Quantum Mechanical Engine for the Quantum Rabi Model
Abstract
1. Introduction
1.1. Quantum Rabi Model
1.2. First Law of Thermodynamic
1.3. Cycle of Operation
2. Quantum Rabi Model as a Working Substance
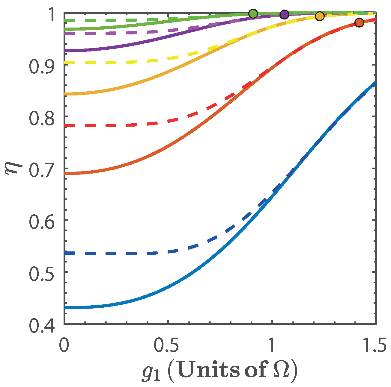
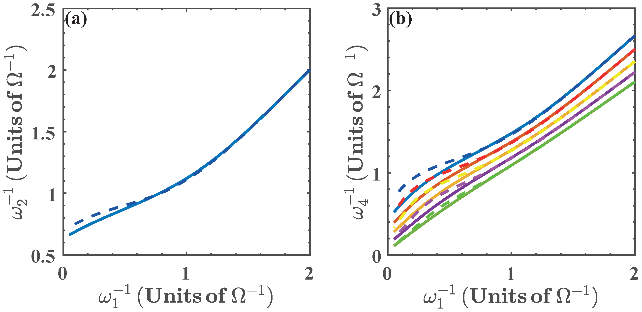
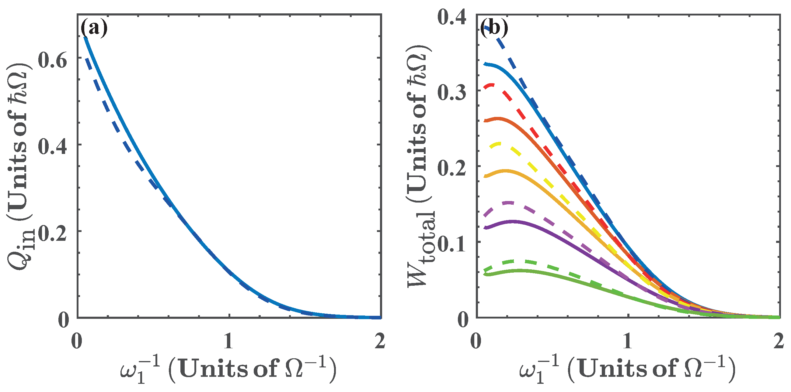
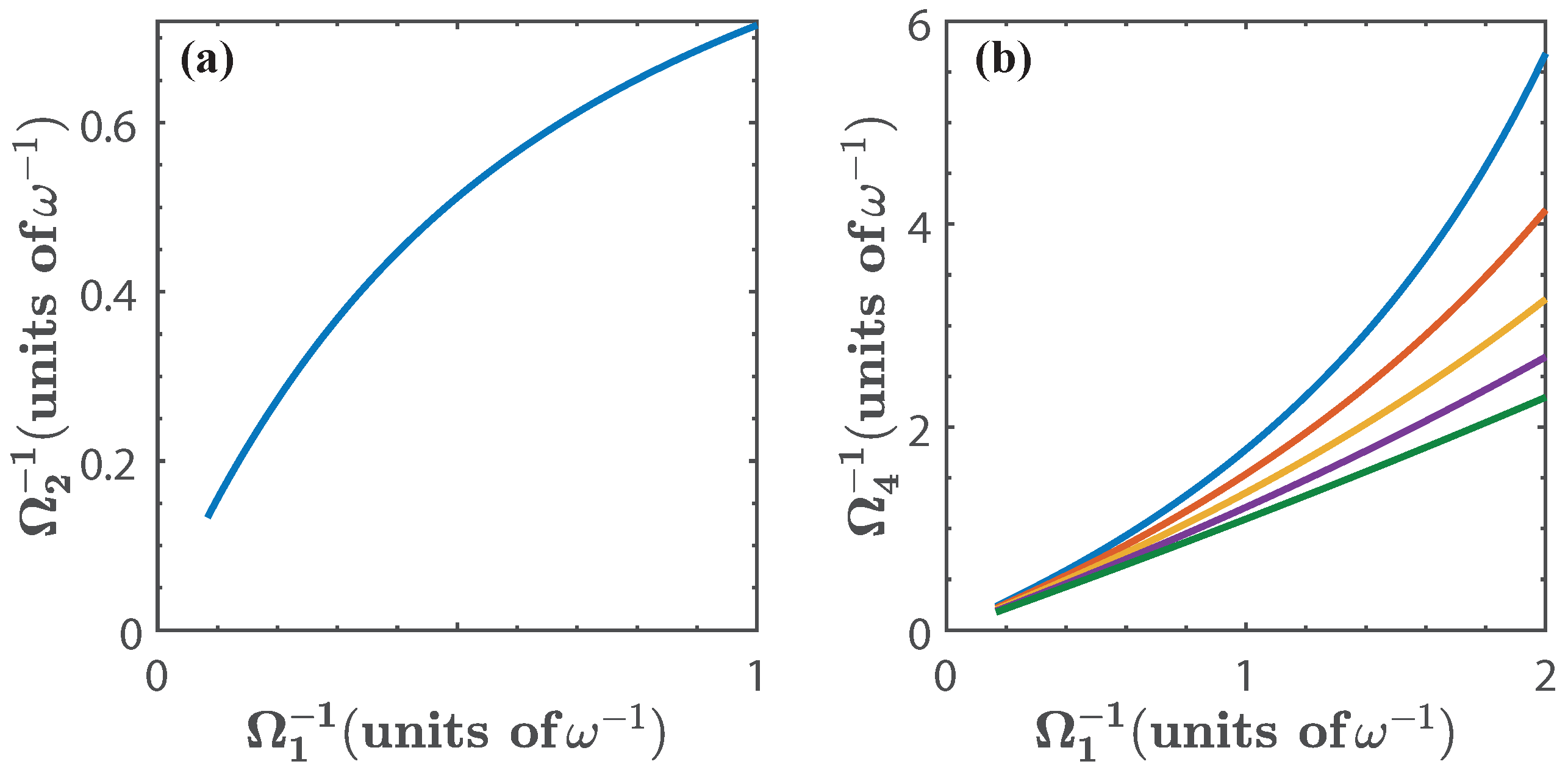
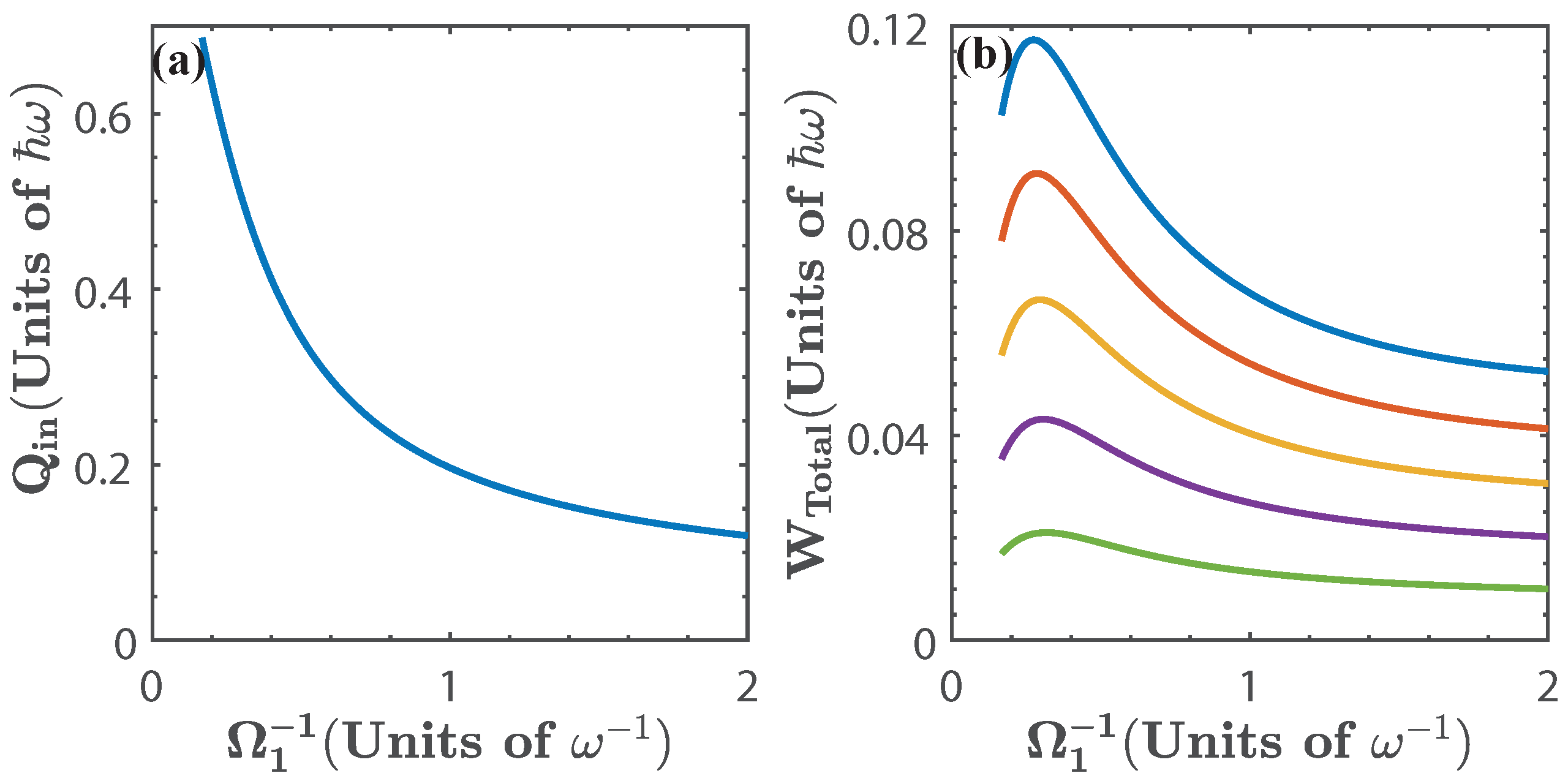
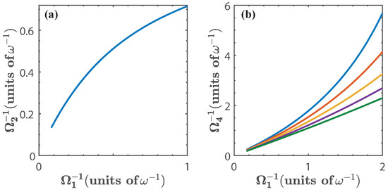
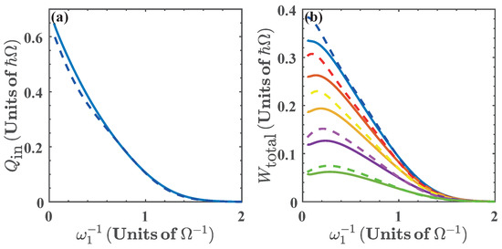
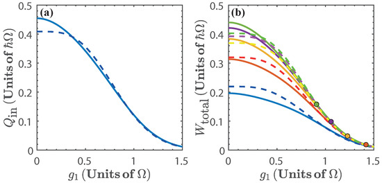
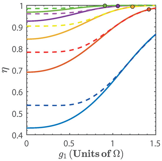
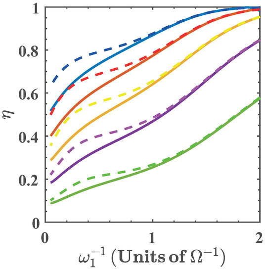
2.1. Case of
2.2. Case of
2.3. Case of
3. Conclusions
Author Contributions
Funding
Acknowledgments
Conflicts of Interest
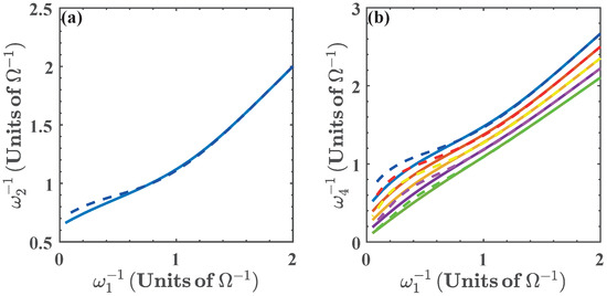
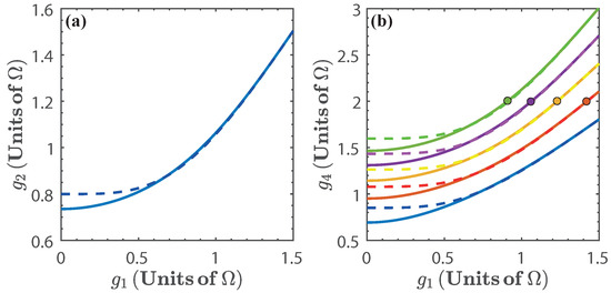
Appendix A. Simulation of Isoenergetic Process
References
- Scully, M.O. Quantum Afterburner: Improving the Efficiency of an Ideal Heat Engine. Phys. Rev. Lett. 2002, 88, 050602. [Google Scholar] [CrossRef] [PubMed]
- Rezek, Y.; Kosloff, R. Irreversible performance of a quantum harmonic heat engine. New J. Phys. 2006, 8, 83. [Google Scholar] [CrossRef]
- Quan, H.T.; Liu, Y.-X.; Sun, C.P.; Nori, F. Quantum thermodynamic cycles and quantum heat engines. Phys. Rev. E. 2007, 76, 031105. [Google Scholar] [CrossRef] [PubMed]
- Esposito, M.; Kawai, R.; Lindenberg, K.; Van den Broeck, C. Quantum-dot Carnot engine at maximum power. Phys. Rev. E. 2010, 81, 041106. [Google Scholar] [CrossRef] [PubMed]
- Barrios, G.A.; Albarrán-Arriagada, F.; Cárdenas-López, F.A.; Romero, G.; Retamal, J.C. Role of quantum correlations in light-matter quantum heat engines. Phys. Rev. A. 2017, 88, 050602. [Google Scholar] [CrossRef]
- Altintas, F.; Hardal, A.Ü.C.; Müstecaplıoğlu, Ö.E. Rabi model as a quantum coherent heat engine: From quantum biology to superconducting circuits. Phys. Rev. A. 2015, 91, 023816. [Google Scholar] [CrossRef]
- Roßnagel, J.; Dawkins, S.T.; Tolazzi, K.N.; Abah, O.; Lutz, E.; Schmidt-Kaler, F.; Singer, K. A single-atom heat engine. Science 2016, 352, 6283. [Google Scholar] [CrossRef] [PubMed]
- Maslennikov, G.; Ding, S.; Gan, J.; Hablutzel, R.; Roulet, A.; Nimmrichter, S.; Dai, J.; Scarani, V.; Matsukevich, D. Quantum absorption refrigerator with trapped ions. In Proceedings of the 2017 European Conference on Lasers and Electro-Optics and European Quantum Electronics Conference, Munich, Germany, 25–29 June 2017; Optical Society of America: Munich, Germany, 2017; p. EA_5_4. [Google Scholar]
- Koski, J.V.; Maisi, V.F.; Pekola, J.P.; Averin, D.V. Experimental realization of a szilard engine with a single electron. Proc. Natl. Acad. Sci. USA 2017, 111, 13786–13789. [Google Scholar] [CrossRef] [PubMed]
- Kieu, T.D. The second law, maxwell’s demon, and work derivable from quantum heat engines. Phys. Rev. Lett. 2004, 93, 140403. [Google Scholar] [CrossRef] [PubMed]
- Carl, M.B.; Dorje, C.B.; Bernhard, K.M. Quantum mechanical carnot engine. J. Phys. A 2000, 33, 4427. [Google Scholar]
- Bender, C.M.; Brody, D.C.; Meister, B.K. Entropy and temperature of a quantum carnot engine. Proc. R. Soc. Lond. A 2002, 458, 2022. [Google Scholar] [CrossRef]
- Abe, S.; Okuyama, S. Role of the superposition principle for enhancing the efficiency of the quantum-mechanical carnot engine. Phys. Rev. E 2012, 85, 011104. [Google Scholar] [CrossRef] [PubMed]
- Abe, S. General formula for the efficiency of quantum-mechanical analog of the carnot engine. Entropy 2013, 15, 1408–1415. [Google Scholar] [CrossRef]
- Muñoz, E.; Peña, F.J. Magnetically driven quantum heat engine. Phys. Rev. E 2014, 89, 052107. [Google Scholar] [CrossRef] [PubMed]
- Wang, J.; He, J.; He, X. Entropy and temperature of a quantum Carnot engine. Phys. Rev. E 2011, 84, 041127. [Google Scholar] [CrossRef] [PubMed]
- Abe, S.; Okuyama, S. Similarity between quantum mechanics and thermodynamics: Entropy, temperature, and Carnot cycle. Phys. Rev. E 2011, 83, 021121. [Google Scholar] [CrossRef] [PubMed]
- Ou, C.; Abe, S. Exotic properties and optimal control of quantum heat engine. EPL 2016, 113, 40009. [Google Scholar] [CrossRef]
- Santos, J.F.G.; Bernardini, A.E. Quantum engines and the range of the second law of thermodynamics in the noncommutative phase-space. EPJ Plus 2017, 132, 260. [Google Scholar] [CrossRef]
- Yin, Y.; Chen, L.; Wu, F. Performance of quantum Stirling heat engine with numerous copies of extreme relativistic particles confined in 1D potential well. Physica A 2018, 503, 58–70. [Google Scholar] [CrossRef]
- Liu, S.; Ou, C. Maximum Power Output of Quantum Heat Engine with Energy Bath. Entropy 2016, 18, 205. [Google Scholar] [CrossRef]
- Wang, J.; He, J. Optimization on a three-level heat engine working with two noninteracting fermions in a one-dimensional box trap. J. Appl. Phys. 2012, 111, 043505. [Google Scholar] [CrossRef]
- Abe, A. Maximum-power quantum-mechanical Carnot engine. Phys. Rev. E 2011, 83, 041117. [Google Scholar] [CrossRef] [PubMed]
- Muñoz, E.; Peña, F.J. Quantum heat engine in the relativistic limit: The case of a Dirac particle. Phys. Rev. E 2012, 86, 061108. [Google Scholar] [CrossRef] [PubMed]
- Peña, F.J.; Ferré, M.; Orellana, P.A.; Rojas, R.G.; Vargas, P. Optimization of a relativistic quantum mechanical engine. Phys. Rev. E 2016, 94, 022109. [Google Scholar] [CrossRef] [PubMed]
- Wang, R.; Wang, J.; He, J.; Ma, Y. Performance of a multilevel quantum heat engine of an ideal N-particle Fermi system. Phys. Rev. E 2012, 86, 021133. [Google Scholar] [CrossRef] [PubMed]
- Wang, J.; Ma, Y.; He, J. Quantum-mechanical engines working with an ideal gas with a finite number of particles confined in a power-law trap. EPL 2015, 111, 20006. [Google Scholar] [CrossRef]
- Rabi, I.I. Space Quantization in a Gyrating Magnetic Field. Phys. Rev. 1937, 51, 652–654. [Google Scholar] [CrossRef]
- Shore, B.W.; Knight, P.L. The Jaynes-Cummings Model. J. Mod. Opt. 1993, 40, 1195–1238. [Google Scholar] [CrossRef]
- Niemczyk, T.; Deppe, F.; Huebl, H.; Menzel, E.P.; Hocke, F.; Schwarz, M.J.; Garcia-Ripoll, J.J.; Zueco, D.; Hümmer, T.; Solano, E.; et al. Circuit quantum electrodynamics in the ultrastrong-coupling regime. Nat. Phys. 2010, 6, 772–776. [Google Scholar] [CrossRef]
- Casanova, J.; Romero, G.; Lizuain, I.; García-Ripoll, J.J.; Solano, E. Deep Strong Coupling Regime of the Jaynes-Cummings Model. Phys. Rev. Lett. 2010, 105, 263603. [Google Scholar] [CrossRef] [PubMed]
- Braak, D. Integrability of the Rabi Model. Phys. Rev. Lett. 2011, 107, 100401. [Google Scholar] [CrossRef] [PubMed]
- Romero, G.; Ballester, D.; Wang, Y.M.; Scarani, V.; Solano, E. Ultrafast Quantum Gates in Circuit QED. Phys. Rev. Lett. 2012, 108, 120501. [Google Scholar] [CrossRef] [PubMed]
- Kyaw, T.H.; Allende, S.; Kwek, L.-C.; Romero, G. Parity-preserving light-matter system mediates effective two-body interactions. Quantum Sci. Technol. 2017, 2, 025007. [Google Scholar] [CrossRef]
- Cárdenas-López, F.A.; Albarrán-Arriagada, F.; Alvarado Barrios, G.; Retamal, J.C.; Romero, G. Incoherent-mediator for quantum state transfer in the ultrastrong coupling regime. Sci. Rep. 2017, 7, 4157. [Google Scholar] [CrossRef] [PubMed]
- Ashhab, S.; Nori, F. Qubit-oscillator systems in the ultrastrong-coupling regime and their potential for preparing nonclassical states. Phys. Rev. A 2010, 81, 042311. [Google Scholar] [CrossRef]
- Albarrán-Arriagada, F.; Alvarado Barrios, G.; Cárdenas-López, F.A.; Romero, G.; Retamal, J.C. Generation of higher dimensional entangled states in quantum Rabi systems. J. Phys. A 2017, 50, 184001. [Google Scholar] [CrossRef]
- Peropadre, B.; Forn-Díaz, P.; Solano, E.; García-Ripoll, J.J. Switchable Ultrastrong Coupling in Circuit QED. Phys. Rev. Lett. 2010, 105, 023601. [Google Scholar] [CrossRef] [PubMed]
- Gustavsson, S.; Bylander, J.; Yan, F.; Forn-Díaz, P.; Bolkhovsky, V.; Braje, D.; Fitch, G.; Harrabi, K.; Lennon, D.; Miloshi, J.; et al. Driven Dynamics and Rotary Echo of a Qubit Tunably Coupled to a Harmonic Oscillator. Phys. Rev. Lett. 2012, 108, 170503. [Google Scholar] [CrossRef] [PubMed]
- Wallquist, M.; Shumeiko, V.S.; Wendin, G. Selective coupling of superconducting charge qubits mediated by a tunable stripline cavity. Phys. Rev. B 2016, 74, 224506. [Google Scholar] [CrossRef]
- Sandberg, M.; Persson, F.; Hoi, I.C.; Wilson, C.M.; Delsing, P. Exploring circuit quantum electrodynamics using a widely tunable superconducting resonator. Phys. Scr. 2009, 2009, 014018. [Google Scholar] [CrossRef]
- Paauw, F.G.; Fedorov, A.; Harmans, C.J.P.M.; Mooij, J.E. Tuning the Gap of a Superconducting Flux Qubit. Phys. Rev. Lett. 2017, 102, 090501. [Google Scholar] [CrossRef] [PubMed]
- Schwarz, M.J.; Goetz, J.; Jiang, Z.; Niemczyk, T.; Deppe, F.; Marx, A.; Gross, R. Gradiometric flux qubits with a tunable gap. New J. Phys. 2013, 15, 045001. [Google Scholar] [CrossRef]
- Koch, J.; Yu, T.M.; Gambetta, J.; Houck, A.A.; Schuster, D.I.; Majer, J.; Blais, A.; Devoret, M.H.; Girvin, S.M.; Schoelkopf, R.J. Charge-insensitive qubit design derived from the Cooper pair box. Phys. Rev. A 2007, 76, 042319. [Google Scholar] [CrossRef]
- Barends, R.; Kelly, J.; Megrant, A.; Sank, D.; Jeffrey, E.; Chen, Y.; Yin, Y.; Chiaro, B.; Mutus, J.; Neill, C.; et al. Coherent Josephson Qubit Suitable for Scalable Quantum Integrated Circuits. Phys. Rev. Lett. 2013, 111, 080502. [Google Scholar] [CrossRef] [PubMed]
- Chen, Y.; Neill, C.; Roushan, P.; Leung, N.; Fang, M.; Barends, R.; Kelly, J.; Campbell, B.; Chen, Z.; Chiaro, B.; et al. Qubit Architecture with High Coherence and Fast Tunable Coupling. Phys. Rev. Lett. 2014, 113, 220502. [Google Scholar] [CrossRef] [PubMed]
- Nataf, P.; Ciuti, C. Protected Quantum Computation with Multiple Resonators in Ultrastrong Coupling Circuit QED. Phys. Rev. Lett. 2011, 107, 190402. [Google Scholar] [CrossRef] [PubMed]
- Kyaw, T.H.; Felicetti, S.; Romero, G.; Solano, E.; Kwek, L.-C. Scalable quantum memory in the ultrastrong coupling regime. Sci. Rep. 2015, 5, 8621. [Google Scholar] [CrossRef] [PubMed]
- Kyaw, T.H.; Herrera-Martí, D.A.; Solano, E.; Romero, G.; Kwek, L.-C. Creation of quantum error correcting codes in the ultrastrong coupling regime. Phys. Rev. B 2015, 91, 064503. [Google Scholar] [CrossRef]
- Joshi, C.; Irish, E.K.; Spiller, T.P. Qubit-flip-induced cavity mode squeezing in the strong dispersive regime of the quantum Rabi model. Sci. Rep. 2017, 7, 45587. [Google Scholar] [CrossRef] [PubMed]
- Albarrán-Arriagada, F.; Lamata, L.; Solano, E.; Romero, G.; Retamal, J.C. Spin-1 models in the ultrastrong-coupling regime of circuit QED. Phys. Rev. A 2018, 97, 022306. [Google Scholar] [CrossRef]
- Wolf, F.A.; Vallone, F.; Romero, G.; Kollar, M.; Solano, E.; Braak, D. Dynamical correlation functions and the quantum Rabi model. Phys. Rev. A 2013, 87, 023835. [Google Scholar] [CrossRef]
- Rossatto, D.Z.; Villas-Bôas, C.J.; Sanz, M.; Solano, E. Spectral classification of coupling regimes in the quantum Rabi model. Phys. Rev. A 2017, 96, 013849. [Google Scholar] [CrossRef]
- Jaynes, E.T.; Cummings, F.W. Comparison of quantum and semiclassical radiation theories with application to the beam maser. Proc. IEEE 1963, 51, 89–109. [Google Scholar] [CrossRef]
- Forn-Díaz, P.; Lisenfeld, J.; Marcos, D.; García-Ripoll, J.J.; Solano, E.; Harmans, C.J.P.M.; Mooij, J.E. Observation of the Bloch-Siegert Shift in a Qubit-Oscillator System in the Ultrastrong Coupling Regime. Phys. Rev. Lett. 2010, 105, 237001. [Google Scholar] [CrossRef] [PubMed]
- Bourassa, J.; Gambetta, J.M.; Abdumalikov, A.A.; Astafiev, O.; Nakamura, Y.; Blais, A. Ultrastrong coupling regime of cavity QED with phase-biased flux qubits. Phys. Rev. A 2009, 80, 032109. [Google Scholar] [CrossRef]
- Yoshihara, F.; Fuse, T.; Ashhab, S.; Kakuyanagi, K.; Saito, S.; Semba, K. Superconducting qubit-oscillator circuit beyond the ultrastrong-coupling regime. Nat. Phys. 2017, 13, 44–47. [Google Scholar] [CrossRef]
- Irish, E.K. Generalized Rotating-Wave Approximation for Arbitrarily Large Coupling. Phys. Rev. Lett. 2007, 99, 173601. [Google Scholar] [CrossRef] [PubMed]
- Yu, L.; Zhu, S.; Liang, Q.; Chen, G.; Jia, S. Analytical solutions for the Rabi model. Phys. Rev. A 2016, 86, 015803. [Google Scholar] [CrossRef]
- Born, M.; Fock, V. Beweis des Adiabatensatzes. Zeitschrift für Physik 1928, 51, 165–180. (In German) [Google Scholar] [CrossRef]
- Allman, M.S.; Whittaker, J.D.; Castellanos-Beltran, M.; Cicak, K.; da Silva, F.; deFeo, M.P.; Lecocq, F.; Sirois, A.; Teufel, J.D.; Aumentado, J.; et al. Tunable Resonant and Nonresonant Interactions between a Phase Qubit and LC Resonator. Phys. Rev. Lett. 2014, 112, 123601. [Google Scholar] [CrossRef] [PubMed]
- Whittaker, J.D.; da Silva, F.C.S.; Allman, M.S.; Lecocq, F.; Cicak, K.; Sirois, A.J.; Teufel, J.D.; Aumentado, J.; Simmonds, R.W. Tunable-cavity QED with phase qubits. Phys. Rev. B 2014, 90, 024513. [Google Scholar] [CrossRef]











© 2018 by the authors. Licensee MDPI, Basel, Switzerland. This article is an open access article distributed under the terms and conditions of the Creative Commons Attribution (CC BY) license (http://creativecommons.org/licenses/by/4.0/).
Share and Cite
Alvarado Barrios, G.; Peña, F.J.; Albarrán-Arriagada, F.; Vargas, P.; Retamal, J.C. Quantum Mechanical Engine for the Quantum Rabi Model. Entropy 2018, 20, 767. https://doi.org/10.3390/e20100767
Alvarado Barrios G, Peña FJ, Albarrán-Arriagada F, Vargas P, Retamal JC. Quantum Mechanical Engine for the Quantum Rabi Model. Entropy. 2018; 20(10):767. https://doi.org/10.3390/e20100767
Chicago/Turabian StyleAlvarado Barrios, Gabriel, Francisco J. Peña, Francisco Albarrán-Arriagada, Patricio Vargas, and Juan Carlos Retamal. 2018. "Quantum Mechanical Engine for the Quantum Rabi Model" Entropy 20, no. 10: 767. https://doi.org/10.3390/e20100767
APA StyleAlvarado Barrios, G., Peña, F. J., Albarrán-Arriagada, F., Vargas, P., & Retamal, J. C. (2018). Quantum Mechanical Engine for the Quantum Rabi Model. Entropy, 20(10), 767. https://doi.org/10.3390/e20100767

