Next Article in Journal
Holography, Quantum Geometry, and Quantum Information Theory
Previous Article in Journal
Emergence and Dissolvence in the Self-organisation of Complex Systems
 
 
Font Type:
Arial Georgia Verdana
Font Size:
Aa Aa Aa
Line Spacing:
Column Width:
Background:
Article

A Spacetime Foam Approach to the Schwarzschild-de Sitter Entropy

Università degli Studi di Bergamo, Facoltà di Ingegneria, Viale Marconi, 5, 24044 Dalmine (Bergamo),Italy
Entropy 2000, 2(1), 26-38; https://doi.org/10.3390/e2010026
Submission received: 21 December 1999 / Accepted: 22 February 2000 / Published: 15 March 2000

Abstract

:
The entropy for a black hole in a de Sitter space is approached wwithin the framework of spacetime foam. A simple model made by N wormholes in a semiclassical approximation, is taken under examination to compute the entropy for such a case. An extension to the extreme case when the black hole and cosmological horizons are equal is discussed.

1. Introduction

Black holes have many properties analogous to those of thermodynamics. In particular, four laws of black holes [1] combined with the generalized second law make up a main framework of the black hole thermodynamics. In these laws, black hole entropy is defined as
Entropy 02 00026 i001
where A is the area of black hole horizon. This formula is known as Bekenstein-Hawking formula, since the concept of black hole entropy as first introduced by Bekenstein [2] as a quantity proportional to the horizon area and the proportionality coefficient as fixed by Ha king’s discovery of thermal radiation with temperature given by
Entropy 02 00026 i002
κ is the surface gravity of a background black hole. This thermal radiation and its temperature are called Hawking radiation and Hawking temperature, respectively. Let us recall basic properties of the black hole thermodynamics by taking the example of a one-parameter family of Schwarzschild black holes, parameterized by the mass M. The first la of thermodynamics [1], in this case is
Entropy 02 00026 i003
where EBH, SBH and TBH are quantities that are identified with the energy, the entropy and the temperature of a black hole, respectively. The energy of the black hole is simply given by EBH = MBH. A simple relation exists also for the temperature TBH. Hawking showed that a black hole with surface gravity κ emits thermal radiation of a quantum matter field (which plays the roˆle of a thermometer) at temperature given by Eq. (2) [3]. Since κ = C4/4GMBH, it is natural to define the temperature of a Schwarzschild black hole with mass MBH by
Entropy 02 00026 i004
Then from Kqs.(2)-(4), we get
Entropy 02 00026 i005
where A Ξ 16πG2 M BH 2 /C4 is the area of the event horizon and C is some constant. Since a value of C is not essential in our discussions, we shall set hereaIter C = 0. This is a special case of the Bekenstein-Hawking formula. It can be shown that classically the area of the event horizon cannot decrease in time (the area law [4] or the second law of black hole) just as the ordinary thermodynamical entropy. This observation as the real motivation of introducing a black-hole entropy [2]. Moreover, when quantum eRects are taken into account, it is believed that a sum of the black hole entropy and matter entropy does not decrease (the generalized second law). The zeroth law of black hole thermodynamics states that surface gravity of a Killing horizon is constant throughout the horizon. This is expected for the Schwarzschild black hole, because it is a static black hole. What is unexpected is that the same result is valid also for a Kerr black hole, which is dependent by its temperature, while the surface gravity is not. Of course we could just check this result but the point is that it is. This supports the choice of the black-hole temperature. The third law does hold in the sense of Nernst: it is impossible by any process, no matter how idealized, to reduce the surface gravity to zero in a finite sequence by operations [1]. Thermodynamics has a well-established microscopic description: the quantum statistical mechanics. In the thermodynamical description, information on each microscopic degree of freedom is lost, and only macroscopic variables are concerned. However, the number of all microscopic degrees of freedom is implemented in a macroscopic variable: entropy S is related to the number of all consistent microscopic states N as
Entropy 02 00026 i006
In analogy, it is expected that there might be a microscopic description of the black hole thermodynamics, too. In particular, it is widely believed that the black hole entropy might be related to a number of microscopic states. This microscopic description seems to require a yet to be developed quantum theory of gravity. Actually a microscopic derivation of the black hole entropy as given in superstring theory [5,6,7] by using the so-called D-brane technology. In this approach, the black hole entropy is identified with the logarwithm of the number of states of massless strings attached to D-branes, with D-brane configuration and total momentum of the strings along a compactified direction fixed to be consistent with the corresponding black hole [8,9]. The analysis along this line as extended to the so-called M-theory [10]. Recently a diRerent approach based on a foamy structure of space-time has been proposed [11,12]. In this approach space-time foam is described by a collection of N coherent wormholes, hose energy density (Casimir energy) at its minimum, is
Entropy 02 00026 i007
Λ is an U.V. cut-off, V is the volume of the space and Nw is the wormholes number. When we apply the wormhole model to the area, we obtain the mass quantization of the Schwarzschild black hole, namely 1
Entropy 02 00026 i008
A second consequence is that in de Sitter space, the cosmological constant is quantized in terms of lp, i.e.
Entropy 02 00026 i009
In this paper we would like to apply the same wormhole model of spacetime foam, to compute the entropy of a black hole embedded in a de Sitter space hose line element is described by the Schwarzschild-de Sitter metric (SdS). We will also look at its extreme version, the so-called Nariai metric [13]. The plan of the paper is the following: in Section 2, we will briefly report our model of space-time foam, in Section 3, we give a simple example of application of the resulting discretized (foamy) spacetime to the computation of the entropy in the Sch arzschild and in de Sitter case; in Section 4, we discuss the entropy quantization in the case of the SdS case. We summarize and conclude in Section 5.

2. Constructing the Foam

When we try to merge General Relativity with Quantum Field Theory at the Planck scale, spacetime could be subjected to topology and metric fluctuations [14]2. Such a fluctuating spacetime is known under the name of ”spasetime foam“which can be taken as a model for the quantum gravitational vacuum. At this scale of lengths (or energies) quantum processes like black hole pair creation could become relevant. To establish if a foamy spacetime could be considered as a candidate for a Quantum Gravitational vacuum, we can examine the structure of the eRective potential for such a spacetime. There are some examples sho ing that flat space cannot be considered as the true ground state for General Relativity [16,17,18,19]. In the case of Ref. [19], the whole spacetime has been considered as a black hole-anti-black hole pair formed up by a black hole with positive mass M in the coordinate system of the observer and an anti black-hole with negative mass —M in the system here the observer is not present. In this way we have an energy preserving mechanism, because flat space has zero energy and the pair has zero energy too. Ho ever, in this case we have not a cosmological forse producing the pair: we have only Entropy 02 00026 i010 pure gravitational fluctuations. The black hole-anti-black hole pair has also a relevant pictorial interpretation: the black hole with positive mass M and the anti black-hole with negative mass—M can be considered the components of a virtual dipole with zero total energy created by a large quantum gravitational fluctuation [20]. Note that this is the only physical process compatible with the energy conservation. The importance of having the same energy behaviour (asymptotic) is related to the possibility of having a spontaneous transition from one spacetime to another one with the same boundary condition [21]. This transition is a decay from the false vacuum to the true one [22,23]. Ho ever, if we take account of a pair of neutral black holes living in diRerent universes, there is no decay and more important no temperature is involved to change from flat to curved space. To see if this process is realizable we need to compute quantum corrections to the energy stored in the boundaries. These quantum corrections are pure gravitational vacuum excitations which can be measured by the Casimir energy, formally defined as
Entropy 02 00026 i011
where E0 is the zero-point energy and is a boundary. We begin to consider the following line element (Kinstein-Rosen bridge) related to a single wormhole
Entropy 02 00026 i012
We wish to compute the Casimir-like energy
Entropy 02 00026 i013
by perturbing the three-dimensional spatial metric gij = g ~ i j + hij . ΔE (M) is computed in a WKB approximation, by looking at the graviton sector (spin 2 or TT tensor) in a Schrödinger representation with trial ave functionals of the Gaussian form by means of a variational approach. The Spin-two operator is defined as
Entropy 02 00026 i014
where Δ is the Laplacian on a Schwarzschild background and R j a is the mixed Ricci tensor hose components are:
Entropy 02 00026 i015
The total energy at one loop, i.e., the classical term plus the stable and unstable modes respectively, is
Entropy 02 00026 i016
where ΔEq.l. is the quasilocal energy. For symmetric boundary conditions with respect to the bifurcation surface S0 (such as this case Eq.l. = E+E = 0. When the boundaries go to spatial infinity E± = MADM . The Stable modes contribution is
Entropy 02 00026 i017
Λ is a cut-oR to keep under control the UV divergence, we can think that Λ ≤ mp. For the unstable sector, there is only one eigenvalue in S-wave. This is in agreement with Coleman arguments on quantum tunneling: the presence of a unique negative eigenvalue in the second order perturbation is a signal of a passage from a false vacuum to a true vacuum. The RayleighRitz method joined to a numerical integration technique gives E2 = −.175 41/(MG)2 [19], to be compared with the value E2 = −.19/(MG)2 of Ref. [16]. How to eliminate the instability?
We consider Nw coherent ormholes (i.e., non-interacting) in a semiclassical approximation and assume that there exists a covering of ∑ such that ∑ = i = 1 N w i, with ∑i∩∑j = Φ when ij. Each ∑i has the topology S2 × Rl with boundaries ∂ i ± with respect to each bifurcation surface. On each surface ∑i, quasilocal energy is zero because we assume that on each copy of the single Wormhole there is symmetry with respect to each bifurcation surface. Thus the total energy for the collection is E | 2 tot = NwH|2 and the total trial ave functional is the product of Nw t.w.f.
Entropy 02 00026 i018
By repeating the same calculations done for the single ormhole for the Nw wormhole system, we obtain
(a)
The total Casimir energy (stable modes), at its minimum, is
Entropy 02 00026 i019
The minimum does not correspond to flat space → ΔEs (M) ≠ 0.
(b)
The initial boundary located at R± will be reduced to R±/Nw.
(c)
Since the boundary is reduced there exists a critical radius ρc = 1.113 4 such that: ∀NNwrc s.t.r0rrc, σ2) = Φ. This means that the system begins to be stable [11,12]. To be compared with the value ρc = 1.445 obtained by B. Allen in Ref. [24].

3. Area Spectrum, Entrop) and the Cosmological constant

Bekenstein has proposed that a black hole does have an entropy proportional to the area of its horizon Sbh = const × Ahor [2]. In natural units one finds that the proportionality constant is set to 1/4G = 1/4 l p 2 , so that the entropy becomes S = A/4G = A/4 l p 2 . Another proposal always made by Bekenstein is the quantization of the area for nonextremal black holes an = α l p 2 (n + η) η > −1 n = 1,2,… The area is measured by the quantity
Entropy 02 00026 i020
We would like to evaluate the mean value of the area
Entropy 02 00026 i021
computed on the foam state
Entropy 02 00026 i022
Consider σab = σ - a b + δ σ a b σ - a b is such that ʃS0 d2 x σ - = 4π r - 2 and r - is the radius of S0
Entropy 02 00026 i023
Suppose to consider the mean value of the area A computed on a given macroscopic fixed radius R. On the basis of our foam model, we obtain A = i = 1 N Ai, with AiAj = Φ when i ≠ j. Thus
Entropy 02 00026 i024
When r - i lp, AiAl p and [12]
Entropy 02 00026 i025
Thus the macroscopic area is represented by N microscopic areas of the Planckian size. In this sense we will claim that the area is quantized. The first consequence is the mass quantization of the Schwarzschild black hole, namely
Entropy 02 00026 i026
To be compared with Refs. [25,26,27,28,29,30]. A second consequence is that in de Sitter space, the cosmological constant is quantized in terms of lp, i.e. [31,32]
Entropy 02 00026 i027
It is possible to give an estimate of the total amount of Plan ckian ormholes needed to fill the space beginning from the Planck era live (∧ ~ (1016 − 1018 GeV)2) up to the space in which we now live ∧ ≤ (10−42GeV2)
Entropy 02 00026 i028
in agreement with the observational data ∧c ≲ 10−122 l p 2 coming from the Friedmann-Robertson-Walker cosmology constraining the cosmological constant [33].

4. Entropy for black holes in de Sitter space

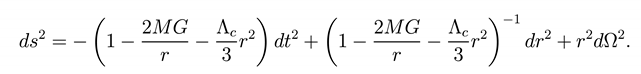
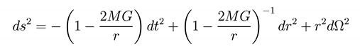
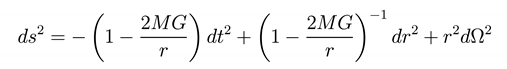
The Schwarzschild-de Sitter metric (SdS) is defined as
Entropy 02 00026 i029
For ∧c = 0 the metric becomes
Entropy 02 00026 i030
and it describes the Sch arzschild metric, hile for M = 0, we obtain
Entropy 02 00026 i031
namely the de Sitter metric (dS). The gravitational potential g00 (r) of (25) admits three real roots. One is negative and it is located at
Entropy 02 00026 i032
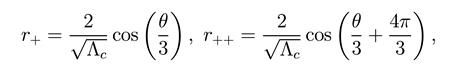
While the other ones are associated to the black hole and cosmological horizons respectively located at
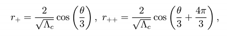
Entropy 02 00026 i033
where
Entropy 02 00026 i034
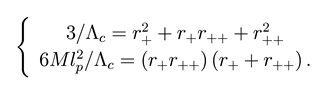
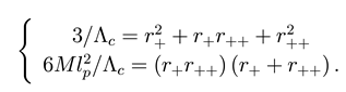
with the condition
Entropy 02 00026 i035
Eq.(30) implies that θ ∈ [ π 2 , 3 π 2 ]. In this interval r+ is a monotonic decreasing function of θ, while r++ is a monotonic increasing one wwith
Entropy 02 00026 i036
They have a common value hen r+ = r++ = 1/√∧c , here 9(MG)2∧ = 1 and Φ = π. This means that the cosmological horizon and the black hole horizon have merged. The relation between the three roots is
Entropy 02 00026 i037
and furthermore
Entropy 02 00026 i038
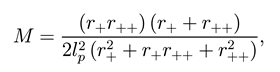
The gravitational entropy in the SdS case is
Entropy 02 00026 i039
namely it is the sum of the black hole and cosmological entropy [34]. By means of Eqs.(29) one gets,
Entropy 02 00026 i040
For θ ∈ [ π 2 , 3 π 2 ], c (Φ) ∈ [ 1 2 , 3 4 ] and the entropy is bounded by
Entropy 02 00026 i041
The lower bound of inequality (37) corresponds to the entropy of the Nariai metric, hose (Lorentzian) line element is
Entropy 02 00026 i042
Thus the entropy in the SdS case has an upper bound represented by the de Sitter entropy and a lo er bound represented by the Nariai entropy. By means of Eq.(23), the Nariai entropy is
Entropy 02 00026 i043
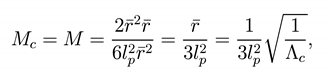
and the relative black hole mass is
Entropy 02 00026 i044
where we have used Eqs.(34) to express the mass and the cosmological constant in terms of the roots of the gravitational potential g 00 (r). When r+ = r++ = r - , the black hole mass is equal to the “cosmologisal massMC
Entropy 02 00026 i045
i.e. Eq. (31) for θ = π. Recalling Eq.(23) we obtain
Entropy 02 00026 i046
Therefore the black hole mass is bounded by
Entropy 02 00026 i047
Note that the black hole mass in the Nariai case is lower than the Schwarzschild case: this is the eRect of having a spacetime with a positive cosmological constant which describes a S3 topology. This means that also the black hole radius cannot exceed the cosmological radius. Thus the black hole mass has an upper bound deriving from the extreme case.

5. Conclusions

On the basis of the model of spacetime foam described in Section 3, in this paper an attempt to compute the entropy for the Sch arzschild-de Sitter metric has been performed including also its extreme case or Nariai metric. It is known that semiclassically, one can assign a probability measure that leads to computing the logarwithm of the number of microstates as in the case of a thermal system with an entropy
Entropy 02 00026 i048
The SdS case entropy is described by Eq.(35). The associated probability is
Entropy 02 00026 i049
This value interposes t o special cases, as seen. The first is the de Sitter case here M = 0 and S = 3π/ l p 2  ^c, i.e.
Entropy 02 00026 i050
and the second is the Nariai case here M = Mc and S = 2π/ l p 2  ^c with probability
Entropy 02 00026 i051
Thus the probability is an exponentially decreasing function in terms of the mass parameter and
Entropy 02 00026 i052
where we have expressed the probability in terms of the ormholes number. As expected the presence of the cosmological constant modifies the property of the black hole mass and consequently of its horizon. This modification is given by directly comparing the Sch arzschild metric and the Sch arzschild-de Sitter metric.Moreover from Eq.(48), we realize that the de Sitter space has the best probability to be realized hen compared with the SdS or Nariai spaces. Nevertheless, we can see that the SdS space has a probability that can be driven close to the de Sitter probability. Moreover, hen we compare PSdS with PN we can see that the SdS space has a major probability with respect to the extreme space, namely the Nariai space. This conclusion seems to be in conflict with the request that only regular Kuclidean Kinstein solutions close to the horizon have to be considered; in this case only the Nariai solution. A possibility that can be investigated to better understand this situation is given by the computation of the Casimir-like energy for the SdS space with the de Sitter space as a reference space. This has been done for the Sch arzschild space with flat space as a reference space in Ref. [19] and it has led to the Normhole approximation of the foam we have used to compute the entropy for the SdS and Nariai spaces. The same steps can be repeated to better understand the process of black hole pair creation in presence of a cosmological term and its consequences on the foam structure.

References and Notes

  1. Bardeen, J.M.; Carter, B.; Hawking, S.W. Comm. Math. Phys. 1973, 31, 161. [CrossRef]
  2. Bekenstein, J. Phys. Rev. 1973, D7, 2333.
  3. Hawking, S.W. Comm. Math. Phys. 1975, 43, 190. [CrossRef]
  4. Hawking, S.W. Phys. Rev. Lett. 1971, 26, 1344. [CrossRef]
  5. Green, M.B.; Schwartz, J.H.; Witten, E. Superstring theory; Cambridge University Press, 1987. [Google Scholar]
  6. Polchinski, J. Superstring theory; Cambridge University Press, 1998. [Google Scholar]
  7. Polchinski, J.; Chaudhuri, S.; Johnson, C.V. Notes on D-Branes; hep-th/9602052.
  8. Strominger, A.; Vafa, C. Phys. Lett. 1996, B 379, 99. [CrossRef]
  9. Maldacena, J.M. Black Holes in string Theory; hep-th/96072 35.
  10. Schwarz, J.H. String Theory, Gauge Theory and Quantum Gravity; Dijkgraaf, R., Ed.; Proceedings of the Spring School: Trieste, Italy, 1996; [Nucl. Phys. B (Proc. Suppl.) 1997, 55B, 1]. [Google Scholar]
  11. Garattini, R. Phys. Lett. 1999, B 446, 135, hep-th/9811187. [CrossRef]
  12. Garattini, R. Phys. Lett. 1999, B 459, 461, hep-th/9906074. [CrossRef]
  13. (a) Nariai, S. On some static solutions to Einstein’s gravitational field equations in a spherically symmetric case. Science Reports of the Tohoku University 1950, 34, 160; (b) Nariai, S. On a new cosmological solution of Einstein’s field equations of gravitation. Science Reports of the Tohoku University 1951, 35, 62.
  14. Wheeler, J.A. Ann. Phys. 1957, 2, 604. [CrossRef]
  15. (a) Amelino-Camelia, G. Nature 1999, 398, 216, gr-qc/9808029; (b) Amehno-Camelia, G. Nature 1999, 393, 763, astro-ph/9712103; (c) Amehno-Camelia, G. Gravity-wave interferometers as probes of a low-energy effective quantum gravity, gr-qc/9903080.
  16. Gross, D.J.; Perry, M.J.; Yaffe, L.G. Phys. Rev. 1982, D 25, 330.
  17. Hartle, J.B.; Horowitz, G.T. Phys. Rev. 1981, D 24, 257.
  18. Crane, L.; Smolin, L. Nucl. Phys. 1986, B, 714. [CrossRef]
  19. Garattini, R. Int. J. Mod. Phys. 1999, A 18, 2905, gr-qc/9805096. [CrossRef]
  20. Modanese, G. Phys. Lett. 1999, B 460, 276. [CrossRef]
  21. Witten, E. Nucl. Phys. 1982, B 195, 481. [CrossRef]
  22. Coleman, S. Nucl. Phys. 1988, B 298, 178. [CrossRef]
  23. Mazur, P.O. Mod. Phys. Lett 1989, A 4, 1497. 24.
  24. Allen, B. Phys. Rev. 1984, D 30, 1153.
  25. Ahluwalia, D.V. Int. J. Mod. Phys. 1999, D 8, 651, astro-ph/9909192. 26. [CrossRef]
  26. Hod, S. Phys. Rev. Lett. 1998, 81, 4293, gr-qc/9812002. [CrossRef]
  27. (a) Kastrup, H.A. Phys. Lett. 1997, B 413, 267, gr-qc/9707009; (b) Kastrup, H.A. Phys. Lett. 1998, B 419, 40, gr-qc/9710032.
  28. (a) Mäkelä, J. gr-qc/9602008; (b) Mäkelä, J. Phys. Lett. 1997, B 390, 115. 29.
  29. Mazur, P.O. Acta Phys. Polon. 1996, 27, 1849, hep-th/9603014..
  30. Vaz, C.; Witten, L. Phys. Rev. 1999, D 60, 024009, gr-qc/9811062.
  31. Garcia-Bellido, J. QUANTUM BLACK HOLES; hep-th/9302127. 32.
  32. Zizzi, P. A. Int. J. Theor. Phys. 1999, 38, 2331, hep-th/9808180. [CrossRef]
  33. Visser, M. Lorentzian Wormholes; AIP Press: New York, 1995; Volume 64. [Google Scholar]
  34. Kastor, D.; Traschen, J. Class. Quant. Grav. 1996, 13, 2753. [CrossRef]
Publisher’s Note: MDPI stays neutral with regard to jurisdictional claims in published maps and institutional affiliations.

Share and Cite

MDPI and ACS Style

Garattini, R. A Spacetime Foam Approach to the Schwarzschild-de Sitter Entropy. Entropy 2000, 2, 26-38. https://doi.org/10.3390/e2010026

AMA Style

Garattini R. A Spacetime Foam Approach to the Schwarzschild-de Sitter Entropy. Entropy. 2000; 2(1):26-38. https://doi.org/10.3390/e2010026

Chicago/Turabian Style

Garattini, Remo. 2000. "A Spacetime Foam Approach to the Schwarzschild-de Sitter Entropy" Entropy 2, no. 1: 26-38. https://doi.org/10.3390/e2010026

APA Style

Garattini, R. (2000). A Spacetime Foam Approach to the Schwarzschild-de Sitter Entropy. Entropy, 2(1), 26-38. https://doi.org/10.3390/e2010026

Article Metrics

Back to TopTop