Avalanching Systems with Longer Range Connectivity: Occurrence of a Crossover Phenomenon and Multifractal Finite Size Scaling
Abstract
:1. Introduction
- to observe the role that a limited number of longer range (non-local) links has on the shape of the PDFs of avalanche sizes; this could be very relevant to discuss some features of the PDFs observed in space plasmas [9] where a complex topology of magnetic field and plasma structures plays a central role in the overall dynamics of the space plasma systems (see, e.g., [26,27]);
- to investigate the possible lack of a simple FSS and its link with the emergence of multi-scaling features.
2. The 1D Stochastic Manna Model on Small-World Networks
- redistribution of the amount to both nearest neighbors, i.e.,
- redistribution of the amount to one of the two neighbors ( or ), randomly chosen, i.e.,
- for sites with two links
- for sites with three links
- the total number s of active sites (sites that have redistributed sand grains), which is taken as a measure of the avalanche dimension;
- the number of time steps T over which an avalanche takes place, which represents the avalanche lifetime.
3. Results
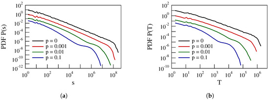
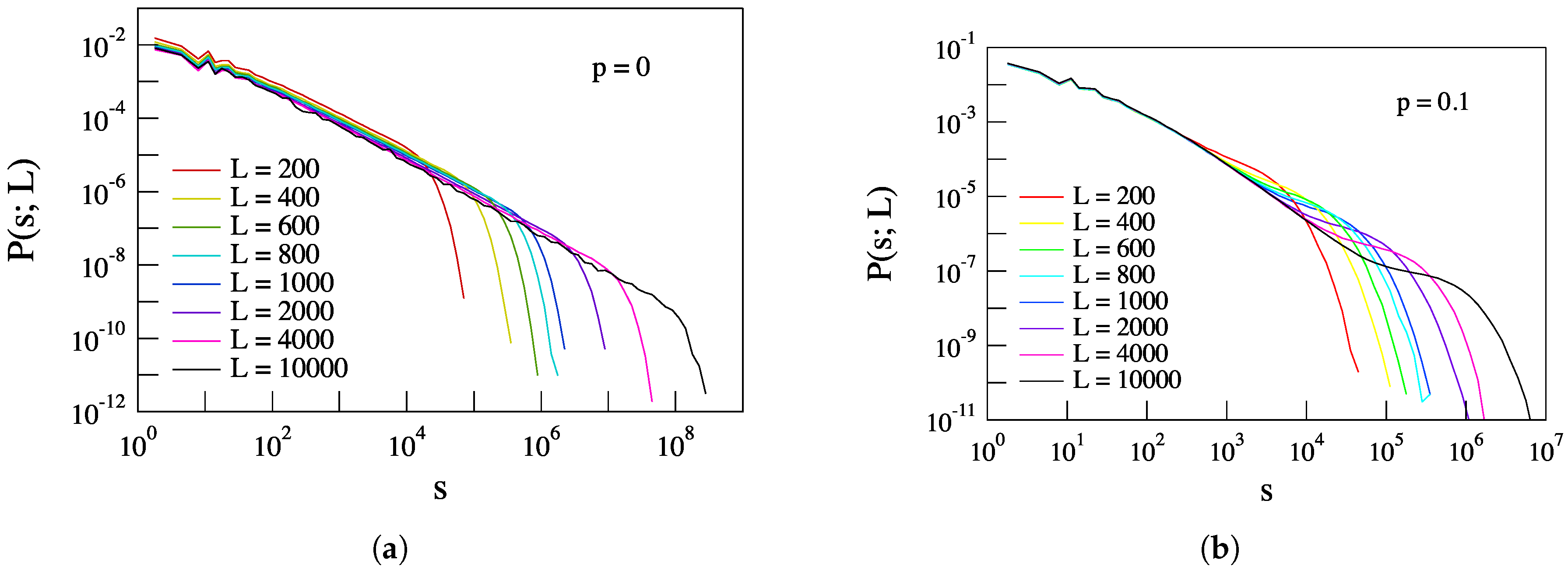
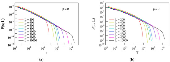
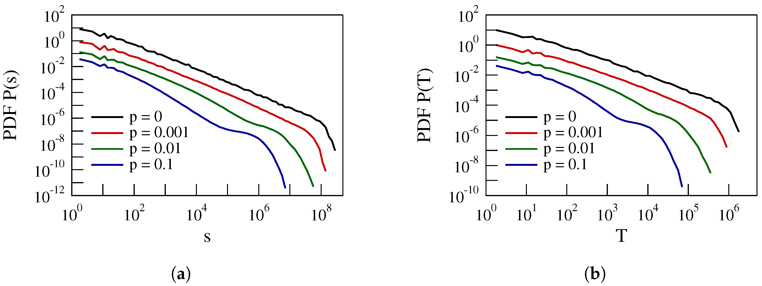
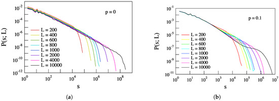
3.1. Avalanche Features Statistics
- (i)
- to reduce the dimension s and the duration T of the avalanches due to the shortcuts introduced by the longer range connectivity, which has the effect of reducing the effective size of the network;
- (ii)
- to modify the shape of PDFs of avalanche size and duration along with the emergence of a bump at the largest values of s and T. This may be evidence for the emergence of a characteristic scale for s and T;
- (iii)
- to modify the power law scaling of the average s and T as a function of L.
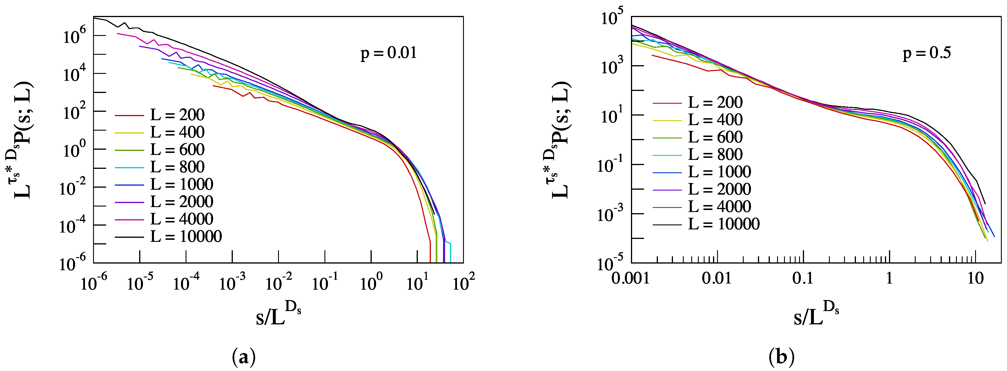
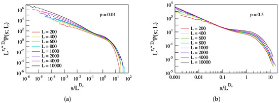
3.2. Finite Size Scaling: Moment Analysis and Scaling Features
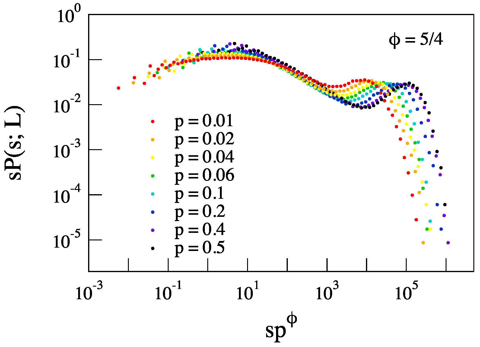
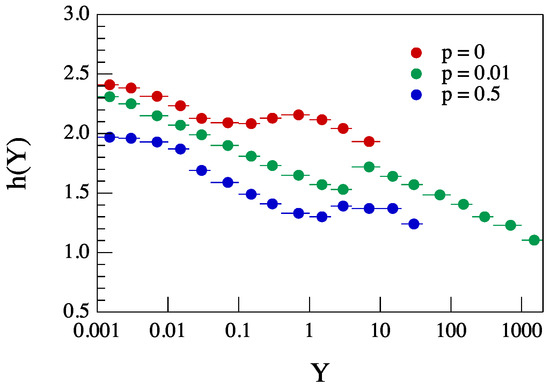
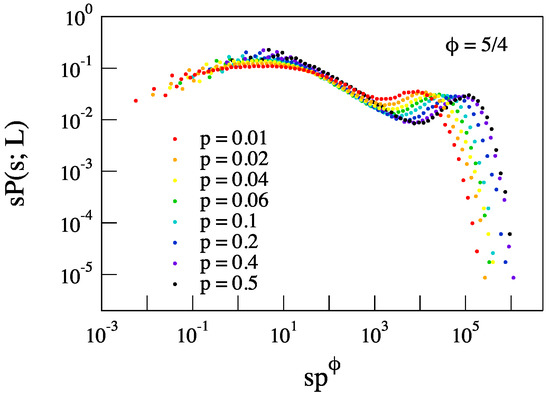
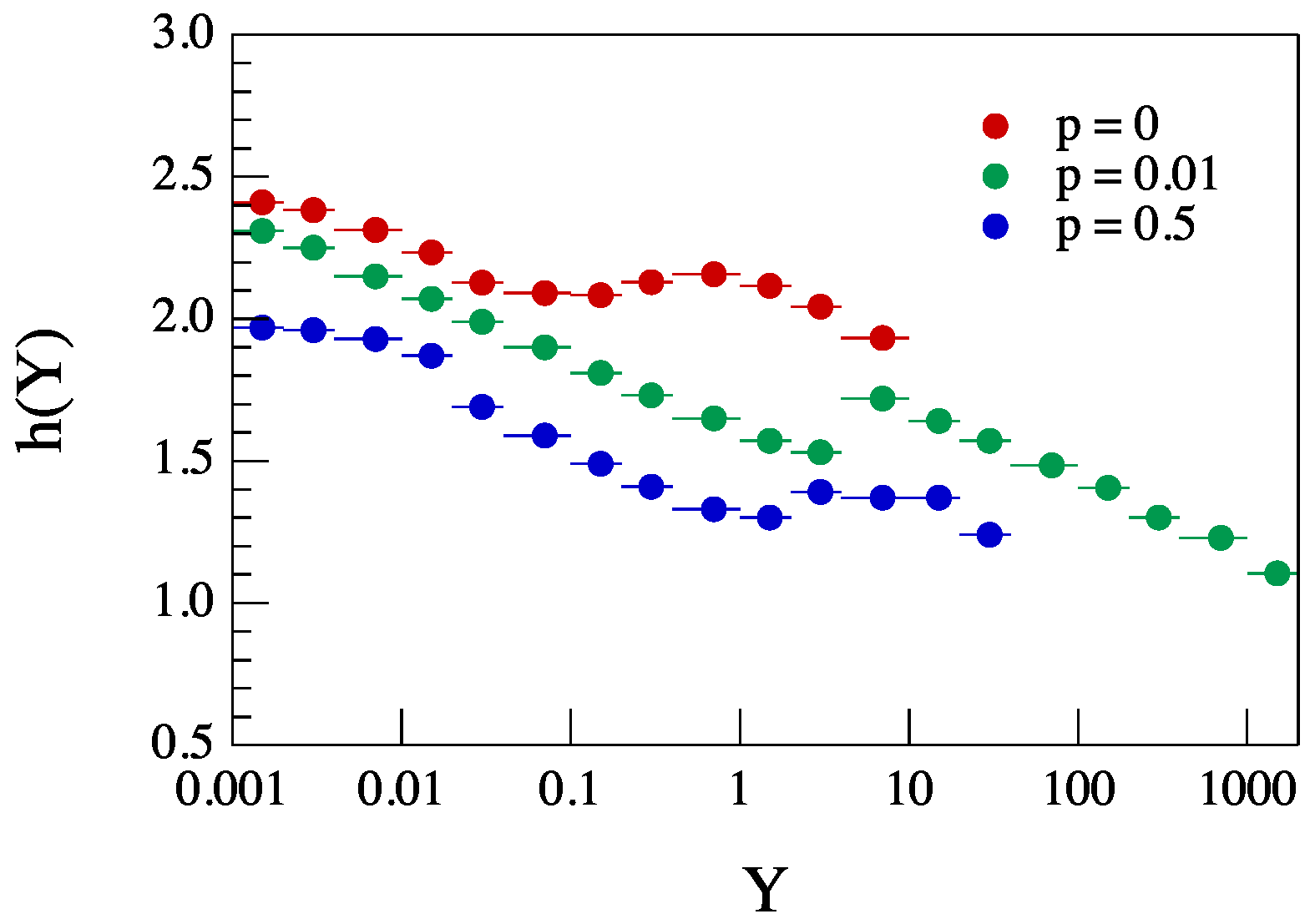
3.3. Rank-Ordered Multifractal Analysis and Finite Size Scaling
4. Summary and Conclusions
Acknowledgments
Author Contributions
Conflicts of Interest
Abbreviations
| 1D | 1-Dimensional |
| 2D | 2-Dimensional |
| BTW model | Bak–Tang–Weisenfeld model |
| CA | Cellular Automaton/a |
| CME | Coronal Mass Ejection |
| EUV | Extra Ultra Violet |
| FSS | Finite Size Scaling |
| HXR | Hard X-Ray |
| Probability Distribution Function | |
| RG | Random graph |
| ROMA | Rank-Ordered Multifractal Analysis |
| SOC | Self-Organized Criticality |
| SXR | Soft X-Ray |
| SW | Small World |
References
- Bak, P.; Tang, C.; Weisenfeld, K. Self-organized criticality: An explanation of 1/f noise. Phys. Rev. Lett. 1987, 59, 381–384. [Google Scholar] [CrossRef] [PubMed]
- Sornette, D. Critical Phenomena in Natural Sciences; Springer-Verlag: Berlin/Heidelberg, Germany, 2001. [Google Scholar]
- Watkins, N.W.; Pruessner, G.; Chapman, S.C.; Crosby, N.B.; Jensen, H.J. 25 Years of Self-organized Criticality: Concepts and Cotroversies. Space Sci. Rev. 2016, 198, 3–44. [Google Scholar] [CrossRef]
- Jensen, H.J. Self-Organized Criticality: Emergent Complex Behavior in Physical and Biological Systems; Cambridge University Press: Cambridge, UK, 1998. [Google Scholar]
- Turcotte, D.L. Self-organized criticality. Rep. Prog. Phys. 1999, 62, 1377–1429. [Google Scholar] [CrossRef]
- Aschwanden, M.J. Self-Organized Criticality in Astrophysics; Springer-Verlag: Berlin/Heidelberg, Germany, 2011. [Google Scholar]
- Lu, E.T.; Hamilton, R.J. Avalanches and the distribution of solar flares. Astrophys. J. 1991, 380, L89–L92. [Google Scholar] [CrossRef]
- Consolini, G. Sandpile cellular automata and magnetospheric dynamics. In Proceedings of the 8th GIFCO Conference, Cosmic Physics in the Year 2000: Scientific Perspectives and New Instrumentation, Como, Italy, 8–10 April 1997; Volume 58, pp. 123–126. [Google Scholar]
- Consolini, G. Self-Organized Criticality: A new paradigm for the magnetotail dynamics. Fractals 2002, 10, 275–283. [Google Scholar] [CrossRef]
- Uritsky, V.M.; Pudovkin, M.I. Low frequency 1/f-like fluctuations of the AE-index as a possible manifestation of self-organized criticality in the magnetosphere. Ann. Geophys. 1998, 16, 1580–1588. [Google Scholar] [CrossRef]
- Uritsky, V.M.; Klimas, A.J.; Vassiliadis, D.; Chua, D.; Parks, G. Scale-free statistics of spatiotemporal auroral emissions as depicted by POLAR UVI images: Dynamic magnetosphere is an avalanching system. J. Geophys. Res. 2002, 1078, 1426. [Google Scholar] [CrossRef]
- Aschwanden, M.J.; Tarbell, T.D.; Nightingale, R.W.; Schrijver, C.J.; Title, A.; Kankelborg, C.C.; Martens, P.; Warren, H.P. Time Variability of the “Quiet” Sun Observed with TRACE. II. Physical Parameters, Temperature Evolution, and Energetics of Extreme-Ultraviolet Nanoflares. Astrophys. J. 2000, 535, 1047–1065. [Google Scholar] [CrossRef]
- Chang, T.T.S. An Introduction to Space Plasma Complexity; Cambridge University Press: Cambridge, UK, 2015. [Google Scholar]
- Schrijver, C.J.; Title, A.M. Long-range magnetic couplings between solar flares and coronal mass ejections observed by SDO and STEREO. J. Geophys. Res. 2011, 116, A04108. [Google Scholar] [CrossRef]
- Marković, D.; Gros, C. Power laws and self-organized criticality in theory and nature. Phys. Rep. 2014, 536, 41–74. [Google Scholar] [CrossRef]
- De Arcangelis, L.; Herrmann, H.J. Self-organized criticality on small world networks. Physica A 2002, 308, 545–549. [Google Scholar] [CrossRef]
- Lahtinen, J.; Kertész, J.; Kaski, K. Sandpiles on Watts-Strogatz type small-words. Physica A 2005, 349, 535–547. [Google Scholar] [CrossRef]
- Watts, D.J.; Strogatz, S.H. Collective dynamics of “small world” networks. Nature 1998, 393, 440. [Google Scholar] [CrossRef] [PubMed]
- Hoore, M.; Moghimi-Araghi, S. Critical behavior of a small world sand pile model. J. Phys. A Math. Theor. 2013, 46, 195001. [Google Scholar] [CrossRef]
- Ferdinand, A.E.; Fisher, M.E. Bounded and Inhomogeneous Ising Models. I. Specific-Heat Anomaly of a Finite Lattice. Phys. Rev. 1969, 185, 832–846. [Google Scholar] [CrossRef]
- Fisher, M.E. Critical Phenomena. In Proc. 51st Enrico Fermi Summer School; Green, M.S., Ed.; Academic Press: Cambridge, MA, USA, 1971. [Google Scholar]
- Cardy, J.L. (Ed.) Finite-size Scaling. Current Physics Sources and Comments; Elsevier: North Holland, The Netherlands, 1988; Volume 2. [Google Scholar]
- Christensen, K.; Moloney, N.R. Complexity and Criticality; Imperial College Press: London, UK, 2005. [Google Scholar]
- Manna, S.S. Two-state model of self-organized criticality. J. Phys. A 1991, 24, L363–L369. [Google Scholar] [CrossRef]
- Chang, T.T.S.; Wu, C.-C. Rank-ordered multifractal spectrum for intermittent fluctuations. Phys. Rev. E 2008, 77, 045401(R). [Google Scholar] [CrossRef] [PubMed]
- Chang, T.T.S. Self-organized criticality, multi-fractal spectra, sporadic localized reconnections and multiscale intermittent turbulence in the magnetotail. Phys. Plasmas 1999, 6, 4137. [Google Scholar] [CrossRef]
- Consolini, G.; Chang, T.T.S. Magnetotail filed topology and criticality in geotail dynamics: Relevance to substorm phenomena. Space Sci. Rev. 2001, 95, 309–321. [Google Scholar] [CrossRef]
- Bak, P.; Tang, C.; Wiesenfeld, K. Self-organized criticality. Phys. Rev. A 1988, 38, 364–375. [Google Scholar] [CrossRef]
- Newman, M.E.J.; Watts, D.J. Renormalization group analysis of the small world network model. Phys. Lett. A 1999, 263, 341–346. [Google Scholar] [CrossRef]
- Chessa, A.; Vespignani, A.; Zapperi, S. Critical exponents in stochastic sand pile models. Comput. Phys. Commun. 1999, 121–122, 299–302. [Google Scholar] [CrossRef]
- De Menech, M.; Stella, A.L.; Tebaldi, C. Rare events and breakdown of simple scaling in the Abelian sand pile model. Phys. Rev. E 1998, 58, R2677–R2680. [Google Scholar] [CrossRef]
- Ahmed, J.A.; Santra, S.B. Finite size scaling in BTW like sand pile models. Eur. Phys. J. B 2010, 76, 13–20. [Google Scholar] [CrossRef]
- Tadić, B. Temporally disordered granular flow: A model of ladslides. Phys. Rev. E 1998, 57, 4375–4381. [Google Scholar] [CrossRef]
- Tebaldi, C.; De Menech, M.; Stella, A.L. Multifractal Scaling in the Bak-Tang-Wiesenfeld Sandpile and Edge Events. Phys. Rev. Lett. 1999, 83, 3952–3955. [Google Scholar] [CrossRef]
- Lübeck, S. Moment analysis of the probability distribution of different sand pile models. Phys. Rev. E 2000, 61, 204–209. [Google Scholar] [CrossRef]
- Dorogovtsev, S.N.; Goltsev, A.V.; Mendes, J.F.F. Critical phenomena in complex networks. Rev. Mod. Phys. 2008, 80, 1275–1335. [Google Scholar] [CrossRef]
- Tadić, B.; Thurner, S. Information super-diffusion on structured networks. Physica A 2004, 332, 566–584. [Google Scholar] [CrossRef]
- Mandelbrot, B.B. Multifractal measures, especially for geophysicist. Pure Appl. Geophys. 1989, 131, 5–42. [Google Scholar] [CrossRef]
- Barrat, A.; Wight, M. On the properties of small world network models. Eur. Phys. J. 2000, 263, 341. [Google Scholar] [CrossRef]
- Sharma, A.S.; Sitnov, M.I.; Papadopoulos, K. Substorms as nonequilibrium transitions of the magnetosphere. J. Atmos. Sol. Terr. Phys. 2001, 63, 1399–1406. [Google Scholar] [CrossRef]
- Sitnov, M.I.; Sharma, A.S.; Papadopoulos, K.; Vassiliadis, D. Modeling substorm dynamics of the magnetosphere: From self-organization and self-organized criticality to nonequilibrium phase transitions. Phys. Rev. E 2001, 65, 16116. [Google Scholar] [CrossRef] [PubMed]
















| p | |||
|---|---|---|---|
| 0 | 2.180 | 1.090 | |
| 0.001 | 2.129 | 1.143 | |
| 0.002 | 2.067 | 1.247 | |
| 0.004 | 1.821 | 1.237 | |
| 0.006 | 1.669 | 1.210 | |
| 0.008 | 1.697 | 1.277 | |
| 0.01 | 1.594 | 1.254 | |
| 0.02 | 1.453 | 1.263 | |
| 0.04 | 1.400 | 1.249 | |
| 0.06 | 1.365 | 1.234 | |
| 0.1 | 1.328 | 1.226 | |
| 0.2 | 1.337 | 1.236 | |
| 0.4 | 1.329 | 1.238 | |
| 0.5 | 1.309 | 1.231 |
© 2017 by the authors. Licensee MDPI, Basel, Switzerland. This article is an open access article distributed under the terms and conditions of the Creative Commons Attribution (CC BY) license (http://creativecommons.org/licenses/by/4.0/).
Share and Cite
Benella, S.; Consolini, G.; Giannattasio, F.; Chang, T.T.S.; Echim, M. Avalanching Systems with Longer Range Connectivity: Occurrence of a Crossover Phenomenon and Multifractal Finite Size Scaling. Entropy 2017, 19, 383. https://doi.org/10.3390/e19080383
Benella S, Consolini G, Giannattasio F, Chang TTS, Echim M. Avalanching Systems with Longer Range Connectivity: Occurrence of a Crossover Phenomenon and Multifractal Finite Size Scaling. Entropy. 2017; 19(8):383. https://doi.org/10.3390/e19080383
Chicago/Turabian StyleBenella, Simone, Giuseppe Consolini, Fabio Giannattasio, Tom T.S. Chang, and Marius Echim. 2017. "Avalanching Systems with Longer Range Connectivity: Occurrence of a Crossover Phenomenon and Multifractal Finite Size Scaling" Entropy 19, no. 8: 383. https://doi.org/10.3390/e19080383
APA StyleBenella, S., Consolini, G., Giannattasio, F., Chang, T. T. S., & Echim, M. (2017). Avalanching Systems with Longer Range Connectivity: Occurrence of a Crossover Phenomenon and Multifractal Finite Size Scaling. Entropy, 19(8), 383. https://doi.org/10.3390/e19080383

