5. Klein–Gordon Equation: The Solution with Zero Initial Conditions
- (i)
- For ,
- (ii)
- For ,
3. Conclusions
Author Contributions
Conflicts of Interest
References
- Ångström, A.J. Neue Methode, das Wärmeleitungsvermöogen der Köorper zu bestimmen. Ann. Phys. Chem. 1861, 144, 513–530. (In German) [Google Scholar]
- Mandelis, A. Diffusion waves and their uses. Phys. Today 2000, 53, 29–33. [Google Scholar] [CrossRef]
- Mandelis, A. Diffusion-Wave Fields: Mathematical Methods and Green Functions; Springer: New York, NY, USA, 2001. [Google Scholar]
- Vrentas, J.S.; Vrentas, C.M. Diffusion and Mass Transfer; CRC Press: Boca Raton, FL, USA, 2013. [Google Scholar]
- Nowacki, W. State of stress in an elastic space due to a source of heat varying harmonically as function of time. Bull. Acad. Polon. Sci. Sér. Sci. Techn. 1957, 5, 145–154. [Google Scholar]
- Nowacki, W. Thermoelasticity, 2nd ed.; PWN–Polish Scientific Publishers: Warsaw, Poland; Pergamon Press: Oxford, UK, 1986. [Google Scholar]
- Kilbas, A.A.; Srivastava, H.M.; Trujillo, J.J. Theory and Applications of Fractional Differential Equations; Elsevier: Amsterdam, The Netherlands, 2006. [Google Scholar]
- Baehr, H.D.; Stephan, K. Heat and Mass Transfer, 2nd ed.; Springer: Berlin/Heidelberg, Germany, 2006. [Google Scholar]
- Zudin, Y.B. Theory of Periodic Conjugate Heat Transfer; Springer: Berlin/Heidelberg, Germany, 2007. [Google Scholar]
- Bergman, T.L.; Lavine, A.S.; Incropera, F.P.; DeWitt, D.P. Fundamentals of Heat and Mass Transfer, 7th ed.; John Wiley & Sons: Hoboken, NJ, USA, 2011. [Google Scholar]
- Carslaw, H.S.; Jaeger, J.C. Conduction of Heat in Solids, 2nd ed.; Oxford University Press: Oxford, UK, 1959. [Google Scholar]
- Crank, J. The Mathematics of Diffusion, 2nd ed.; Oxford University Press: Oxford, UK, 1975. [Google Scholar]
- Polyanin, A.D. Handbook of Linear Partial Differential Equations for Engineers and Scientists; Chapman & Hall/CRC: Boca Raton, FL, USA, 2002. [Google Scholar]
- Shitzer, A.; Eberhart, R.C. (Eds.) Heat Transfer in Medicine and Biology; Plenum Press: New York, NY, USA, 1985. [Google Scholar]
- Lubashevsky, I.A.; Gafiychuk, V.V. Cooperative mechanisms of self-regulation in hierarchical living systems. SIAM J. Appl. Math. 2000, 60, 633–663. [Google Scholar] [CrossRef]
- Stańczyk, M.; Telega, J.J. Modelling of heat transfer in biomechanics—A review. Part I. Soft tissues. Acta Bioengng. Biomech. 2002, 4, 31–61. [Google Scholar]
- Jack, J.; Noble, D.; Tsien, R.W. Electric Current Flow in Excitable Cells, 2nd ed.; Oxford University Press: Oxford, UK, 1983. [Google Scholar]
- Gabbiani, F.; Cox, S.J. Mathematics for Neuroscientists, 2nd ed.; Academic Press: Amsterdam, The Netherlands, 2010. [Google Scholar]
- Wazwaz, A.-M. Partial Differential Equations and Solitary Waves Theory; Higher Education Press: Beijing, China; Springer: Berlin/Heidelberg, Germany, 2009. [Google Scholar]
- Gravel, P.; Gauthier, C. Classical applications of the Klein–Gordon equation. Am. J. Phys. 2011, 79, 447–453. [Google Scholar] [CrossRef]
- Alber, H.-D. Materials with Memory: Initial-Boundary Value Problems for Constitutive Equations with Internal Variables; Springer: Berlin/Heidelberg, Germany, 1998. [Google Scholar]
- Amendola, G.; Fabrizio, M.; Golden, J.M. Thermodynamics of Materials with Memory: Theory and Applications; Springer: New York, NY, USA, 2012. [Google Scholar]
- Podlubny, I. Fractional Differential Equations; Academic Press: San Diego, CA, USA, 1999. [Google Scholar]
- Magin, R.L. Fractional Calculus in Bioengineering; Begell House Publishers, Inc.: Redding, CA, USA, 2006. [Google Scholar]
- Mainardi, F. Fractional Calculus and Waves in Linear Viscoelasticity: An Introduction to Mathematical Models; Imperial College Press: London, UK, 2010. [Google Scholar]
- Tarasov, V.E. Fractional Dynamics: Applications of Fractional Calculus to Dynamics of Particles, Fields and Media; Higher Education Press: Beijing, China; Springer: Berlin/Heidelberg, Germany, 2010. [Google Scholar]
- Tenreiro Machado, J.; Kiryakova, V.; Mainardi, F. Recent history of fractional calculus. Comm. Nonlinear Sci. Numer. Simul. 2011, 16, 1140–1153. [Google Scholar] [CrossRef]
- Uchaikin, V.V. Fractional Derivatives for Physicists and Engineers; Springer: Berlin/Heidelberg, Germany, 2013. [Google Scholar]
- Povstenko, Y. Fractional Thermoelasticity; Springer: New York, NY, USA, 2015. [Google Scholar]
- Owolabi, K.M. Mathematical analysis and numerical simulation of patterns in fractional and classical reaction-diffusion systems. Chaos, Solitons Fractals 2016, 93, 89–98. [Google Scholar] [CrossRef]
- Owolabi, K.M.; Atangana, A. Analysis of mathematics and numerical pattern formation in superdiffusive fractional multicomponent system. Adv. Appl. Math. Mech. 2017, 9, 1438–1460. [Google Scholar] [CrossRef]
- Morales-Delgado, V.F.; Taneco-Hernández, M.A.; Gómez-Aguilar, J.F. On the solutions of fractional order of evolution equations. Eur. Phys. J. Plus 2017, 132, 1–14. [Google Scholar] [CrossRef]
- Datsko, B.; Gafiychuk, V. Complex spatio-temporal solutions in fractional reaction-diffusion systems near a bifurcation point. Fract. Calc. App. Anal. 2018, 21, 237–253. [Google Scholar] [CrossRef]
- Mainardi, F. The fundamental solutions for the fractional diffusion-wave equation. Appl. Math. Lett. 1996, 9, 23–28. [Google Scholar] [CrossRef]
- Mainardi, F. Fractional relaxation-oscillation and fractional diffusion-wave phenomena. Chaos, Solitons Fractals 1996, 7, 1461–1477. [Google Scholar] [CrossRef]
- Povstenko, Y. Linear Fractional Diffusion-Wave Equation for Scientists and Engineers; Birkhäuser: New York, NY, USA, 2015. [Google Scholar]
- Blackledge, J.; Babajanov, B. The fractional Schrödinger–Klein–Gordon equation and intermediate relativism. Math. Aeterna 2013, 3, 601–615. [Google Scholar]
- Cui, Z.; Chen, G.; Zhang, R. Analytical solution for the time-fractional Pennes bioheat transfer equation on skin tissue. Adv. Mater. Res. 2014, 1049–1050, 1471–1474. [Google Scholar] [CrossRef]
- Ezzat, M.A.; AlSowayan, N.S.; Al-Muhiameed, Z.I.A.; Ezzat, S.M. Fractional modeling of Pennes’ bioheat transfer equation. Heat Mass Transf. 2014, 50, 907–914. [Google Scholar] [CrossRef]
- Ferrás, L.L.; Ford, N.J.; Morgado, M.L.; Nóbrega, J.M.; Rebelo, M.S. Fractional Pennes’ bioheat equation: Theoretical and numerical studies. Fract. Calc. Appl. Anal. 2015, 18, 1080–1106. [Google Scholar] [CrossRef]
- Qin, Y.; Wu, K. Numerical solution of fractional bioheat equation by quadratic spline collocation method. J. Nonlinear Sci. Appl. 2016, 9, 5061–5072. [Google Scholar] [CrossRef]
- Damor, R.S.; Kumar, S.; Shukla, A.K. Solution of fractional bioheat equation in terms of Fox’s H-function. SpringerPlus 2016, 5, 111. [Google Scholar] [CrossRef] [PubMed]
- Vitali, S.; Castellani, G.; Mainardi, F. Time fractional cable equation and applications in neurophysiology. Chaos Solitons Fractals 2017, 102, 467–472. [Google Scholar] [CrossRef]
- Povstenko, Y.; Kyrylych, T. Time-fractional diffusion with mass absorption under harmonic impact. Fract. Calc. Appl. Anal. 2018, 21, 118–133. [Google Scholar] [CrossRef]
- Povstenko, Y. Fractional heat conduction in a space with a source varying harmonically in time and associated thermal stresses. J. Thermal Stresses 2016, 39, 1442–1450. [Google Scholar] [CrossRef]
- Abramowitz, M.; Stegun, I.A. (Eds.) Handbook of Mathematical Functions with Formulas, Graphs and Mathematical Tables; Dover: New York, NY, USA, 1972. [Google Scholar]
- Doetsch, G. Anleitung zum praktischen Gebrauch der Laplace-Transformation und der Z-Transformation; Springer: München, Germany, 1967. (In German) [Google Scholar]





© 2018 by the authors. Licensee MDPI, Basel, Switzerland. This article is an open access article distributed under the terms and conditions of the Creative Commons Attribution (CC BY) license (http://creativecommons.org/licenses/by/4.0/).
Share and Cite
Povstenko, Y.; Kyrylych, T. Time-Fractional Diffusion with Mass Absorption in a Half-Line Domain due to Boundary Value of Concentration Varying Harmonically in Time. Entropy 2018, 20, 346. https://doi.org/10.3390/e20050346
Povstenko Y, Kyrylych T. Time-Fractional Diffusion with Mass Absorption in a Half-Line Domain due to Boundary Value of Concentration Varying Harmonically in Time. Entropy. 2018; 20(5):346. https://doi.org/10.3390/e20050346
Chicago/Turabian StylePovstenko, Yuriy, and Tamara Kyrylych. 2018. "Time-Fractional Diffusion with Mass Absorption in a Half-Line Domain due to Boundary Value of Concentration Varying Harmonically in Time" Entropy 20, no. 5: 346. https://doi.org/10.3390/e20050346
APA StylePovstenko, Y., & Kyrylych, T. (2018). Time-Fractional Diffusion with Mass Absorption in a Half-Line Domain due to Boundary Value of Concentration Varying Harmonically in Time. Entropy, 20(5), 346. https://doi.org/10.3390/e20050346

